Suppr超能文献

β和γ人乳头瘤病毒在异性恋伴侣中的流行情况及传播

Prevalence and Transmission of Beta and Gamma Human Papillomavirus in Heterosexual Couples.

作者信息

Moscicki Anna-Barbara, Ma Yifei, Gheit Tarik, McKay-Chopin Sandrine, Farhat Sepideh, Widdice Lea E, Tommasino Massimo

机构信息

Department of Pediatrics, Division of Adolescent Medicine, University of California, Los Angeles.

Department of Pediatrics, School of Medicine, University of California, San Francisco.

出版信息

Open Forum Infect Dis. 2017 Jan 31;4(1):ofw216. doi: 10.1093/ofid/ofw216. eCollection 2017 Winter.

Abstract

BACKGROUND

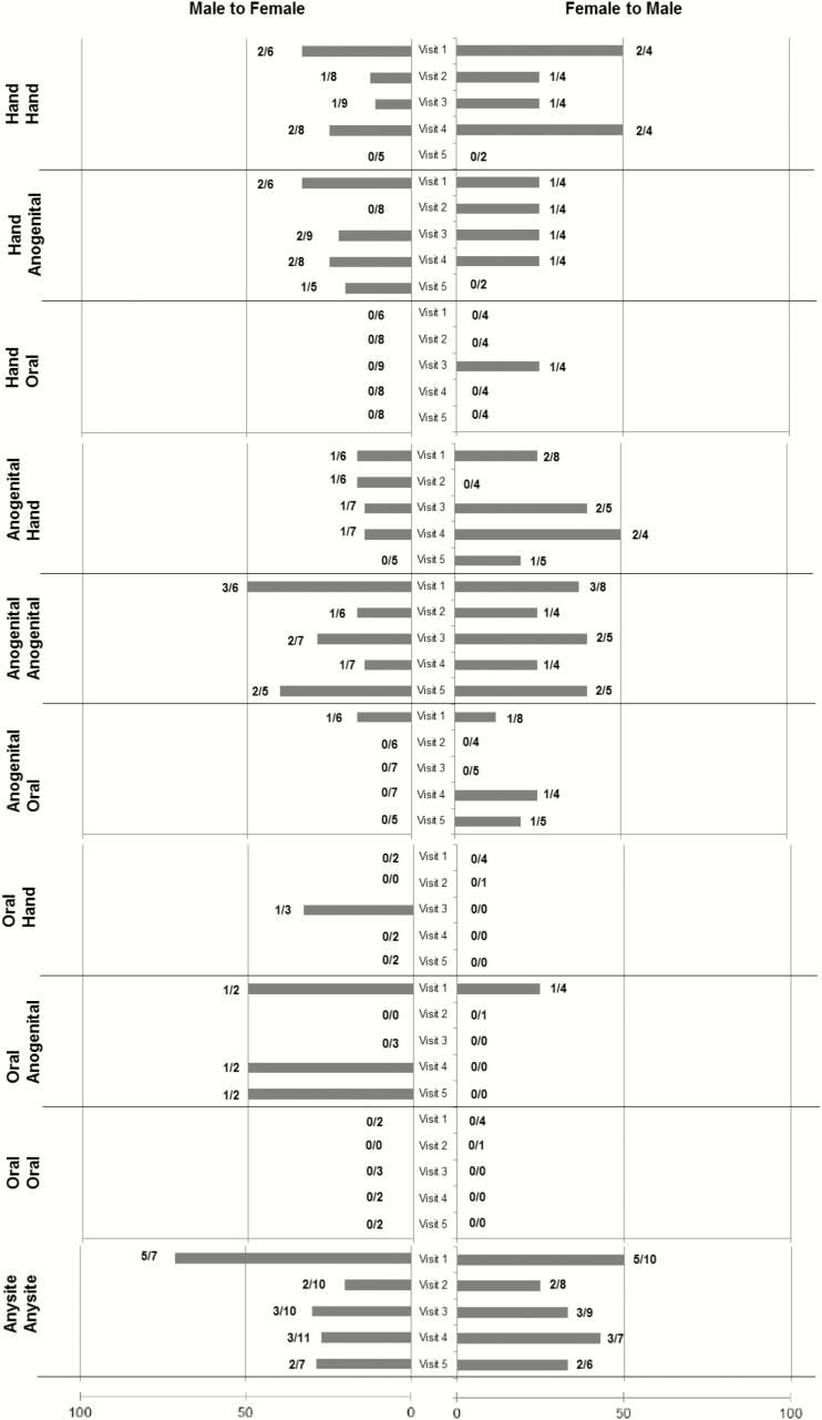
Beta (β) and gamma (γ) human papillomavirus (HPV) are commonly found on the skin. Few of the β types are associated with nonmelanoma skin cancer. Little is known about transmission patterns of these HPV, specifically in the anogenital (AG) areas. The primary objective of this study was to examine the AG concordance and transmission of β and γHPV types between heterosexual couples.

METHODS

Archival samples from a previously published study examining concordance of alpha HPV types between couples were tested for β and γHPV. Hand, mouth, and genital samples were obtained 5 times over a 6-week period.

RESULTS

Of the 21 couples examined, β and γHPV were detected in AG sites in 67% and 30% of men, respectively, and 41% and 25% of women. Positive concordance for β and γHPV was 27% and 20%, respectively, which was greater than the observed concordance between noncouples (10% for βHPV and 4% for γHPV). Transmission rate of βHPV between AG areas was 15.9 (95% confidence interval [CI], 3.3-46.5) per 100 person months for men-to-women at risk and for γHPV was 6.6 (95% CI, .2-36.7). Risks for women-to-men were similar.

CONCLUSIONS

Beta and γHPV are common in the AG area, and data suggest that they can be sexually transmitted.

摘要

背景

β和γ人乳头瘤病毒(HPV)常见于皮肤。少数β型HPV与非黑素瘤皮肤癌相关。人们对这些HPV的传播模式知之甚少,尤其是在肛门生殖器(AG)区域。本研究的主要目的是检测异性恋伴侣之间β和γHPV类型在AG部位的一致性及传播情况。

方法

对之前一项关于伴侣间αHPV类型一致性研究的存档样本进行β和γHPV检测。在6周内采集5次手部、口腔和生殖器样本。

结果

在检测的21对伴侣中,男性AG部位检测到β和γHPV的比例分别为67%和30%,女性为41%和25%。β和γHPV的阳性一致性分别为27%和20%,高于非伴侣间观察到的一致性(βHPV为10%,γHPV为4%)。AG区域间βHPV从男性传播至有风险女性的发生率为每100人月15.9(95%置信区间[CI],3.3 - 46.5),γHPV为6.6(95%CI,0.2 - 36.7)。女性传播至男性的风险相似。

结论

β和γHPV在AG区域常见,数据表明它们可通过性传播。

https://cdn.ncbi.nlm.nih.gov/pmc/blobs/aaa9/5414092/da79aafc6e43/ofw21601.jpg

文献检索

告别复杂PubMed语法,用中文像聊天一样搜索,搜遍4000万医学文献。AI智能推荐,让科研检索更轻松。

立即免费搜索

文件翻译

保留排版,准确专业,支持PDF/Word/PPT等文件格式,支持 12+语言互译。

免费翻译文档

深度研究

AI帮你快速写综述,25分钟生成高质量综述,智能提取关键信息,辅助科研写作。

立即免费体验