Worachartcheewan Apilak, Nantasenamat Chanin, Prasertsrithong Pisit, Amranan Jakraphob, Monnor Teerawat, Chaisatit Tassaneya, Nuchpramool Wilairat, Prachayasittikul Virapong
Center of Data Mining and Biomedical Informatics, Faculty of Medical Technology, Mahidol University, Bangkok 10700, Thailand.
Center of Data Mining and Biomedical Informatics, Faculty of Medical Technology, Mahidol University, Bangkok 10700, Thailand; Department of Clinical Microbiology and Applied Technology, Faculty of Medical Technology, Mahidol University, Bangkok 10700, Thailand.
EXCLI J. 2013 Oct 21;12:885-93. eCollection 2013.
The aim of this study is to explore the relationship between hematological parameters and glycemic status in the establishment of quantitative population-health relationship (QPHR) model for identifying individuals with or without diabetes mellitus (DM).
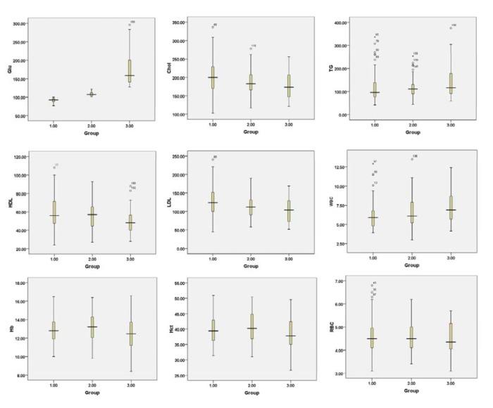
A cross-sectional investigation of 190 participants residing in Nakhon Pathom, Thailand in January-March, 2013 was used in this study. Individuals were classified into 3 groups based on their blood glucose levels (normal, Pre-DM and DM). Hematological (white blood cell (WBC), red blood cell (RBC), hemoglobin (Hb) and hematocrite (Hct)) and glucose parameters were used as input variables while the glycemic status was used as output variable. Support vector machine (SVM) and artificial neural network (ANN) are machine learning approaches that were employed for identifying the glycemic status while association analysis (AA) was utilized in discovery of health parameters that frequently occur together.
Relationship amongst hematological parameters and glucose level indicated that the glycemic status (normal, Pre-DM and DM) was well correlated with WBC, RBC, Hb and Hct. SVM and ANN achieved accuracy of more than 98 % in classifying the glycemic status. Furthermore, AA analysis provided association rules for defining individuals with or without DM. Interestingly, rules for the Pre-DM group are associated with high levels of WBC, RBC, Hb and Hct. Conclusion This study presents the utilization of machine learning approaches for identification of DM status as well as in the discovery of frequently occurring parameters. Such predictive models provided high classification accuracy as well as pertinent rules in defining DM.
本研究旨在探索血液学参数与血糖状态之间的关系,以建立用于识别糖尿病患者和非糖尿病患者的定量人群健康关系(QPHR)模型。
本研究采用横断面调查,于2013年1月至3月对居住在泰国佛统府的190名参与者进行了调查。根据血糖水平将个体分为3组(正常、糖尿病前期和糖尿病)。血液学参数(白细胞(WBC)、红细胞(RBC)、血红蛋白(Hb)和血细胞比容(Hct))和血糖参数用作输入变量,而血糖状态用作输出变量。支持向量机(SVM)和人工神经网络(ANN)是用于识别血糖状态的机器学习方法,而关联分析(AA)则用于发现经常同时出现的健康参数。
血液学参数与血糖水平之间的关系表明,血糖状态(正常、糖尿病前期和糖尿病)与白细胞、红细胞、血红蛋白和血细胞比容密切相关。支持向量机和人工神经网络在分类血糖状态方面的准确率超过98%。此外,关联分析提供了用于定义糖尿病患者和非糖尿病患者的关联规则。有趣的是,糖尿病前期组的规则与高水平的白细胞、红细胞、血红蛋白和血细胞比容相关。结论:本研究展示了利用机器学习方法识别糖尿病状态以及发现频繁出现的参数。此类预测模型在定义糖尿病方面提供了高分类准确率以及相关规则。