Suppr超能文献

不同提取物对B16F10小鼠黑色素瘤细胞的抗黑色素生成活性。

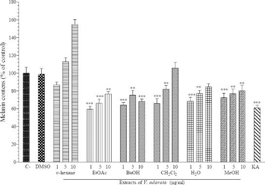
Anti-melanogenic activity of different extracts on B16F10 murine melanoma cells.

作者信息

Rahimi Vafa Baradaran, Askari Vahid Reza, Emami Seyed Ahmad, Tayarani-Najaran Zahra

机构信息

Student Research Committee, Department of Pharmacology, Faculty of Medicine, Mashhad University of Medical Sciences, Mashhad, Iran.

Department of Pharmacognosy, School of Pharmacy, Mashhad University of Medical Sciences, Mashhad, Iran.

出版信息

Iran J Basic Med Sci. 2017 Mar;20(3):242-249. doi: 10.22038/ijbms.2017.8350.

Abstract

OBJECTIVES

In previous studies, antioxidant activity of L. has been demonstrated. In this study, we have investigated the anti-melanogenic effect of extract and fractions of the plant in B16F10 cell line.

MATERIALS AND METHODS

Impact of different increasing concentrations of extract and fractions of was evaluated on cell viability, cellular tyrosinase, melanin content and mushroom tyrosinase as well as ROS production in B16F10 murine melanoma cell line.

RESULTS

had no cytotoxicity on B16F10 cells compared to control group. Kojic acid as positive control had significant decreasing effects on cellular and mushroom tyrosinase activity, melanin content and ROS production (<0.001, for all cases). (1-20 µg/ml) decreased all measured parameters including cellular tyrosinase and melanin content as well as ROS production and among all extract and fractions ethyl acetate fraction had the best effect (<0.05).

CONCLUSION

had promising anti-melanogenic activity through inhibition of cellular tyrosinase activity and ROS production as well as melanin content. More basic and clinical studies need to aver its impact.

摘要

目的

在先前的研究中,已证明了L.的抗氧化活性。在本研究中,我们研究了该植物提取物及其馏分对B16F10细胞系的抗黑色素生成作用。

材料与方法

评估了不同浓度递增的提取物及其馏分对B16F10小鼠黑色素瘤细胞系的细胞活力、细胞酪氨酸酶、黑色素含量、蘑菇酪氨酸酶以及活性氧生成的影响。

结果

与对照组相比,对B16F10细胞无细胞毒性。作为阳性对照的曲酸对细胞和蘑菇酪氨酸酶活性、黑色素含量及活性氧生成有显著降低作用(所有情况均P<0.001)。(1 - 20微克/毫升)降低了所有测量参数,包括细胞酪氨酸酶、黑色素含量以及活性氧生成,并且在所有提取物及其馏分中,乙酸乙酯馏分效果最佳(P<0.05)。

结论

通过抑制细胞酪氨酸酶活性、活性氧生成以及黑色素含量,具有有前景的抗黑色素生成活性。需要更多基础和临床研究来证实其作用。

https://cdn.ncbi.nlm.nih.gov/pmc/blobs/a08e/5378959/f8202fbf6059/IJBMS-20-242-g001.jpg

文献AI研究员

20分钟写一篇综述,助力文献阅读效率提升50倍。

立即体验

用中文搜PubMed

大模型驱动的PubMed中文搜索引擎

马上搜索

文档翻译

学术文献翻译模型,支持多种主流文档格式。

立即体验