Suppr超能文献

音素流畅性范式中与年龄相关的血氧水平依赖激活模式变化:激活、功能连接和心理生理相互作用的研究

Age-Related Changes in BOLD Activation Pattern in Phonemic Fluency Paradigm: An Investigation of Activation, Functional Connectivity and Psychophysiological Interactions.

作者信息

La Christian, Garcia-Ramos Camille, Nair Veena A, Meier Timothy B, Farrar-Edwards Dorothy, Birn Rasmus, Meyerand Mary E, Prabhakaran Vivek

机构信息

Neuroscience Training Program, University of Wisconsin-MadisonMadison, WI, USA; Department of Radiology, University of Wisconsin-MadisonMadison, WI, USA; Department of Medical Physics, University of Wisconsin-MadisonMadison, WI, USA.

Department of Medical Physics, University of Wisconsin-Madison Madison, WI, USA.

出版信息

Front Aging Neurosci. 2016 May 23;8:110. doi: 10.3389/fnagi.2016.00110. eCollection 2016.

Abstract

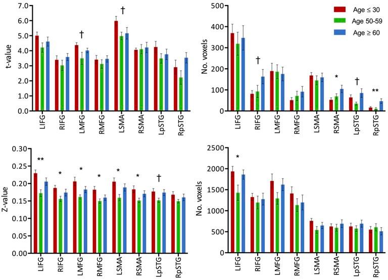
Healthy aging is associated with decline of cognitive functions. However, even before those declines become noticeable, the neural architecture underlying those mechanisms has undergone considerable restructuring and reorganization. During performance of a cognitive task, not only have the task-relevant networks demonstrated reorganization with aging, which occurs primarily by recruitment of additional areas to preserve performance, but the task-irrelevant network of the "default-mode" network (DMN), which is normally deactivated during task performance, has also consistently shown reduction of this deactivation with aging. Here, we revisited those age-related changes in task-relevant (i.e., language system) and task-irrelevant (i.e., DMN) systems with a language production paradigm in terms of task-induced activation/deactivation, functional connectivity, and context-dependent correlations between the two systems. Our task fMRI data demonstrated a late increase in cortical recruitment in terms of extent of activation, only observable in our older healthy adult group, when compared to the younger healthy adult group, with recruitment of the contralateral hemisphere, but also other regions from the network previously underutilized. Our middle-aged individuals, when compared to the younger healthy adult group, presented lower levels of activation intensity and connectivity strength, with no recruitment of additional regions, possibly reflecting an initial, uncompensated, network decline. In contrast, the DMN presented a gradual decrease in deactivation intensity and deactivation extent (i.e., low in the middle-aged, and lower in the old) and similar gradual reduction of functional connectivity within the network, with no compensation. The patterns of age-related changes in the task-relevant system and DMN are incongruent with the previously suggested notion of anti-correlation of the two systems. The context-dependent correlation by psycho-physiological interaction (PPI) analysis demonstrated an independence of these two systems, with the onset of task not influencing the correlation between the two systems. Our results suggest that the language network and the DMN may be non-dependent systems, potentially correlated through the re-allocation of cortical resources, and that aging may affect those two systems differently.

摘要

健康衰老与认知功能衰退相关。然而,甚至在这些衰退变得明显之前,这些机制背后的神经结构已经经历了相当程度的重组和重新组织。在执行认知任务期间,不仅与任务相关的网络随着衰老表现出重组,这主要通过招募额外区域以维持表现来发生,而且通常在任务执行期间失活的“默认模式”网络(DMN)的与任务无关的网络,也一直显示随着衰老这种失活减少。在此,我们使用语言生成范式,从任务诱发的激活/失活、功能连接以及两个系统之间的上下文依赖相关性方面,重新审视了与年龄相关的在与任务相关(即语言系统)和与任务无关(即DMN)系统中的变化。我们的任务功能磁共振成像数据表明,在激活范围方面,皮质招募在后期增加,这仅在我们的老年健康成人组中可观察到,与年轻健康成人组相比,对侧半球以及先前未充分利用的网络中的其他区域被招募。与年轻健康成人组相比,我们的中年个体表现出较低水平的激活强度和连接强度,没有额外区域的招募,这可能反映了最初的、未得到补偿的网络衰退。相比之下,DMN表现出失活强度和失活范围逐渐降低(即中年时低,老年时更低)以及网络内功能连接类似的逐渐减少,没有补偿。与任务相关系统和DMN中与年龄相关的变化模式与先前提出的两个系统反相关的概念不一致。通过心理生理交互作用(PPI)分析的上下文依赖相关性表明这两个系统相互独立,任务开始并不影响两个系统之间的相关性。我们的结果表明,语言网络和DMN可能是相互独立的系统,可能通过皮质资源的重新分配而相关,并且衰老可能对这两个系统产生不同的影响。

https://cdn.ncbi.nlm.nih.gov/pmc/blobs/38aa/4876121/a207b40eace3/fnagi-08-00110-g0001.jpg

文献AI研究员

20分钟写一篇综述,助力文献阅读效率提升50倍。

立即体验

用中文搜PubMed

大模型驱动的PubMed中文搜索引擎

马上搜索

文档翻译

学术文献翻译模型,支持多种主流文档格式。

立即体验