Suppr超能文献

原发性干燥综合征患者泪液渗透压与其他眼表参数的相关性

Correlation between Tear Osmolarity and Other Ocular Surface Parameters in Primary Sjögren's Syndrome.

作者信息

Kim Mirinae, Kim Hyun Seung, Na Kyung-Sun

机构信息

Department of Ophthalmology and Visual Science, Yeouido St. Mary's Hospital, College of Medicine, The Catholic University of Korea, Seoul, Korea.

出版信息

Korean J Ophthalmol. 2017 Feb;31(1):25-31. doi: 10.3341/kjo.2017.31.1.25. Epub 2017 Feb 2.

Abstract

PURPOSE

To investigate the relationships between tear osmolarity and other ocular surface parameters and to determine the diagnostic value of tear osmolarity in primary Sjögren's syndrome (SS) using tear film break-up time, Schirmer I test, and cornea/conjunctiva staining.

METHODS

We included 310 eyes of 155 patients diagnosed with dry eye disease (39 primary SS and 116 non-Sjögren dry eye disease) at Seoul St. Mary's Hospital from August 2010 to January 2015. All subjects completed the Ocular Surface Disease Index (OSDI) questionnaire and underwent ocular examinations including tear osmolarity (TearLab Osmolarity System), Schirmer I test, slit lamp examination for tear film break-up time, and corneal and conjunctival fluorescein staining. We used the mean value of both eyes for all parameters. Fluorescein staining was assessed using the Sjögren's International Collaborative Clinical Alliance ocular staining score (OSS).

RESULTS

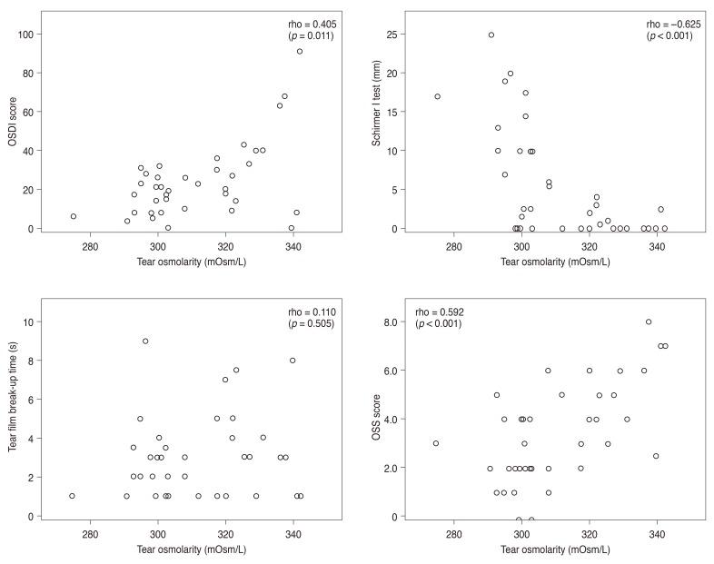
In primary SS patients (n = 39), the mean subject age was 52.5 ± 11.9 years, and 94.9% of the subjects were women. Mean tear osmolarity in SS was 311.1 ± 16.4 mOsm/L, with 16 (41.0%) subjects having values ≥316 mOsm/L. In SS, there was a positive correlation between mean tear osmolarity and OSDI score (ρ = 0.405, = 0.011) and OSS (ρ = 0.592, < 0.001). There was a negative correlation between mean tear osmolarity and the Schirmer I test (ρ = -0.625, < 0.001). There was no significant correlation between mean tear osmolarity and tear film break-up time in SS (ρ = 0.110, = 0.505).

CONCLUSIONS

Tear osmolarity measurements using the TearLab Osmolarity System can reflect both symptom severity (OSDI) and objective signs (Schirmer test and OSS) in SS.

摘要

目的

研究泪液渗透压与其他眼表参数之间的关系,并通过泪膜破裂时间、Schirmer I试验以及角膜/结膜染色来确定泪液渗透压在原发性干燥综合征(SS)中的诊断价值。

方法

我们纳入了2010年8月至2015年1月在首尔圣母医院诊断为干眼病的155例患者的310只眼(39例原发性SS和116例非干燥综合征干眼病)。所有受试者均完成眼表疾病指数(OSDI)问卷,并接受眼部检查,包括泪液渗透压(TearLab渗透压系统)、Schirmer I试验、裂隙灯检查泪膜破裂时间以及角膜和结膜荧光素染色。所有参数均使用双眼的平均值。使用干燥综合征国际协作临床联盟眼表染色评分(OSS)评估荧光素染色。

结果

在原发性SS患者(n = 39)中,受试者平均年龄为52.5±11.9岁,94.9%的受试者为女性。SS患者的平均泪液渗透压为311.1±16.4 mOsm/L,16例(41.0%)受试者的值≥316 mOsm/L。在SS中,平均泪液渗透压与OSDI评分(ρ = 0.405,P = 0.011)和OSS(ρ = 0.592,P < 0.001)之间呈正相关。平均泪液渗透压与Schirmer I试验之间呈负相关(ρ = -0.625,P < 0.001)。SS患者的平均泪液渗透压与泪膜破裂时间之间无显著相关性(ρ = 0.110,P = 0.505)。

结论

使用TearLab渗透压系统测量泪液渗透压可以反映SS中的症状严重程度(OSDI)和客观体征(Schirmer试验和OSS)。

https://cdn.ncbi.nlm.nih.gov/pmc/blobs/bf7d/5327171/feacc12c724b/kjo-31-25-g001.jpg

文献AI研究员

20分钟写一篇综述,助力文献阅读效率提升50倍。

立即体验

用中文搜PubMed

大模型驱动的PubMed中文搜索引擎

马上搜索

文档翻译

学术文献翻译模型,支持多种主流文档格式。

立即体验