• 文献检索
  • 文档翻译
  • 深度研究
  • 学术资讯
  • Suppr Zotero 插件Zotero 插件
  • 邀请有礼
  • 套餐&价格
  • 历史记录
应用&插件
Suppr Zotero 插件Zotero 插件浏览器插件Mac 客户端Windows 客户端微信小程序
定价
高级版会员购买积分包购买API积分包
服务
文献检索文档翻译深度研究API 文档MCP 服务
关于我们
关于 Suppr公司介绍联系我们用户协议隐私条款
关注我们

Suppr 超能文献

核心技术专利:CN118964589B侵权必究
粤ICP备2023148730 号-1Suppr @ 2026

文献检索

告别复杂PubMed语法,用中文像聊天一样搜索,搜遍4000万医学文献。AI智能推荐,让科研检索更轻松。

立即免费搜索

文件翻译

保留排版,准确专业,支持PDF/Word/PPT等文件格式,支持 12+语言互译。

免费翻译文档

深度研究

AI帮你快速写综述,25分钟生成高质量综述,智能提取关键信息,辅助科研写作。

立即免费体验

转录组谱分析显示,甲基茉莉酸处理对西洋参不定根人参皂苷途径中基因调控模式的影响。

Transcriptome profiling shows gene regulation patterns in ginsenoside pathway in response to methyl jasmonate in Panax Quinquefolium adventitious root.

机构信息

Tianjin Key Laboratory for Modern Drug Delivery and High Efficiency, School of Pharmaceutical Science and Technology, Tianjin University, Tianjin 300072, China.

Key Laboratory of Systems Bioengineering, Ministry of Education, Tianjin University, Tianjin 300072, China.

出版信息

Sci Rep. 2016 Nov 23;6:37263. doi: 10.1038/srep37263.

DOI:10.1038/srep37263
PMID:27876840
原文链接:https://pmc.ncbi.nlm.nih.gov/articles/PMC5120341/
Abstract

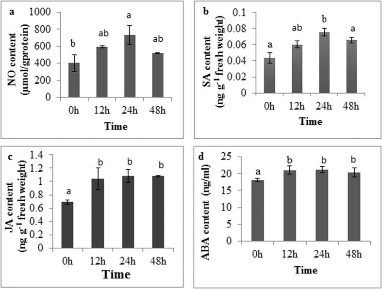
Here, we combine elicitors and transcriptomics to investigate the inducible biosynthesis of the ginsenoside from the Panax quinquefolium. Treatment of P. quinquefolium adventitious root with methyl jasmonate (MJ) results in an increase in ginsenoside content (43.66 mg/g compared to 8.32 mg/g in control group). Therefore, we sequenced the transcriptome of native and MJ treated adventitious root in order to elucidate the key differentially expressed genes (DEGs) in the ginsenoside biosynthetic pathway. Through DEG analysis, we found that 5,759 unigenes were up-regulated and 6,389 unigenes down-regulated in response to MJ treatment. Several defense-related genes (48) were identified, participating in salicylic acid (SA), jasmonic acid (JA), nitric oxide (NO) and abscisic acid (ABA) signal pathway. Additionally, we mapped 72 unigenes to the ginsenoside biosynthetic pathway. Four cytochrome P450s (CYP450) were likely to catalyze hydroxylation at C-16 (c15743_g1, c39772_g1, c55422_g1) and C-30 (c52011_g1) of the triterpene backbone. UDP-xylose synthases (c52571_g3) was selected as the candidate, which was likely to involve in ginsenoside Rb biosynthesis.

摘要

在这里,我们结合诱导子和转录组学来研究从西洋参中诱导产生人参皂苷。用茉莉酸甲酯(MJ)处理西洋参不定根会导致人参皂苷含量增加(与对照组的 8.32mg/g 相比为 43.66mg/g)。因此,我们对天然和 MJ 处理的不定根进行了转录组测序,以阐明人参皂苷生物合成途径中的关键差异表达基因(DEG)。通过 DEG 分析,我们发现 5759 个基因上调,6389 个基因下调对 MJ 处理的反应。鉴定出了几个与防御相关的基因(48 个),参与水杨酸(SA)、茉莉酸(JA)、一氧化氮(NO)和脱落酸(ABA)信号通路。此外,我们将 72 个基因映射到人参皂苷生物合成途径。四个细胞色素 P450(CYP450)可能催化三萜骨架 C-16(c15743_g1、c39772_g1、c55422_g1)和 C-30(c52011_g1)的羟化。UDP-木糖合成酶(c52571_g3)被选为候选基因,它可能参与人参皂苷 Rb 的生物合成。

https://cdn.ncbi.nlm.nih.gov/pmc/blobs/35c9/5120341/8f23056f64ae/srep37263-f9.jpg
https://cdn.ncbi.nlm.nih.gov/pmc/blobs/35c9/5120341/3882a2dc1397/srep37263-f1.jpg
https://cdn.ncbi.nlm.nih.gov/pmc/blobs/35c9/5120341/a1a53495a896/srep37263-f2.jpg
https://cdn.ncbi.nlm.nih.gov/pmc/blobs/35c9/5120341/bb5a7cd5e20c/srep37263-f3.jpg
https://cdn.ncbi.nlm.nih.gov/pmc/blobs/35c9/5120341/db88254627f7/srep37263-f4.jpg
https://cdn.ncbi.nlm.nih.gov/pmc/blobs/35c9/5120341/1286fb54a19c/srep37263-f5.jpg
https://cdn.ncbi.nlm.nih.gov/pmc/blobs/35c9/5120341/e9786b63c346/srep37263-f6.jpg
https://cdn.ncbi.nlm.nih.gov/pmc/blobs/35c9/5120341/c0c3153e9426/srep37263-f7.jpg
https://cdn.ncbi.nlm.nih.gov/pmc/blobs/35c9/5120341/ea96c96d1bd2/srep37263-f8.jpg
https://cdn.ncbi.nlm.nih.gov/pmc/blobs/35c9/5120341/8f23056f64ae/srep37263-f9.jpg
https://cdn.ncbi.nlm.nih.gov/pmc/blobs/35c9/5120341/3882a2dc1397/srep37263-f1.jpg
https://cdn.ncbi.nlm.nih.gov/pmc/blobs/35c9/5120341/a1a53495a896/srep37263-f2.jpg
https://cdn.ncbi.nlm.nih.gov/pmc/blobs/35c9/5120341/bb5a7cd5e20c/srep37263-f3.jpg
https://cdn.ncbi.nlm.nih.gov/pmc/blobs/35c9/5120341/db88254627f7/srep37263-f4.jpg
https://cdn.ncbi.nlm.nih.gov/pmc/blobs/35c9/5120341/1286fb54a19c/srep37263-f5.jpg
https://cdn.ncbi.nlm.nih.gov/pmc/blobs/35c9/5120341/e9786b63c346/srep37263-f6.jpg
https://cdn.ncbi.nlm.nih.gov/pmc/blobs/35c9/5120341/c0c3153e9426/srep37263-f7.jpg
https://cdn.ncbi.nlm.nih.gov/pmc/blobs/35c9/5120341/ea96c96d1bd2/srep37263-f8.jpg
https://cdn.ncbi.nlm.nih.gov/pmc/blobs/35c9/5120341/8f23056f64ae/srep37263-f9.jpg

相似文献

1
Transcriptome profiling shows gene regulation patterns in ginsenoside pathway in response to methyl jasmonate in Panax Quinquefolium adventitious root.转录组谱分析显示,甲基茉莉酸处理对西洋参不定根人参皂苷途径中基因调控模式的影响。
Sci Rep. 2016 Nov 23;6:37263. doi: 10.1038/srep37263.
2
Transcriptome analysis of methyl jasmonate-elicited Panax ginseng adventitious roots to discover putative ginsenoside biosynthesis and transport genes.茉莉酸甲酯诱导人参不定根的转录组分析,以发现假定的人参皂苷生物合成和转运基因。
Int J Mol Sci. 2015 Jan 29;16(2):3035-57. doi: 10.3390/ijms16023035.
3
Transcriptomics-based identification and characterization of 11 CYP450 genes of Panax ginseng responsive to MeJA.基于转录组学的人参 CYP450 基因的鉴定与特征分析及其对 MeJA 的响应
Acta Biochim Biophys Sin (Shanghai). 2018 Nov 1;50(11):1094-1103. doi: 10.1093/abbs/gmy120.
4
Genome-wide identification and integrated analysis of the FAR1/FHY3 gene family and genes expression analysis under methyl jasmonate treatment in Panax ginseng C. A. Mey.人参中FAR1/FHY3基因家族的全基因组鉴定与综合分析以及茉莉酸甲酯处理下的基因表达分析
BMC Plant Biol. 2024 Jun 14;24(1):549. doi: 10.1186/s12870-024-05239-6.
5
Transcript expression profiling for adventitious roots of Panax ginseng Meyer.人参不定根的转录表达谱分析。
Gene. 2014 Aug 1;546(1):89-96. doi: 10.1016/j.gene.2014.05.024. Epub 2014 May 13.
6
Enhanced ginsenoside productivity by combination of ethephon and methyl jasmoante in ginseng (Panax ginseng C.A. Meyer) adventitious root cultures.乙烯利和茉莉酸甲酯组合提高人参(Panax ginseng C.A. Meyer)不定根培养物中人参皂苷的产量
Biotechnol Lett. 2006 Aug;28(15):1163-6. doi: 10.1007/s10529-006-9071-1. Epub 2006 Jun 24.
7
Functional Validation of the Cytochrome P450 Family Gene in .细胞色素 P450 家族基因在 中的功能验证。
Biomolecules. 2024 Jun 17;14(6):715. doi: 10.3390/biom14060715.
8
PgLOX6 encoding a lipoxygenase contributes to jasmonic acid biosynthesis and ginsenoside production in Panax ginseng.编码脂氧合酶的PgLOX6有助于人参中茉莉酸的生物合成和人参皂苷的产生。
J Exp Bot. 2016 Nov;67(21):6007-6019. doi: 10.1093/jxb/erw358. Epub 2016 Oct 6.
9
Combined effects of phytohormone, indole-3-butyric acid, and methyl jasmonate on root growth and ginsenoside production in adventitious root cultures of Panax ginseng C.A. Meyer.植物激素吲哚-3-丁酸和茉莉酸甲酯对人参(Panax ginseng C.A. Meyer)不定根培养中根系生长和人参皂苷产量的联合影响
Biotechnol Lett. 2007 Nov;29(11):1789-92. doi: 10.1007/s10529-007-9442-2. Epub 2007 Jul 4.
10
Adventitious root growth and ginsenoside accumulation in Panax ginseng cultures as affected by methyl jasmonate.茉莉酸甲酯对人参培养物中不定根生长和人参皂苷积累的影响
Biotechnol Lett. 2004 Nov;26(21):1619-22. doi: 10.1007/s10529-004-3183-2.

引用本文的文献

1
Reprogramming Hairy Root Cultures: A Synthetic Biology Framework for Precision Metabolite Biosynthesis.重编程毛状根培养物:用于精确代谢物生物合成的合成生物学框架。
Plants (Basel). 2025 Jun 23;14(13):1928. doi: 10.3390/plants14131928.
2
Transcriptomic Analysis Under Drought and Salt Stress Provides Insight into Genes Putatively Involved in Ginsenoside Biosynthesis in Panax japonicus Meyer.干旱和盐胁迫下的转录组分析为深入了解日本人参中可能参与人参皂苷生物合成的基因提供了线索。
Biochem Genet. 2024 Jun 5. doi: 10.1007/s10528-024-10845-y.
3
Network Pharmacology and Molecular Docking-Based Investigation of Potential Targets of Astragalus membranaceus and Angelica sinensis Compound Acting on Spinal Cord Injury.

本文引用的文献

1
Nitric oxide mediates elicitor-induced saponin synthesis in cell cultures of Panax ginseng.一氧化氮介导诱导剂诱导人参细胞培养物中皂苷的合成。
Funct Plant Biol. 2003 Sep;30(8):901-907. doi: 10.1071/FP03061.
2
Comparative transcriptome analysis reveals defense-related genes and pathways against downy mildew in Vitis amurensis grapevine.比较转录组分析揭示了山葡萄抗霜霉病的防御相关基因和途径。
Plant Physiol Biochem. 2015 Oct;95:1-14. doi: 10.1016/j.plaphy.2015.06.016. Epub 2015 Jun 30.
3
Characterization of Panax ginseng UDP-Glycosyltransferases Catalyzing Protopanaxatriol and Biosyntheses of Bioactive Ginsenosides F1 and Rh1 in Metabolically Engineered Yeasts.
基于网络药理学和分子对接的黄芪-当归复方对脊髓损伤作用的潜在靶点研究。
Dis Markers. 2022 Sep 15;2022:2141882. doi: 10.1155/2022/2141882. eCollection 2022.
4
Biotic Elicitors in Adventitious and Hairy Root Cultures: A Review from 2010 to 2022.生物诱导子在不定根和毛状根培养中的应用:2010 年至 2022 年的综述。
Molecules. 2022 Aug 17;27(16):5253. doi: 10.3390/molecules27165253.
5
Ginsenosides in genus and their biosynthesis.人参属中的人参皂苷及其生物合成。
Acta Pharm Sin B. 2021 Jul;11(7):1813-1834. doi: 10.1016/j.apsb.2020.12.017. Epub 2021 Jan 2.
6
Planting Density Affects Growth and Ginsenoside Accumulation by Balancing Primary and Secondary Metabolism.种植密度通过平衡初生代谢和次生代谢影响生长及人参皂苷积累。
Front Plant Sci. 2021 Apr 12;12:628294. doi: 10.3389/fpls.2021.628294. eCollection 2021.
7
NAA and 6-BA promote accumulation of oleanolic acid by JA regulation in Achyranthes bidentata Bl.NAA 和 6-BA 通过 JA 调控促进牛膝中齐墩果酸的积累。
PLoS One. 2020 Feb 27;15(2):e0229490. doi: 10.1371/journal.pone.0229490. eCollection 2020.
8
Till 2018: a survey of biomolecular sequences in genus .截至2018年:对……属生物分子序列的一项调查。 (原文中“genus ”后缺少具体内容)
J Ginseng Res. 2020 Jan;44(1):33-43. doi: 10.1016/j.jgr.2019.06.004. Epub 2019 Jun 20.
9
Transcriptomic profiling reveals MEP pathway contributing to ginsenoside biosynthesis in Panax ginseng.转录组分析揭示了 MEP 途径在人参中参与人参皂苷生物合成的作用。
BMC Genomics. 2019 May 17;20(1):383. doi: 10.1186/s12864-019-5718-x.
10
Postharvest UV-B Irradiation Stimulated Ginsenoside Rg Biosynthesis through Nitric Oxide (NO) and Jasmonic Acid (JA) in Roots.采后 UV-B 辐射通过一氧化氮(NO)和茉莉酸(JA)刺激根中的人参皂苷 Rg 生物合成。
Molecules. 2019 Apr 13;24(8):1462. doi: 10.3390/molecules24081462.
人参 UDP-糖基转移酶催化原人参三醇和生物活性人参皂苷 F1 和 Rh1 生物合成的特性及其在代谢工程酵母中的应用。
Mol Plant. 2015 Sep;8(9):1412-24. doi: 10.1016/j.molp.2015.05.010. Epub 2015 May 30.
4
Transcriptome analysis of leaves, roots and flowers of Panax notoginseng identifies genes involved in ginsenoside and alkaloid biosynthesis.三七叶、根和花的转录组分析鉴定出参与人参皂苷和生物碱生物合成的基因。
BMC Genomics. 2015 Apr 3;16(1):265. doi: 10.1186/s12864-015-1477-5.
5
DeepSAGE based differential gene expression analysis under cold and freeze stress in seabuckthorn (Hippophae rhamnoides L.).基于深度SAGE的沙棘(沙棘属)在寒冷和冷冻胁迫下的差异基因表达分析。
PLoS One. 2015 Mar 24;10(3):e0121982. doi: 10.1371/journal.pone.0121982. eCollection 2015.
6
Transcriptome profiling shows gene regulation patterns in a flavonoid pathway in response to exogenous phenylalanine in Boesenbergia rotunda cell culture.转录组分析揭示了圆叶砂仁细胞培养物中黄酮类途径对外源苯丙氨酸的基因调控模式。
BMC Genomics. 2014 Nov 18;15(1):984. doi: 10.1186/1471-2164-15-984.
7
Two ginseng UDP-glycosyltransferases synthesize ginsenoside Rg3 and Rd.两种人参UDP-糖基转移酶可合成人参皂苷Rg3和Rd。
Plant Cell Physiol. 2014 Dec;55(12):2177-88. doi: 10.1093/pcp/pcu147. Epub 2014 Oct 14.
8
De novo transcriptome sequencing and digital gene expression analysis predict biosynthetic pathway of rhynchophylline and isorhynchophylline from Uncaria rhynchophylla, a non-model plant with potent anti-alzheimer's properties.从头转录组测序和数字基因表达分析预测了具有强大抗阿尔茨海默病特性的非模式植物钩藤中钩藤碱和异钩藤碱的生物合成途径。
BMC Genomics. 2014 Aug 12;15(1):676. doi: 10.1186/1471-2164-15-676.
9
Identification of the protopanaxatriol synthase gene CYP6H for ginsenoside biosynthesis in Panax quinquefolius.西洋参中人参皂苷生物合成原人参三醇合酶基因CYP6H的鉴定
Funct Integr Genomics. 2014 Sep;14(3):559-70. doi: 10.1007/s10142-014-0386-z. Epub 2014 Jul 24.
10
Cerato-platanin induces resistance in Arabidopsis leaves through stomatal perception, overexpression of salicylic acid- and ethylene-signalling genes and camalexin biosynthesis.角质层-悬铃木蛋白通过气孔感知、水杨酸和乙烯信号基因的过表达以及菜豆素生物合成诱导拟南芥叶片产生抗性。
PLoS One. 2014 Jun 26;9(6):e100959. doi: 10.1371/journal.pone.0100959. eCollection 2014.