Suppr超能文献

桑德斯牵引装置联合高强度激光疗法治疗颈椎病的疗效:一项随机对照试验。

The Effectiveness of Cervical Spondylosis Therapy with Saunders Traction Device and High-Intensity Laser Therapy: A Randomized Controlled Trial.

作者信息

Haładaj Robert, Pingot Mariusz, Topol Mirosław

机构信息

Department of Physiotherapy, University of Social Sciences in Łódź, Łódź, Poland.

Department of Physiotherapy, Jan Kochanowski University in Kielce, Branch in Piotrków Trybunalski, Piotrków Trybunalski, Poland.

出版信息

Med Sci Monit. 2017 Jan 20;23:335-342. doi: 10.12659/msm.899454.

Abstract

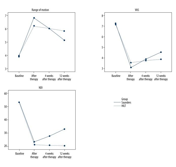
BACKGROUND Among all spinal therapies, treatment of the cervical segment is the most difficult. The cervical segment is particularly sensitive to injuries and pain, and it also requires special care due to its great mobility and most delicate construction. The aim of this research was to evaluate analgesic efficacy and improvement of active mobility of the cervical spine after traction therapy with the Saunders device and high-intensity laser therapy (HILT) immediately after therapy, and in short-, medium-, and long-term follow-up in patients with cervical spondylosis. MATERIAL AND METHODS The study included 174 patients (114 women and 60 men) aged 24-67 years. The patients were divided into two randomized groups. In group I (88 subjects) traction therapy with the Saunders device was applied, and in group II (86 subjects) HILT was applied. The measurement of the range of cervical spine movement, a subjective visual scale for pain (Visual Analog Scale [VAS]), and the Neck Disability Index-Polish Version (NDI) questionnaire were used. RESULTS The results obtained by the Saunders and HILT methods were similar immediately after the therapy and after 4 weeks (the medium-term follow-up). However, in long-term follow-up, there was a significant increase in the maintenance of positive therapeutic effects with the HILT method. CONCLUSIONS Both therapeutic methods improved the efficiency and demonstrated analgesic efficacy in patients with cervical spondylosis immediately and in the medium term after the therapy. HILT was more effective than the Saunders method in long-term follow-up.

摘要

背景 在所有脊柱治疗方法中,颈椎段的治疗最为困难。颈椎段对损伤和疼痛特别敏感,而且由于其活动度大且结构最为精细,还需要特别护理。本研究的目的是评估在颈椎病患者中,使用桑德斯器械进行牵引治疗和高强度激光治疗(HILT)后即刻、短期、中期和长期随访时,颈椎牵引治疗的镇痛效果以及颈椎活动度的改善情况。

材料与方法 该研究纳入了174例年龄在24至67岁之间的患者(114例女性和60例男性)。患者被随机分为两组。第一组(88例受试者)采用桑德斯器械进行牵引治疗,第二组(86例受试者)采用高强度激光治疗。使用颈椎活动范围测量、疼痛主观视觉量表(视觉模拟量表[VAS])以及颈部功能障碍指数波兰版(NDI)问卷进行评估。

结果 桑德斯方法和高强度激光治疗方法在治疗后即刻以及4周(中期随访)时获得的结果相似。然而,在长期随访中,高强度激光治疗方法在维持积极治疗效果方面有显著提高。

结论 两种治疗方法均提高了治疗效率,并在治疗后即刻及中期对颈椎病患者显示出镇痛效果。在长期随访中,高强度激光治疗比桑德斯方法更有效。

https://cdn.ncbi.nlm.nih.gov/pmc/blobs/af9e/5279870/c18ea8bd991a/medscimonit-23-335-g001.jpg

文献AI研究员

20分钟写一篇综述,助力文献阅读效率提升50倍。

立即体验

用中文搜PubMed

大模型驱动的PubMed中文搜索引擎

马上搜索

文档翻译

学术文献翻译模型,支持多种主流文档格式。

立即体验