• 文献检索
  • 文档翻译
  • 深度研究
  • 学术资讯
  • Suppr Zotero 插件Zotero 插件
  • 邀请有礼
  • 套餐&价格
  • 历史记录
应用&插件
Suppr Zotero 插件Zotero 插件浏览器插件Mac 客户端Windows 客户端微信小程序
定价
高级版会员购买积分包购买API积分包
服务
文献检索文档翻译深度研究API 文档MCP 服务
关于我们
关于 Suppr公司介绍联系我们用户协议隐私条款
关注我们

Suppr 超能文献

核心技术专利:CN118964589B侵权必究
粤ICP备2023148730 号-1Suppr @ 2026

文献检索

告别复杂PubMed语法,用中文像聊天一样搜索,搜遍4000万医学文献。AI智能推荐,让科研检索更轻松。

立即免费搜索

文件翻译

保留排版,准确专业,支持PDF/Word/PPT等文件格式,支持 12+语言互译。

免费翻译文档

深度研究

AI帮你快速写综述,25分钟生成高质量综述,智能提取关键信息,辅助科研写作。

立即免费体验

胆汁酸对人呼吸道上皮细胞的影响:对气消化道疾病的意义。

Effects of bile acids on human airway epithelial cells: implications for aerodigestive diseases.

作者信息

Aldhahrani Adil, Verdon Bernard, Ward Chris, Pearson Jeffery

机构信息

Institute for Cell and Molecular Biosciences, Newcastle University, Newcastle upon Tyne, UK.

Institute for Cell and Molecular Biosciences, Newcastle University, Newcastle upon Tyne, UK; Institute of Cellular Medicine, Newcastle University, Newcastle upon Tyne, UK; These authors contributed equally.

出版信息

ERJ Open Res. 2017 Mar 22;3(1). doi: 10.1183/23120541.00107-2016. eCollection 2017 Jan.

DOI:10.1183/23120541.00107-2016
PMID:28344983
原文链接:https://pmc.ncbi.nlm.nih.gov/articles/PMC5360888/
Abstract

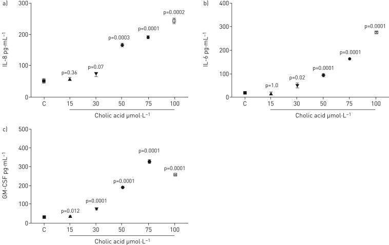
Gastro-oesophageal reflux and aspiration have been associated with chronic and end-stage lung disease and with allograft injury following lung transplantation. This raises the possibility that bile acids may cause lung injury by damaging airway epithelium. The aim of this study was to investigate the effect of bile acid challenge using the immortalised human bronchial epithelial cell line (BEAS-2B). The immortalised human bronchial epithelial cell line (BEAS-2B) was cultured. A 48-h challenge evaluated the effect of individual primary and secondary bile acids. Post-challenge concentrations of interleukin (IL)-8, IL-6 and granulocyte-macrophage colony-stimulating factor were measured using commercial ELISA kits. The viability of the BEAS-2B cells was measured using CellTiter-Blue and MTT assays. Lithocholic acid, deoxycholic acid, chenodeoxycholic acid and cholic acid were successfully used to stimulate cultured BEAS-2B cells at different concentrations. A concentration of lithocholic acid above 10 μmol·L causes cell death, whereas deoxycholic acid, chenodeoxycholic acid and cholic acid above 30 μmol·L was required for cell death. Challenge with bile acids at physiological levels also led to a significant increase in the release of IL-8 and IL6 from BEAS-2B. Aspiration of bile acids could potentially cause cell damage, cell death and inflammation . This is relevant to an integrated gastrointestinal and lung physiological paradigm of chronic lung disease, where reflux and aspiration are described in both chronic lung diseases and allograft injury.

摘要

胃食管反流和误吸与慢性和终末期肺部疾病以及肺移植后的同种异体移植物损伤有关。这增加了胆汁酸可能通过损伤气道上皮而导致肺损伤的可能性。本研究的目的是使用永生化人支气管上皮细胞系(BEAS-2B)来研究胆汁酸刺激的效果。培养永生化人支气管上皮细胞系(BEAS-2B)。48小时的刺激评估了单个初级和次级胆汁酸的效果。使用商用酶联免疫吸附测定试剂盒测量刺激后白细胞介素(IL)-8、IL-6和粒细胞-巨噬细胞集落刺激因子的浓度。使用CellTiter-Blue和MTT测定法测量BEAS-2B细胞的活力。石胆酸、脱氧胆酸、鹅去氧胆酸和胆酸成功用于以不同浓度刺激培养的BEAS-2B细胞。石胆酸浓度高于10μmol·L会导致细胞死亡,而脱氧胆酸、鹅去氧胆酸和胆酸浓度高于30μmol·L才会导致细胞死亡。生理水平的胆汁酸刺激也导致BEAS-2B释放IL-8和IL-6显著增加。胆汁酸的误吸可能会导致细胞损伤、细胞死亡和炎症。这与慢性肺病的综合胃肠和肺生理模式相关,在慢性肺病和同种异体移植物损伤中均描述了反流和误吸。

https://cdn.ncbi.nlm.nih.gov/pmc/blobs/bfa6/5360888/2f2d990ce9d9/00107-2016.05.jpg
https://cdn.ncbi.nlm.nih.gov/pmc/blobs/bfa6/5360888/b382d9ae3972/00107-2016.01.jpg
https://cdn.ncbi.nlm.nih.gov/pmc/blobs/bfa6/5360888/2b4096424922/00107-2016.02.jpg
https://cdn.ncbi.nlm.nih.gov/pmc/blobs/bfa6/5360888/7d997313518f/00107-2016.03.jpg
https://cdn.ncbi.nlm.nih.gov/pmc/blobs/bfa6/5360888/d4b4b638cbd0/00107-2016.04.jpg
https://cdn.ncbi.nlm.nih.gov/pmc/blobs/bfa6/5360888/2f2d990ce9d9/00107-2016.05.jpg
https://cdn.ncbi.nlm.nih.gov/pmc/blobs/bfa6/5360888/b382d9ae3972/00107-2016.01.jpg
https://cdn.ncbi.nlm.nih.gov/pmc/blobs/bfa6/5360888/2b4096424922/00107-2016.02.jpg
https://cdn.ncbi.nlm.nih.gov/pmc/blobs/bfa6/5360888/7d997313518f/00107-2016.03.jpg
https://cdn.ncbi.nlm.nih.gov/pmc/blobs/bfa6/5360888/d4b4b638cbd0/00107-2016.04.jpg
https://cdn.ncbi.nlm.nih.gov/pmc/blobs/bfa6/5360888/2f2d990ce9d9/00107-2016.05.jpg

相似文献

1
Effects of bile acids on human airway epithelial cells: implications for aerodigestive diseases.胆汁酸对人呼吸道上皮细胞的影响:对气消化道疾病的意义。
ERJ Open Res. 2017 Mar 22;3(1). doi: 10.1183/23120541.00107-2016. eCollection 2017 Jan.
2
Bile acids: a potential role in the pathogenesis of pharyngeal malignancy.胆汁酸:在咽部恶性肿瘤发病机制中的潜在作用。
Clin Otolaryngol. 2017 Oct;42(5):969-973. doi: 10.1111/coa.12822. Epub 2017 Jan 18.
3
Bradykinin- and lipopolysaccharide-induced bradykinin B2 receptor expression, interleukin 8 release and "nitrosative stress" in bronchial epithelial cells BEAS-2B: role for neutrophils.缓激肽和脂多糖诱导的支气管上皮细胞 BEAS-2B 中的缓激肽 B2 受体表达、白细胞介素 8 释放和“硝化应激”:中性粒细胞的作用。
Eur J Pharmacol. 2012 Nov 5;694(1-3):30-8. doi: 10.1016/j.ejphar.2012.07.051. Epub 2012 Aug 23.
4
SRY-related high-mobility group box 9 (SOX9) alleviates cigarette smoke extract (CSE)-induced inflammatory injury in human bronchial epithelial cells by suppressing stromal interaction molecule 1 (STIM1) expression.性别决定区 Y 框 9(SOX9)通过抑制基质相互作用分子 1(STIM1)的表达,减轻香烟烟雾提取物(CSE)诱导的人支气管上皮细胞炎症损伤。
Inflamm Res. 2022 Jun;71(5-6):565-576. doi: 10.1007/s00011-022-01576-0. Epub 2022 Apr 30.
5
Adenoviral interleukin-12 gene transduction into human bronchial epithelial cells: up-regulation of pro-inflammatory cytokines and its prevention by corticosteroids.腺病毒介导的白细胞介素-12基因转导入人支气管上皮细胞:促炎细胞因子的上调及其被皮质类固醇的预防作用
Clin Exp Allergy. 2003 Jul;33(7):921-9. doi: 10.1046/j.1365-2222.2003.01702.x.
6
[Luteolin has a significant protective effect against cadmium-induced injury in lung epithelial Beas-2B cells].木犀草素对镉诱导的肺上皮Beas-2B细胞损伤具有显著的保护作用。
Nan Fang Yi Ke Da Xue Xue Bao. 2021 May 20;41(5):729-735. doi: 10.12122/j.issn.1673-4254.2021.05.14.
7
Induction of IL-6 in co-culture of bronchial epithelial cells and eosinophils is regulated by p38 MAPK and NF-kappaB.支气管上皮细胞与嗜酸性粒细胞共培养中白细胞介素-6的诱导受p38丝裂原活化蛋白激酶和核因子κB调控。
Allergy. 2005 Nov;60(11):1378-85. doi: 10.1111/j.1398-9995.2005.00884.x.
8
Amygdalin Attenuates Airway Epithelium Apoptosis, Inflammation, and Epithelial-Mesenchymal Transition through Restraining the TLR4/NF-κB Signaling Pathway on LPS-Treated BEAS-2B Bronchial Epithelial Cells.苦杏仁苷通过抑制 LPS 处理的 BEAS-2B 支气管上皮细胞 TLR4/NF-κB 信号通路减轻气道上皮细胞凋亡、炎症和上皮-间充质转化。
Int Arch Allergy Immunol. 2021;182(10):997-1007. doi: 10.1159/000514209. Epub 2021 Aug 24.
9
The Potential Role of Bile Acids in Acquired Laryngotracheal Stenosis.胆汁酸在获得性喉气管狭窄中的潜在作用。
Laryngoscope. 2018 Sep;128(9):2029-2033. doi: 10.1002/lary.27105. Epub 2018 Feb 5.
10
Endothelin-1 induces GM-CSF, IL-6 and IL-8 but not G-CSF release from a human bronchial epithelial cell line (BEAS-2B).内皮素-1可诱导人支气管上皮细胞系(BEAS-2B)释放粒细胞巨噬细胞集落刺激因子、白细胞介素-6和白细胞介素-8,但不释放粒细胞集落刺激因子。
Neuropeptides. 1996 Dec;30(6):551-6. doi: 10.1016/s0143-4179(96)90038-4.

引用本文的文献

1
Management of microaspiration and gastrointestinal dysfunction after lung transplantation: A narrative review.肺移植术后微量误吸与胃肠功能障碍的管理:一篇叙述性综述
JHLT Open. 2025 Aug 8;10:100363. doi: 10.1016/j.jhlto.2025.100363. eCollection 2025 Nov.
2
Single-Cell RNA Transcriptomics and Multi-omics Analyses Reveal the Clinical Effects of Acupuncture on Methadone Reduction.单细胞RNA转录组学和多组学分析揭示针刺在美沙酮减量中的临床作用。
Research (Wash D C). 2025 Jun 24;8:0741. doi: 10.34133/research.0741. eCollection 2025.
3
Ursodeoxycholic and chenodeoxycholic bile acids alleviate endotoxininduced acute lung injury in rats by modulating aquaporin expression and pathways associated with apoptosis and inflammation.

本文引用的文献

1
Bile acid aspiration in people with cystic fibrosis before and after lung transplantation.囊性纤维化患者肺移植前后的胆汁酸抽吸情况。
Eur Respir J. 2015 Dec;46(6):1820-3. doi: 10.1183/13993003.00891-2015. Epub 2015 Oct 22.
2
Role of IL-6 in asthma and other inflammatory pulmonary diseases.IL-6 在哮喘和其他肺部炎症性疾病中的作用。
Int J Biol Sci. 2012;8(9):1281-90. doi: 10.7150/ijbs.4874. Epub 2012 Oct 25.
3
GM-CSF priming drives bone marrow-derived macrophages to a pro-inflammatory pattern and downmodulates PGE2 in response to TLR2 ligands.
熊去氧胆酸和鹅去氧胆酸通过调节水通道蛋白表达以及与细胞凋亡和炎症相关的信号通路,减轻内毒素诱导的大鼠急性肺损伤。
Front Pharmacol. 2025 Mar 6;16:1484292. doi: 10.3389/fphar.2025.1484292. eCollection 2025.
4
The role of puff volume in vaping emissions, inhalation risks, and metabolic perturbations: a pilot study.吸气量在蒸气排放、吸入风险和代谢干扰中的作用:一项初步研究。
Sci Rep. 2024 Aug 15;14(1):18949. doi: 10.1038/s41598-024-69985-1.
5
Sex differences in airway disease: estrogen and airway surface liquid dynamics.气道疾病中的性别差异:雌激素与气道表面液体动力学。
Biol Sex Differ. 2024 Jul 18;15(1):56. doi: 10.1186/s13293-024-00633-z.
6
Prevalence of Micro-Aspiration of Bile Acids in Patients with Primary Lung Cancer: A Cross-Sectional Study.原发性肺癌患者胆汁微吸入的患病率:一项横断面研究。
Ethiop J Health Sci. 2022 Jul;32(4):715-722. doi: 10.4314/ejhs.v32i4.7.
7
The Role of Bile Acids in the Human Body and in the Development of Diseases.胆汁酸在人体和疾病发展中的作用。
Molecules. 2022 May 25;27(11):3401. doi: 10.3390/molecules27113401.
8
High-fiber diets attenuate emphysema development via modulation of gut microbiota and metabolism.高纤维饮食通过调节肠道微生物群和代谢来减轻肺气肿的发展。
Sci Rep. 2021 Mar 26;11(1):7008. doi: 10.1038/s41598-021-86404-x.
9
Bile Acid Signal Molecules Associate Temporally with Respiratory Inflammation and Microbiome Signatures in Clinically Stable Cystic Fibrosis Patients.胆汁酸信号分子与临床稳定的囊性纤维化患者的呼吸道炎症和微生物组特征在时间上相关联。
Microorganisms. 2020 Nov 6;8(11):1741. doi: 10.3390/microorganisms8111741.
10
MAIT cell activation in adolescents is impacted by bile acid concentrations and body weight.MAIT 细胞在青少年中的激活受胆汁酸浓度和体重的影响。
Clin Exp Immunol. 2020 May;200(2):199-213. doi: 10.1111/cei.13423. Epub 2020 Feb 17.
GM-CSF 预刺激使骨髓来源的巨噬细胞向促炎模式发展,并下调 TLR2 配体反应中的 PGE2。
PLoS One. 2012;7(7):e40523. doi: 10.1371/journal.pone.0040523. Epub 2012 Jul 13.
4
Evaluation of differentiated human bronchial epithelial cell culture systems for asthma research.用于哮喘研究的分化人支气管上皮细胞培养系统的评估
J Allergy (Cairo). 2012;2012:943982. doi: 10.1155/2012/943982. Epub 2012 Jan 11.
5
Increased expression of S100 calcium binding protein A8 in GM-CSF-stimulated neutrophils leads to the increased expressions of IL-8 and IL-16.GM-CSF 刺激的中性粒细胞中 S100 钙结合蛋白 A8 的表达增加导致 IL-8 和 IL-16 的表达增加。
Clin Exp Rheumatol. 2011 Sep-Oct;29(5):768-75. Epub 2011 Oct 31.
6
Bronchiolitis obliterans syndrome: the final frontier for lung transplantation.闭塞性细支气管炎综合征:肺移植的最后边界。
Chest. 2011 Aug;140(2):502-508. doi: 10.1378/chest.10-2838.
7
Systematic review: the role of bile acids in the pathogenesis of gastro-oesophageal reflux disease and related neoplasia.系统评价:胆汁酸在胃食管反流病及其相关肿瘤发病机制中的作用。
Aliment Pharmacol Ther. 2011 Jul;34(2):146-65. doi: 10.1111/j.1365-2036.2011.04709.x. Epub 2011 May 25.
8
Susceptibility to exacerbation in chronic obstructive pulmonary disease.慢性阻塞性肺疾病恶化的易感性。
N Engl J Med. 2010 Sep 16;363(12):1128-38. doi: 10.1056/NEJMoa0909883.
9
Gastroesophageal reflux disease: From pathophysiology to treatment.胃食管反流病:从病理生理学到治疗。
World J Gastroenterol. 2010 Aug 14;16(30):3745-9. doi: 10.3748/wjg.v16.i30.3745.
10
Bile acid aspiration in suspected ventilator-associated pneumonia.疑似呼吸机相关性肺炎时的胆汁酸抽吸
Chest. 2009 Jul;136(1):118-124. doi: 10.1378/chest.08-2668. Epub 2009 Mar 24.