Suppr超能文献

心脏计算机断层扫描在法洛四联症术后晚期患者心室容积测量中的应用

Use of Cardiac Computed Tomography for Ventricular Volumetry in Late Postoperative Patients with Tetralogy of Fallot.

作者信息

Kim Ho Jin, Mun Da Na, Goo Hyun Woo, Yun Tae-Jin

机构信息

Division of Pediatric Cardiac Surgery, Asan Medical Center, University of Ulsan College of Medicine.

Department of Diagnostic Imaging, Asan Medical Center, University of Ulsan College of Medicine.

出版信息

Korean J Thorac Cardiovasc Surg. 2017 Apr;50(2):71-77. doi: 10.5090/kjtcs.2017.50.2.71. Epub 2017 Apr 5.

Abstract

BACKGROUND

Cardiac computed tomography (CT) has emerged as an alternative to magnetic resonance imaging (MRI) for ventricular volumetry. However, the clinical use of cardiac CT requires external validation.

METHODS

Both cardiac CT and MRI were performed prior to pulmonary valve implantation (PVI) in 11 patients (median age, 19 years) who had undergone total correction of tetralogy of Fallot during infancy. The simplified contouring method (MRI) and semiautomatic 3-dimensional region-growing method (CT) were used to measure ventricular volumes.

RESULTS

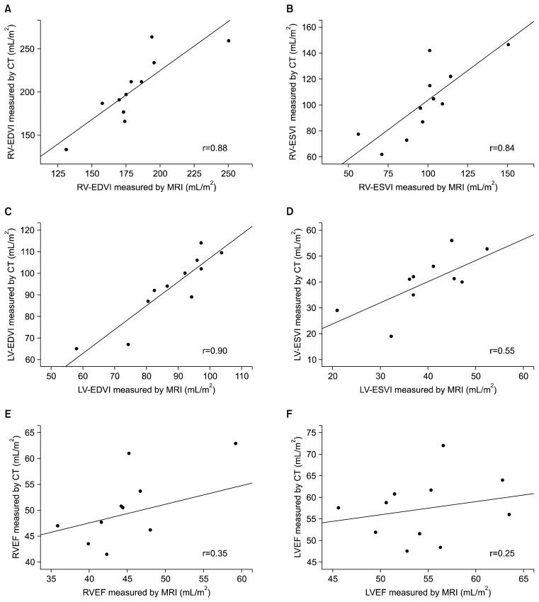
All volumetric indices measured by CT and MRI generally correlated well with each other, except for the left ventricular end-systolic volume index (LV-ESVI), which showed the following correlations with the other indices: the right ventricular end-diastolic volume index (RV-EDVI) (r=0.88, p<0.001), the right ventricular end-systolic volume index (RV-ESVI) (r=0.84, p=0.001), the left ventricular end-diastolic volume index (LV-EDVI) (r=0.90, p=0.001), and the LV-ESVI (r=0.55, p=0.079). While the EDVIs measured by CT were significantly larger than those measured by MRI (median RV-EDVI: 197 mL/m vs. 175 mL/m, p=0.008; median LV-EDVI: 94 mL/m vs. 92 mL/m, p=0.026), no significant differences were found for the RV-ESVI or LV-ESVI.

CONCLUSION

The EDVIs measured by cardiac CT were greater than those measured by MRI, whereas the ESVIs measured by CT and MRI were comparable. The volumetric characteristics of these 2 diagnostic modalities should be taken into account when indications for late PVI after tetralogy of Fallot repair are assessed.

摘要

背景

心脏计算机断层扫描(CT)已成为用于心室容积测量的磁共振成像(MRI)的替代方法。然而,心脏CT的临床应用需要外部验证。

方法

对11例(中位年龄19岁)婴儿期接受法洛四联症根治术的患者在肺动脉瓣植入(PVI)前进行了心脏CT和MRI检查。采用简化轮廓法(MRI)和半自动三维区域生长法(CT)测量心室容积。

结果

CT和MRI测量的所有容积指标总体上相互相关性良好,但左心室收缩末期容积指数(LV-ESVI)除外,其与其他指标的相关性如下:右心室舒张末期容积指数(RV-EDVI)(r = 0.88,p < 0.001)、右心室收缩末期容积指数(RV-ESVI)(r = 0.84,p = 0.001)、左心室舒张末期容积指数(LV-EDVI)(r = 0.90,p = 0.001)以及LV-ESVI(r = 0.55,p = 0.079)。虽然CT测量的舒张末期容积指数明显大于MRI测量的结果(中位RV-EDVI:197 mL/m对175 mL/m,p = 0.008;中位LV-EDVI:94 mL/m对92 mL/m,p = 0.026),但RV-ESVI或LV-ESVI未发现显著差异。

结论

心脏CT测量的舒张末期容积指数大于MRI测量的结果,而CT和MRI测量的收缩末期容积指数具有可比性。在评估法洛四联症修复术后晚期PVI的适应症时,应考虑这两种诊断方式的容积特征。

https://cdn.ncbi.nlm.nih.gov/pmc/blobs/c5c6/5380198/18a9e3277ecb/kjtcvs-50-071f1.jpg

文献AI研究员

20分钟写一篇综述,助力文献阅读效率提升50倍。

立即体验

用中文搜PubMed

大模型驱动的PubMed中文搜索引擎

马上搜索

文档翻译

学术文献翻译模型,支持多种主流文档格式。

立即体验