Suppr超能文献

评估高光谱植被指数用于不同物候期麻风树叶片面积指数的估算

Evaluating Hyperspectral Vegetation Indices for Leaf Area Index Estimation of L. at Diverse Phenological Stages.

作者信息

Din Mairaj, Zheng Wen, Rashid Muhammad, Wang Shanqin, Shi Zhihua

机构信息

College of Resources and Environmental Sciences, Huazhong Agricultural UniversityWuhan, China.

Key Laboratory of Arable Land Conservation (Middle and Lower Reaches of Yangtze River), Ministry of Agriculture, Huazhong Agricultural UniversityWuhan, China.

出版信息

Front Plant Sci. 2017 May 22;8:820. doi: 10.3389/fpls.2017.00820. eCollection 2017.

Abstract

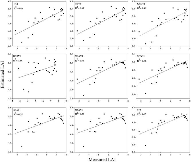
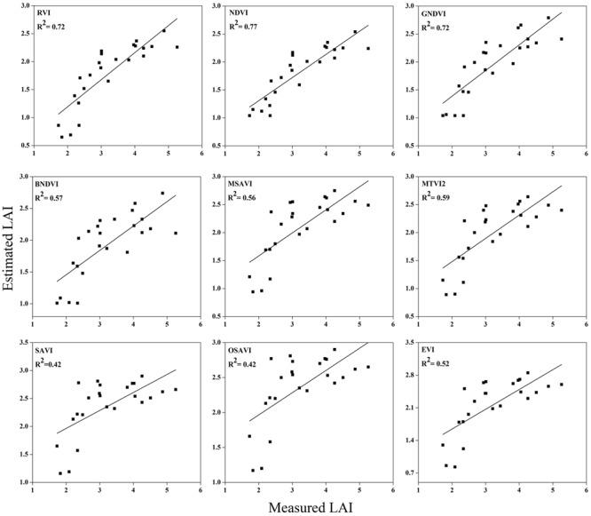
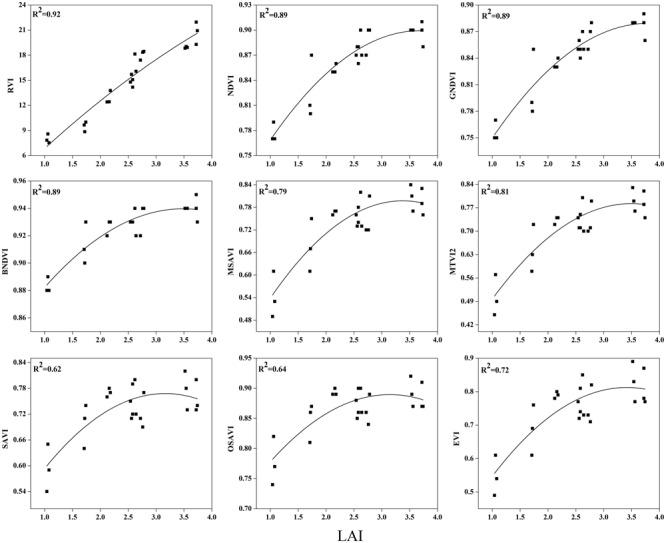
Hyperspectral reflectance derived vegetation indices (VIs) are used for non-destructive leaf area index (LAI) monitoring for precise and efficient N nutrition management. This study tested the hypothesis that there is potential for using various hyperspectral VIs for estimating LAI at different growth stages of rice under varying N rates. Hyperspectral reflectance and crop canopy LAI measurements were carried out over 2 years (2015 and 2016) in Meichuan, Hubei, China. Different N fertilization, 0, 45, 82, 127, 165, 210, 247, and 292 kg ha, were applied to generate various scales of VIs and LAI values. Regression models were used to perform quantitative analyses between spectral VIs and LAI measured under different phenological stages. In addition, the coefficient of determination and RMSE were employed to evaluate these models. Among the nine VIs, the ratio vegetation index, normalized difference vegetation index (NDVI), modified soil-adjusted vegetation index (MSAVI), modified triangular vegetation index (MTVI2) and exhibited strong and significant relationships with the LAI estimation at different phenological stages. The enhanced vegetation index performed moderately. However, the green normalized vegetation index and blue normalized vegetation index confirmed that there is potential for crop LAI estimation at early phenological stages; the soil-adjusted vegetation index and optimized soil-adjusted vegetation index were more related to the soil optical properties, which were predicted to be the least accurate for LAI estimation. The noise equivalent accounted for the sensitivity of the VIs and MSAVI, MTVI2, and NDVI for the LAI estimation at phenological stages. The results note that LAI at different crop phenological stages has a significant influence on the potential of hyperspectral derived VIs under different N management practices.

摘要

基于高光谱反射率得出的植被指数(VIs)被用于无损叶面积指数(LAI)监测,以实现精确高效的氮素营养管理。本研究验证了以下假设:在不同施氮量条件下,利用各种高光谱植被指数估算水稻不同生长阶段的叶面积指数具有可行性。2015年和2016年在中国湖北梅川进行了为期两年的高光谱反射率和作物冠层叶面积指数测量。设置了0、45、82、127、165、210、247和292 kg/ha等不同施氮量,以生成不同尺度的植被指数和叶面积指数值。采用回归模型对不同物候期测量的光谱植被指数和叶面积指数进行定量分析。此外,利用决定系数和均方根误差对这些模型进行评估。在九种植被指数中,比值植被指数、归一化差异植被指数(NDVI)、修正土壤调节植被指数(MSAVI)、修正三角植被指数(MTVI2)与不同物候期的叶面积指数估算呈现出强显著关系。增强植被指数表现中等。然而,绿归一化植被指数和蓝归一化植被指数证实了在物候期早期估算作物叶面积指数具有潜力;土壤调节植被指数和优化土壤调节植被指数与土壤光学特性相关性更强,预计其叶面积指数估算准确性最低。噪声等效值说明了植被指数以及MSAVI、MTVI2和NDVI在物候期对叶面积指数估算的敏感性。结果表明,不同作物物候期的叶面积指数对不同施氮管理措施下高光谱衍生植被指数的潜力有显著影响。

https://cdn.ncbi.nlm.nih.gov/pmc/blobs/70f6/5438995/16c174c1705f/fpls-08-00820-g001.jpg

文献检索

告别复杂PubMed语法,用中文像聊天一样搜索,搜遍4000万医学文献。AI智能推荐,让科研检索更轻松。

立即免费搜索

文件翻译

保留排版,准确专业,支持PDF/Word/PPT等文件格式,支持 12+语言互译。

免费翻译文档

深度研究

AI帮你快速写综述,25分钟生成高质量综述,智能提取关键信息,辅助科研写作。

立即免费体验