• 文献检索
  • 文档翻译
  • 深度研究
  • 学术资讯
  • Suppr Zotero 插件Zotero 插件
  • 邀请有礼
  • 套餐&价格
  • 历史记录
应用&插件
Suppr Zotero 插件Zotero 插件浏览器插件Mac 客户端Windows 客户端微信小程序
定价
高级版会员购买积分包购买API积分包
服务
文献检索文档翻译深度研究API 文档MCP 服务
关于我们
关于 Suppr公司介绍联系我们用户协议隐私条款
关注我们

Suppr 超能文献

核心技术专利:CN118964589B侵权必究
粤ICP备2023148730 号-1Suppr @ 2026

文献检索

告别复杂PubMed语法,用中文像聊天一样搜索,搜遍4000万医学文献。AI智能推荐,让科研检索更轻松。

立即免费搜索

文件翻译

保留排版,准确专业,支持PDF/Word/PPT等文件格式,支持 12+语言互译。

免费翻译文档

深度研究

AI帮你快速写综述,25分钟生成高质量综述,智能提取关键信息,辅助科研写作。

立即免费体验

智利中部不同管理制度下两种底栖资源的开发率:在开放获取区域作业的个体渔业中非法捕鱼的证据。

Exploitation rates of two benthic resources across management regimes in central Chile: Evidence of illegal fishing in artisanal fisheries operating in open access areas.

作者信息

Andreu-Cazenave Miguel, Subida Maria Dulce, Fernandez Miriam

机构信息

Núcleo Milenio - Centro de Conservación Marina CCM, Estación Costera de Investigaciones Marinas, Departamento de Ecología, Facultad de Ciencias Biológicas, Pontificia Universidad Católica de Chile, Santiago, Chile.

出版信息

PLoS One. 2017 Jun 30;12(6):e0180012. doi: 10.1371/journal.pone.0180012. eCollection 2017.

DOI:10.1371/journal.pone.0180012
PMID:28666013
原文链接:https://pmc.ncbi.nlm.nih.gov/articles/PMC5493345/
Abstract

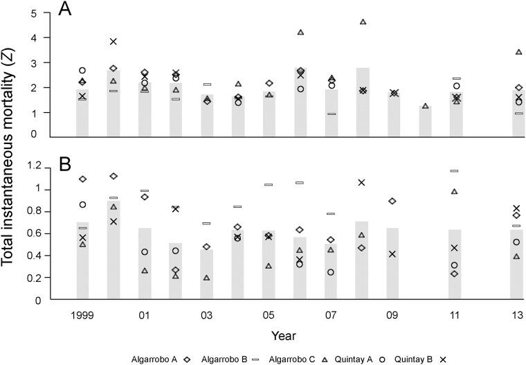
There is an urgent need to quantify the impacts of artisanal fisheries and define management practices that allow for the recovery and conservation of exploited stocks. The extent of illegal catch is particularly critical as a driver of overexploitation in artisanal fisheries. However, the lack of data at proper spatial scales limits the evaluation of illegal fishing and effectiveness of management practices. We used a catch curve analysis to estimate total instantaneous mortality as a proxy of fishing pressure in the artisanal benthic fishery in central Chile. We compared the patterns of total mortality in fishing grounds under the well-studied territorial use rights for fisheries system (TURF) immersed in a landscape of open access areas (OAA; no access restriction), and from these patterns determined the extent of illegal fishing in open access areas focusing on the two most frequently extracted resources: locos (Concholepas concholepas) and keyhole limpets (Fissurella spp.). The beauty of this seascape is the presence of the no-take (NT) area of Las Cruces as control (no fishing), allowing us to estimate natural mortality. Loco exploitation is banned in OAAs. However, loco mortality in OAAs was 92% higher than in the NT, and 42% higher than in TURFs. Keyhole limpet mortality was similar between TURFs and the NT, but doubled in OAAs. We also found strong differences in mortality among fishing grounds with the same level of protection (i.e. TURFs), and over time. Our results highlight (a) the high level of illegal fishing that may occur in artisanal fisheries under traditional management regimes, and (b) that TURFs can be effective to reduce fishing mortality. However, large variability among TURFs suggests the need for a deeper understanding of the drivers of success of TURFs.

摘要

迫切需要量化个体渔业的影响,并确定能够促进被开发种群恢复和保护的管理措施。非法捕捞的程度作为个体渔业过度开发的一个驱动因素,尤为关键。然而,缺乏适当空间尺度的数据限制了对非法捕捞以及管理措施有效性的评估。我们采用渔获曲线分析来估计总瞬时死亡率,以此作为智利中部个体底栖渔业捕捞压力的一个指标。我们比较了在深入研究的渔业领地使用权制度(TURF)下的渔场与开放获取区域(OAA;无进入限制)的总死亡率模式,并从这些模式中确定开放获取区域的非法捕捞程度,重点关注两种最常捕捞的资源:海螺(Concholepas concholepas)和钥匙孔帽贝(Fissurella spp.)。这片海景的美妙之处在于存在拉斯克鲁塞斯禁捕(NT)区域作为对照(无捕捞),这使我们能够估计自然死亡率。在开放获取区域,海螺捕捞是被禁止的。然而,开放获取区域的海螺死亡率比禁捕区域高92%,比渔业领地使用权制度区域高42%。钥匙孔帽贝在渔业领地使用权制度区域和禁捕区域的死亡率相似,但在开放获取区域增加了一倍。我们还发现在具有相同保护水平(即渔业领地使用权制度区域)的渔场之间以及不同时间,死亡率存在显著差异。我们的结果突出表明:(a)在传统管理制度下个体渔业可能存在的高水平非法捕捞;(b)渔业领地使用权制度对于降低捕捞死亡率是有效的。然而,渔业领地使用权制度区域之间的巨大差异表明需要更深入地了解渔业领地使用权制度成功的驱动因素。

https://cdn.ncbi.nlm.nih.gov/pmc/blobs/8c17/5493345/d6816179bb40/pone.0180012.g004.jpg
https://cdn.ncbi.nlm.nih.gov/pmc/blobs/8c17/5493345/902e7aff0e0f/pone.0180012.g001.jpg
https://cdn.ncbi.nlm.nih.gov/pmc/blobs/8c17/5493345/1de8bf7e4d0d/pone.0180012.g002.jpg
https://cdn.ncbi.nlm.nih.gov/pmc/blobs/8c17/5493345/2f98d974068b/pone.0180012.g003.jpg
https://cdn.ncbi.nlm.nih.gov/pmc/blobs/8c17/5493345/d6816179bb40/pone.0180012.g004.jpg
https://cdn.ncbi.nlm.nih.gov/pmc/blobs/8c17/5493345/902e7aff0e0f/pone.0180012.g001.jpg
https://cdn.ncbi.nlm.nih.gov/pmc/blobs/8c17/5493345/1de8bf7e4d0d/pone.0180012.g002.jpg
https://cdn.ncbi.nlm.nih.gov/pmc/blobs/8c17/5493345/2f98d974068b/pone.0180012.g003.jpg
https://cdn.ncbi.nlm.nih.gov/pmc/blobs/8c17/5493345/d6816179bb40/pone.0180012.g004.jpg

相似文献

1
Exploitation rates of two benthic resources across management regimes in central Chile: Evidence of illegal fishing in artisanal fisheries operating in open access areas.智利中部不同管理制度下两种底栖资源的开发率:在开放获取区域作业的个体渔业中非法捕鱼的证据。
PLoS One. 2017 Jun 30;12(6):e0180012. doi: 10.1371/journal.pone.0180012. eCollection 2017.
2
Illegal fishing and territorial user rights in Chile.智利的非法捕捞和领土使用权。
Conserv Biol. 2018 Jun;32(3):619-627. doi: 10.1111/cobi.13048. Epub 2018 Mar 6.
3
Add-on conservation benefits of marine territorial user rights fishery policies in central Chile.智利中部海洋领土使用权渔业政策带来的额外保护效益。
Ecol Appl. 2008 Jan;18(1):273-81. doi: 10.1890/06-1896.1.
4
Egg production patterns of two invertebrate species in rocky subtidal areas under different fishing regimes along the coast of central Chile.智利中部沿海不同捕捞方式下岩石潮下带区域两种无脊椎动物的产卵模式。
PLoS One. 2017 May 8;12(5):e0176758. doi: 10.1371/journal.pone.0176758. eCollection 2017.
5
Correction: Exploitation rates of two benthic resources across management regimes in central Chile: Evidence of illegal fishing in artisanal fisheries operating in open access areas.更正:智利中部不同管理制度下两种底栖资源的开发率:开放获取区域内个体渔业非法捕捞的证据
PLoS One. 2018 Jan 9;13(1):e0191166. doi: 10.1371/journal.pone.0191166. eCollection 2018.
6
Temporal and spatial predictions of effect of alternative fishing policies for the Gran Canaria marine ecosystem.大加那利岛海洋生态系统替代捕捞政策效果的时空预测。
J Fish Biol. 2019 Jun;94(6):882-895. doi: 10.1111/jfb.14012.
7
Applying an ecosystem service approach to unravel links between ecosystems and society in the coast of central Chile.应用生态系统服务方法揭示智利中部沿海地区生态系统与社会之间的联系。
Sci Total Environ. 2015 Nov 15;533:122-32. doi: 10.1016/j.scitotenv.2015.06.094. Epub 2015 Jul 4.
8
Accounting for enforcement costs in the spatial allocation of marine zones.考虑执法成本的海洋区域空间配置。
Conserv Biol. 2015 Feb;29(1):226-37. doi: 10.1111/cobi.12358. Epub 2014 Aug 7.
9
Self-feedbacks determine the sustainability of human interventions in eco-social complex systems: Impacts on biodiversity and ecosystem health.自我反馈决定了人类对生态社会复杂系统干预的可持续性:对生物多样性和生态系统健康的影响。
PLoS One. 2017 Apr 28;12(4):e0176163. doi: 10.1371/journal.pone.0176163. eCollection 2017.
10
Sampling mobile oceanic fishes and sharks: implications for fisheries and conservation planning.采样移动海洋鱼类和鲨鱼:对渔业和保护规划的影响。
Biol Rev Camb Philos Soc. 2017 May;92(2):627-646. doi: 10.1111/brv.12246. Epub 2015 Dec 18.

引用本文的文献

1
Monitoring the fabric of nature: using allometric trophic network models and observations to assess policy effects on biodiversity.监测自然结构:利用种间关联营养网络模型和观测结果评估政策对生物多样性的影响。
Philos Trans R Soc Lond B Biol Sci. 2023 Jul 17;378(1881):20220189. doi: 10.1098/rstb.2022.0189. Epub 2023 May 29.
2
Integrating human and ecological dimensions: The importance of stakeholders' perceptions and participation on the performance of fisheries co-management in Chile.整合人类和生态维度:利益相关者认知和参与对智利渔业共同管理绩效的重要性。
PLoS One. 2021 Aug 11;16(8):e0254727. doi: 10.1371/journal.pone.0254727. eCollection 2021.
3

本文引用的文献

1
A Mixed-Method Approach for Quantifying Illegal Fishing and Its Impact on an Endangered Fish Species.一种用于量化非法捕捞及其对濒危鱼类物种影响的混合方法。
PLoS One. 2015 Dec 1;10(12):e0143960. doi: 10.1371/journal.pone.0143960. eCollection 2015.
2
Status and solutions for the world's unassessed fisheries.世界上未评估渔业的现状和解决方案。
Science. 2012 Oct 26;338(6106):517-20. doi: 10.1126/science.1223389. Epub 2012 Sep 27.
3
Territorial user rights for fisheries as ancillary instruments for marine coastal conservation in Chile.
Alteration of coastal productivity and artisanal fisheries interact to affect a marine food web.
沿海生产力的变化和手工渔业相互作用,影响海洋食物网。
Sci Rep. 2021 Jan 19;11(1):1765. doi: 10.1038/s41598-021-81392-4.
4
Estimating illegal fishing from enforcement officers.估算执法官员的非法捕捞行为。
Sci Rep. 2020 Jul 27;10(1):12478. doi: 10.1038/s41598-020-69311-5.
5
Factors associated with perceived quality of life in artisanal fishermen: a cross-sectional study.个体渔民生活质量感知的相关因素:一项横断面研究。
BMC Res Notes. 2019 Aug 2;12(1):479. doi: 10.1186/s13104-019-4525-4.
6
Correction: Exploitation rates of two benthic resources across management regimes in central Chile: Evidence of illegal fishing in artisanal fisheries operating in open access areas.更正:智利中部不同管理制度下两种底栖资源的开发率:开放获取区域内个体渔业非法捕捞的证据
PLoS One. 2018 Jan 9;13(1):e0191166. doi: 10.1371/journal.pone.0191166. eCollection 2018.
智利渔业的领土使用权作为海洋沿海保护的辅助手段。
Conserv Biol. 2012 Dec;26(6):1005-15. doi: 10.1111/j.1523-1739.2012.01928.x. Epub 2012 Sep 12.
4
Navigating transformations in governance of Chilean marine coastal resources.智利海洋沿海资源治理的变革之道。
Proc Natl Acad Sci U S A. 2010 Sep 28;107(39):16794-9. doi: 10.1073/pnas.1012021107. Epub 2010 Sep 13.
5
Designing marine reserve networks for both conservation and fisheries management.设计兼顾保护和渔业管理的海洋保护区网络。
Proc Natl Acad Sci U S A. 2010 Oct 26;107(43):18286-93. doi: 10.1073/pnas.0906473107. Epub 2010 Mar 3.
6
Rebuilding global fisheries.重建全球渔业。
Science. 2009 Jul 31;325(5940):578-85. doi: 10.1126/science.1173146.
7
Estimating the worldwide extent of illegal fishing.估算全球非法捕鱼的规模。
PLoS One. 2009;4(2):e4570. doi: 10.1371/journal.pone.0004570. Epub 2009 Feb 25.
8
Interhemispheric comparison of recruitment to intertidal communities: pattern persistence and scales of variation.潮间带群落补充的半球间比较:模式持续性与变异尺度
Ecology. 2008 May;89(5):1308-22. doi: 10.1890/07-0728.1.
9
Add-on conservation benefits of marine territorial user rights fishery policies in central Chile.智利中部海洋领土使用权渔业政策带来的额外保护效益。
Ecol Appl. 2008 Jan;18(1):273-81. doi: 10.1890/06-1896.1.
10
Institutions, incentives and the future of fisheries.制度、激励措施与渔业的未来。
Philos Trans R Soc Lond B Biol Sci. 2005 Jan 29;360(1453):47-57. doi: 10.1098/rstb.2004.1569.