• 文献检索
  • 文档翻译
  • 深度研究
  • 学术资讯
  • Suppr Zotero 插件Zotero 插件
  • 邀请有礼
  • 套餐&价格
  • 历史记录
应用&插件
Suppr Zotero 插件Zotero 插件浏览器插件Mac 客户端Windows 客户端微信小程序
定价
高级版会员购买积分包购买API积分包
服务
文献检索文档翻译深度研究API 文档MCP 服务
关于我们
关于 Suppr公司介绍联系我们用户协议隐私条款
关注我们

Suppr 超能文献

核心技术专利:CN118964589B侵权必究
粤ICP备2023148730 号-1Suppr @ 2026

文献检索

告别复杂PubMed语法,用中文像聊天一样搜索,搜遍4000万医学文献。AI智能推荐,让科研检索更轻松。

立即免费搜索

文件翻译

保留排版,准确专业,支持PDF/Word/PPT等文件格式,支持 12+语言互译。

免费翻译文档

深度研究

AI帮你快速写综述,25分钟生成高质量综述,智能提取关键信息,辅助科研写作。

立即免费体验

用人工甜味饮料替代含糖饮料对伴有或不伴有肝脂肪变性的超重受试者的代谢影响:一项随机对照临床试验。

Metabolic Effects of Replacing Sugar-Sweetened Beverages with Artificially-Sweetened Beverages in Overweight Subjects with or without Hepatic Steatosis: A Randomized Control Clinical Trial.

作者信息

Campos Vanessa, Despland Camille, Brandejsky Vaclav, Kreis Roland, Schneiter Philippe, Boesch Chris, Tappy Luc

机构信息

Department of Physiology, Faculty of Biology and Medicine, University of Lausanne, 1005 Lausanne, Switzerland.

Department of Clinical Research, University Bern and Institute of Diagnostic Interventional and Pediatric Radiology, University Hospital Bern, 3010 Bern, Switzerland.

出版信息

Nutrients. 2017 Feb 27;9(3):202. doi: 10.3390/nu9030202.

DOI:10.3390/nu9030202
PMID:28264429
原文链接:https://pmc.ncbi.nlm.nih.gov/articles/PMC5372865/
Abstract

OBJECTIVE

Addition of fructose to the diet of normal weight and overweight subjects can increase postprandial plasma triglyceride and uric acid concentration. We, therefore, assessed whether replacing sugar-sweetened beverages (SSB) with artificially-sweetened beverages (ASB) in the diet of overweight and obese subjects would decrease these parameters.

METHODS

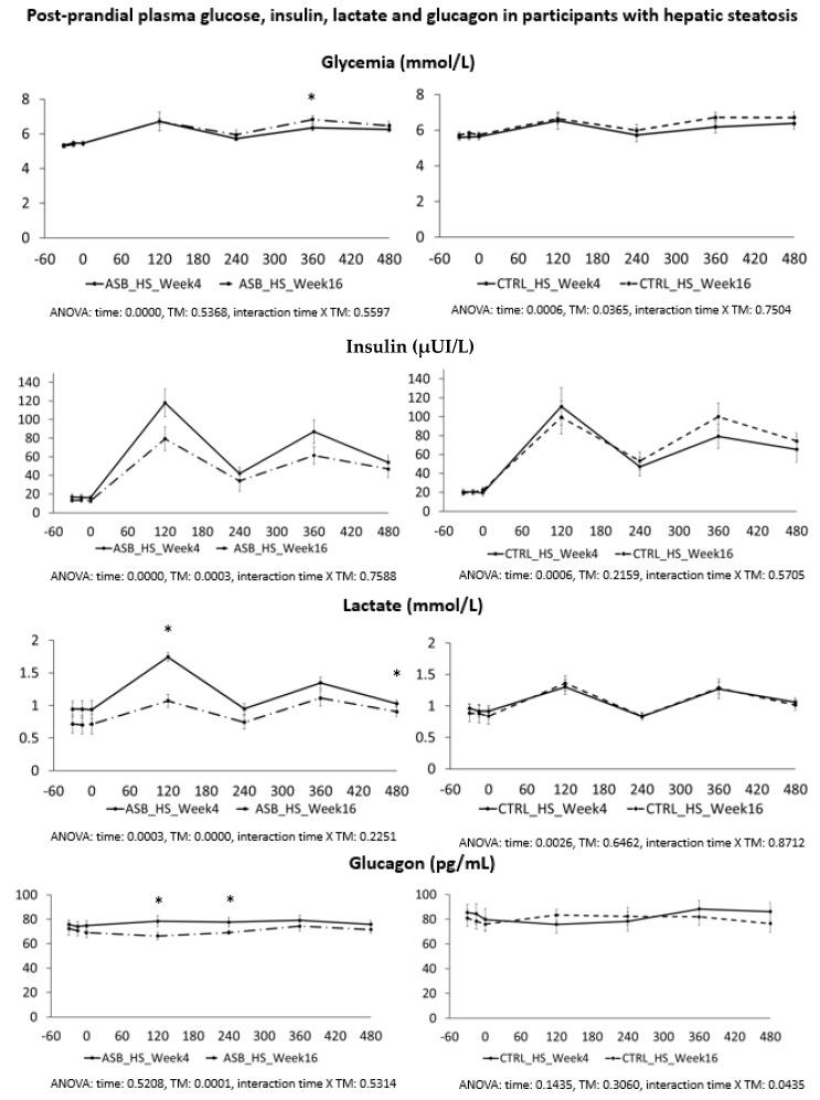
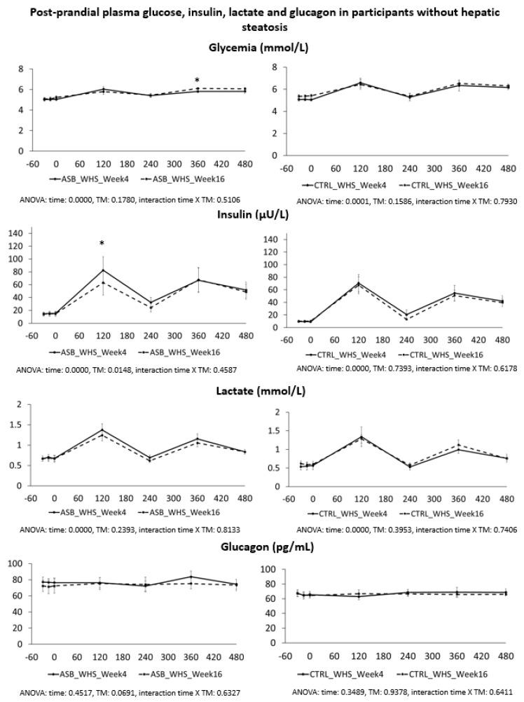
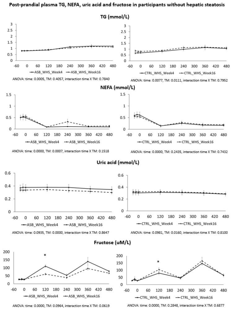
Twenty-six participants of the REDUCS study, which assessed the effects of replacing SSB by ASB over 12 weeks on intra-hepatocellular lipid concentration, were included in this sub-analysis. All were studied after a four-week run-in period during which they consumed their usual diet and SSBs, and after a 12-week intervention in which they were randomly assigned to replace their SSBs with ASBs (ASB arm) or to continue their usual diet and SSBs (control arm, CTRL). At the end of run-in (week 4) and again at the end of intervention (week 16), they took part in an 8.5 h metabolic investigation during which their plasma glucose, insulin, glucagon, lactate, triglyceride (TG), non-esterified fatty acids (NEFA), and uric acid concentrations were measured over a 30 min fasting period (-30-0 min), then every 2 h over 480 min. with ingestion of standard breakfast at time 0 min and a standard lunch at time 240 min. Breakfast and lunch were consumed together with a 3.3 dL SSB at week 4 and with either an ASB (ASB arm) or a SSB (CTRL arm) at week 16. After analyzing the whole group, a secondary analysis was performed on 14 subjects with hepatic steatosis (seven randomized to ASB, seven to CTRL) and 12 subjects without hepatic steatosis (six randomized to ASB and six to CTRL).

RESULTS

Ingestion of meals increased plasma glucose, insulin, glucagon, lactate, and TG concentrations and decreased NEFA concentrations, but with no significant difference of integrated postprandial responses between week 4 and week 16 in both ASB and CTRL, except for a slightly decreased glucagon response in ASB. There was, however, no significant postprandial increase in uric acid concentration in both arms. In the secondary analysis, replacing SSBs with ASBs did not significantly change postprandial TG and uric acid concentrations irrespective of the presence or not of hepatic steatosis, Conclusions: In overweight, high SSB consumers, replacing SSBs with ASBs during 12 weeks did not significantly alter post-prandial TG and uric acid concentration, in spite of the lower energy and fructose content of the meals. These effects were globally the same in subjects without and with hepatic steatosis.

摘要

目的

在正常体重和超重受试者的饮食中添加果糖可增加餐后血浆甘油三酯和尿酸浓度。因此,我们评估了在超重和肥胖受试者的饮食中用人造甜味饮料(ASB)替代含糖甜味饮料(SSB)是否会降低这些指标。

方法

REDUCS研究的26名参与者被纳入本次亚分析,该研究评估了12周内用ASB替代SSB对肝细胞内脂质浓度的影响。所有参与者在为期四周的导入期后接受研究,在此期间他们食用平常饮食和SSB,然后在为期12周的干预期后,他们被随机分配用ASB替代SSB(ASB组)或继续平常饮食和饮用SSB(对照组,CTRL)。在导入期结束时(第4周)以及干预期结束时(第16周),他们参加了一次8.5小时的代谢研究,在此期间,在30分钟禁食期(-30至0分钟)测量他们的血浆葡萄糖、胰岛素、胰高血糖素、乳酸、甘油三酯(TG)、非酯化脂肪酸(NEFA)和尿酸浓度,然后在480分钟内每2小时测量一次,在0分钟时摄入标准早餐,在240分钟时摄入标准午餐。第4周时早餐和午餐与3.3 dL SSB一起食用,第16周时与ASB(ASB组)或SSB(CTRL组)一起食用。在对整个组进行分析后,对14名患有肝脂肪变性的受试者(7名随机分配至ASB组,7名至CTRL组)和12名没有肝脂肪变性的受试者(6名随机分配至ASB组,6名至CTRL组)进行了二次分析。

结果

进餐会增加血浆葡萄糖、胰岛素、胰高血糖素、乳酸和TG浓度,并降低NEFA浓度,但在ASB组和CTRL组中,第4周和第16周之间的餐后综合反应没有显著差异,除了ASB组中胰高血糖素反应略有降低。然而,两组餐后尿酸浓度均无显著升高。在二次分析中,无论是否存在肝脂肪变性,用ASB替代SSB均未显著改变餐后TG和尿酸浓度。结论:在超重、大量饮用SSB的消费者中,尽管餐食的能量和果糖含量较低,但在12周内用ASB替代SSB并未显著改变餐后TG和尿酸浓度。在没有肝脂肪变性和有肝脂肪变性的受试者中,这些影响总体相同。

https://cdn.ncbi.nlm.nih.gov/pmc/blobs/922d/5372865/e162c3b6aa0d/nutrients-09-00202-g006.jpg
https://cdn.ncbi.nlm.nih.gov/pmc/blobs/922d/5372865/982e1daee23f/nutrients-09-00202-g001.jpg
https://cdn.ncbi.nlm.nih.gov/pmc/blobs/922d/5372865/d19885f46338/nutrients-09-00202-g002.jpg
https://cdn.ncbi.nlm.nih.gov/pmc/blobs/922d/5372865/b0e0411fcd22/nutrients-09-00202-g003.jpg
https://cdn.ncbi.nlm.nih.gov/pmc/blobs/922d/5372865/f8d032e3d26f/nutrients-09-00202-g004.jpg
https://cdn.ncbi.nlm.nih.gov/pmc/blobs/922d/5372865/b3c36a516e0c/nutrients-09-00202-g005.jpg
https://cdn.ncbi.nlm.nih.gov/pmc/blobs/922d/5372865/e162c3b6aa0d/nutrients-09-00202-g006.jpg
https://cdn.ncbi.nlm.nih.gov/pmc/blobs/922d/5372865/982e1daee23f/nutrients-09-00202-g001.jpg
https://cdn.ncbi.nlm.nih.gov/pmc/blobs/922d/5372865/d19885f46338/nutrients-09-00202-g002.jpg
https://cdn.ncbi.nlm.nih.gov/pmc/blobs/922d/5372865/b0e0411fcd22/nutrients-09-00202-g003.jpg
https://cdn.ncbi.nlm.nih.gov/pmc/blobs/922d/5372865/f8d032e3d26f/nutrients-09-00202-g004.jpg
https://cdn.ncbi.nlm.nih.gov/pmc/blobs/922d/5372865/b3c36a516e0c/nutrients-09-00202-g005.jpg
https://cdn.ncbi.nlm.nih.gov/pmc/blobs/922d/5372865/e162c3b6aa0d/nutrients-09-00202-g006.jpg

相似文献

1
Metabolic Effects of Replacing Sugar-Sweetened Beverages with Artificially-Sweetened Beverages in Overweight Subjects with or without Hepatic Steatosis: A Randomized Control Clinical Trial.用人工甜味饮料替代含糖饮料对伴有或不伴有肝脂肪变性的超重受试者的代谢影响:一项随机对照临床试验。
Nutrients. 2017 Feb 27;9(3):202. doi: 10.3390/nu9030202.
2
Endocrine and metabolic effects of consuming fructose- and glucose-sweetened beverages with meals in obese men and women: influence of insulin resistance on plasma triglyceride responses.肥胖男性和女性进餐时饮用含果糖和葡萄糖甜味饮料的内分泌和代谢效应:胰岛素抵抗对血浆甘油三酯反应的影响。
J Clin Endocrinol Metab. 2009 May;94(5):1562-9. doi: 10.1210/jc.2008-2192. Epub 2009 Feb 10.
3
Sugar- and artificially sweetened beverages and intrahepatic fat: A randomized controlled trial.含糖及人工甜味饮料与肝内脂肪:一项随机对照试验。
Obesity (Silver Spring). 2015 Dec;23(12):2335-9. doi: 10.1002/oby.21310.
4
Effects of aspartame-, monk fruit-, stevia- and sucrose-sweetened beverages on postprandial glucose, insulin and energy intake.阿斯巴甜、罗汉果、甜菊糖苷和蔗糖甜味饮料对餐后血糖、胰岛素和能量摄入的影响。
Int J Obes (Lond). 2017 Mar;41(3):450-457. doi: 10.1038/ijo.2016.225. Epub 2016 Dec 13.
5
Effects of Sugar-Sweetened, Artificially Sweetened, and Unsweetened Beverages on Cardiometabolic Risk Factors, Body Composition, and Sweet Taste Preference: A Randomized Controlled Trial.含糖饮料、人工甜味饮料和无甜味饮料对心血管代谢风险因素、身体成分和甜味偏好的影响:一项随机对照试验。
J Am Heart Assoc. 2020 Aug 4;9(15):e015668. doi: 10.1161/JAHA.119.015668. Epub 2020 Jul 22.
6
Sweetened beverage intake in association to energy and sugar consumption and cardiometabolic markers in children.儿童甜味饮料摄入量与能量、糖消耗及心脏代谢指标的关系
Pediatr Obes. 2018 Apr;13(4):195-203. doi: 10.1111/ijpo.12194. Epub 2017 Jan 23.
7
Moderate amounts of fructose- or glucose-sweetened beverages do not differentially alter metabolic health in male and female adolescents.适量的果糖或葡萄糖甜味饮料不会对男性和女性青少年的代谢健康产生不同影响。
Am J Clin Nutr. 2014 Sep;100(3):796-805. doi: 10.3945/ajcn.113.081232. Epub 2014 Jul 16.
8
Between-meal sucrose-sweetened beverage consumption impairs glycaemia and lipid metabolism during prolonged sitting: A randomized controlled trial.在长时间久坐期间,两餐之间摄入含蔗糖的甜饮料会损害血糖和脂代谢:一项随机对照试验。
Clin Nutr. 2019 Aug;38(4):1536-1543. doi: 10.1016/j.clnu.2018.08.021. Epub 2018 Sep 1.
9
Rationale, Design and Participants Baseline Characteristics of a Crossover Randomized Controlled Trial of the Effect of Replacing SSBs with NSBs versus Water on Glucose Tolerance, Gut Microbiome and Cardiometabolic Risk in Overweight or Obese Adult SSB Consumer: Strategies to Oppose SUGARS with Non-Nutritive Sweeteners or Water (STOP Sugars NOW) Trial and Ectopic Fat Sub-Study.采用非营养性甜味剂或水替代 SSB 对超重或肥胖 SSB 消费者的葡萄糖耐量、肠道微生物组和心血管代谢风险影响的交叉随机对照试验的原理、设计和参与者基线特征:用非营养性甜味剂或水来对抗糖(STOP Sugars NOW 试验)和异位脂肪子研究。
Nutrients. 2023 Feb 28;15(5):1238. doi: 10.3390/nu15051238.
10
A dose-response study of consuming high-fructose corn syrup-sweetened beverages on lipid/lipoprotein risk factors for cardiovascular disease in young adults.一项关于饮用高果糖玉米糖浆甜味饮料对年轻人心血管疾病脂质/脂蛋白风险因素影响的剂量反应研究。
Am J Clin Nutr. 2015 Jun;101(6):1144-54. doi: 10.3945/ajcn.114.100461. Epub 2015 Apr 22.

引用本文的文献

1
The effects of non-nutritive sweeteners on lipid profile in adults: a systematic review and meta-analysis of randomized controlled clinical trials.非营养性甜味剂对成年人血脂的影响:一项随机对照临床试验的系统评价和荟萃分析
Sci Rep. 2025 Jul 1;15(1):21106. doi: 10.1038/s41598-025-00612-3.
2
High versus low-added sugar consumption for the primary prevention of cardiovascular disease.高糖与低糖摄入用于心血管疾病一级预防的比较。
Cochrane Database Syst Rev. 2022 Jan 5;1(1):CD013320. doi: 10.1002/14651858.CD013320.pub2.
3
Changes in Non-Nutritive Sweetener Consumption Patterns in Response to a Sugar-Sweetened Beverage Reduction Intervention.

本文引用的文献

1
Dietary fructose as a risk factor for non-alcoholic fatty liver disease (NAFLD).膳食果糖作为非酒精性脂肪性肝病(NAFLD)的一个风险因素。
Arch Toxicol. 2017 Apr;91(4):1545-1563. doi: 10.1007/s00204-016-1892-7. Epub 2016 Dec 19.
2
Impact of Masked Replacement of Sugar-Sweetened with Sugar-Free Beverages on Body Weight Increases with Initial BMI: Secondary Analysis of Data from an 18 Month Double-Blind Trial in Children.用无糖饮料替代含糖饮料对体重的影响随初始体重指数增加:一项针对儿童的18个月双盲试验数据的二次分析
PLoS One. 2016 Jul 22;11(7):e0159771. doi: 10.1371/journal.pone.0159771. eCollection 2016.
3
Physiological handling of dietary fructose-containing sugars: implications for health.
非营养性甜味剂消费模式变化对含糖饮料减少干预的响应。
Nutrients. 2020 Nov 8;12(11):3428. doi: 10.3390/nu12113428.
4
The Impact of Dietary Glycemic Index and Glycemic Load on Postprandial Lipid Kinetics, Dyslipidemia and Cardiovascular Risk.饮食血糖指数和血糖负荷对餐后脂质动力学、血脂异常和心血管风险的影响。
Nutrients. 2020 Jul 24;12(8):2204. doi: 10.3390/nu12082204.
5
Environmental interventions to reduce the consumption of sugar-sweetened beverages and their effects on health.减少含糖饮料消费的环境干预措施及其对健康的影响。
Cochrane Database Syst Rev. 2019 Jun 12;6(6):CD012292. doi: 10.1002/14651858.CD012292.pub2.
6
Effect of Nutrient and Micronutrient Intake on Chylomicron Production and Postprandial Lipemia.营养素和微量营养素摄入对乳糜微粒生成和餐后脂血症的影响。
Nutrients. 2019 Jun 8;11(6):1299. doi: 10.3390/nu11061299.
膳食果糖的生理处理:对健康的影响。
Int J Obes (Lond). 2016 Mar;40 Suppl 1:S6-11. doi: 10.1038/ijo.2016.8.
4
Sugar- and artificially sweetened beverages and intrahepatic fat: A randomized controlled trial.含糖及人工甜味饮料与肝内脂肪:一项随机对照试验。
Obesity (Silver Spring). 2015 Dec;23(12):2335-9. doi: 10.1002/oby.21310.
5
Isocaloric fructose restriction and metabolic improvement in children with obesity and metabolic syndrome.肥胖和代谢综合征患儿的等热量果糖限制与代谢改善
Obesity (Silver Spring). 2016 Feb;24(2):453-60. doi: 10.1002/oby.21371. Epub 2015 Oct 26.
6
Estimated Global, Regional, and National Disease Burdens Related to Sugar-Sweetened Beverage Consumption in 2010.2010年与含糖饮料消费相关的全球、区域和国家疾病负担估计
Circulation. 2015 Aug 25;132(8):639-66. doi: 10.1161/CIRCULATIONAHA.114.010636. Epub 2015 Jun 29.
7
A dose-response study of consuming high-fructose corn syrup-sweetened beverages on lipid/lipoprotein risk factors for cardiovascular disease in young adults.一项关于饮用高果糖玉米糖浆甜味饮料对年轻人心血管疾病脂质/脂蛋白风险因素影响的剂量反应研究。
Am J Clin Nutr. 2015 Jun;101(6):1144-54. doi: 10.3945/ajcn.114.100461. Epub 2015 Apr 22.
8
Effect of a High-Fructose Weight-Maintaining Diet on Lipogenesis and Liver Fat.高果糖维持体重饮食对脂肪生成和肝脏脂肪的影响。
J Clin Endocrinol Metab. 2015 Jun;100(6):2434-42. doi: 10.1210/jc.2014-3678. Epub 2015 Mar 31.
9
Nonalcoholic fatty liver disease: a precursor of the metabolic syndrome.非酒精性脂肪性肝病:代谢综合征的前驱病变
Dig Liver Dis. 2015 Mar;47(3):181-90. doi: 10.1016/j.dld.2014.09.020. Epub 2014 Nov 18.
10
Dietary fructose reduction improves markers of cardiovascular disease risk in Hispanic-American adolescents with NAFLD.减少饮食中的果糖摄入可改善患有非酒精性脂肪性肝病的西班牙裔美国青少年心血管疾病风险指标。
Nutrients. 2014 Aug 8;6(8):3187-201. doi: 10.3390/nu6083187.