• 文献检索
  • 文档翻译
  • 深度研究
  • 学术资讯
  • Suppr Zotero 插件Zotero 插件
  • 邀请有礼
  • 套餐&价格
  • 历史记录
应用&插件
Suppr Zotero 插件Zotero 插件浏览器插件Mac 客户端Windows 客户端微信小程序
定价
高级版会员购买积分包购买API积分包
服务
文献检索文档翻译深度研究API 文档MCP 服务
关于我们
关于 Suppr公司介绍联系我们用户协议隐私条款
关注我们

Suppr 超能文献

核心技术专利:CN118964589B侵权必究
粤ICP备2023148730 号-1Suppr @ 2026

文献检索

告别复杂PubMed语法,用中文像聊天一样搜索,搜遍4000万医学文献。AI智能推荐,让科研检索更轻松。

立即免费搜索

文件翻译

保留排版,准确专业,支持PDF/Word/PPT等文件格式,支持 12+语言互译。

免费翻译文档

深度研究

AI帮你快速写综述,25分钟生成高质量综述,智能提取关键信息,辅助科研写作。

立即免费体验

阴极几何形状对超快电子显微镜中电子动力学的影响。

Influence of cathode geometry on electron dynamics in an ultrafast electron microscope.

作者信息

Ji Shaozheng, Piazza Luca, Cao Gaolong, Park Sang Tae, Reed Bryan W, Masiel Daniel J, Weissenrieder Jonas

机构信息

KTH Royal Institute of Technology, Material Physics, Electrum 229, SE-16440 Kista, Sweden.

Integrated Dynamic Electron Solutions, Inc. (IDES), Pleasanton, California 94588, USA.

出版信息

Struct Dyn. 2017 Jul 17;4(5):054303. doi: 10.1063/1.4994004. eCollection 2017 Sep.

DOI:10.1063/1.4994004
PMID:28781982
原文链接:https://pmc.ncbi.nlm.nih.gov/articles/PMC5515673/
Abstract

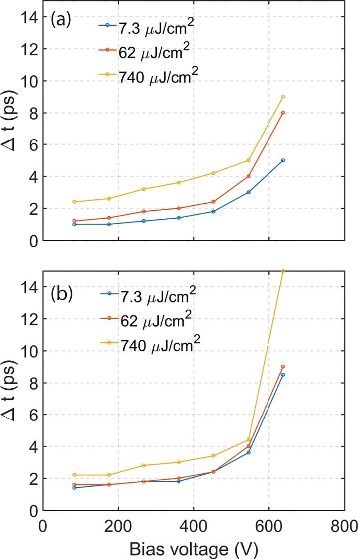
Efforts to understand matter at ever-increasing spatial and temporal resolutions have led to the development of instruments such as the ultrafast transmission electron microscope (UEM) that can capture transient processes with combined nanometer and picosecond resolutions. However, analysis by UEM is often associated with extended acquisition times, mainly due to the limitations of the electron gun. Improvements are hampered by tradeoffs in realizing combinations of the conflicting objectives for source size, emittance, and energy and temporal dispersion. Fundamentally, the performance of the gun is a function of the cathode material, the gun and cathode geometry, and the local fields. Especially shank emission from a truncated tip cathode results in severe broadening effects and therefore such electrons must be filtered by applying a Wehnelt bias. Here we study the influence of the cathode geometry and the Wehnelt bias on the performance of a photoelectron gun in a thermionic configuration. We combine experimental analysis with finite element simulations tracing the paths of individual photoelectrons in the relevant 3D geometry. Specifically, we compare the performance of guard ring cathodes with no shank emission to conventional truncated tip geometries. We find that a guard ring cathode allows operation at minimum Wehnelt bias and improve the temporal resolution under realistic operation conditions in an UEM. At low bias, the Wehnelt exhibits stronger focus for guard ring than truncated tip cathodes. The increase in temporal spread with bias is mainly a result from a decrease in the accelerating field near the cathode surface. Furthermore, simulations reveal that the temporal dispersion is also influenced by the intrinsic angular distribution in the photoemission process and the initial energy spread. However, a smaller emission spot on the cathode is not a dominant driver for enhancing time resolution. Space charge induced temporal broadening shows a close to linear relation with the number of electrons up to at least 10 000 electrons per pulse. The Wehnelt bias will affect the energy distribution by changing the Rayleigh length, and thus the interaction time, at the crossover.

摘要

人们致力于以不断提高的空间和时间分辨率来理解物质,这推动了诸如超快透射电子显微镜(UEM)等仪器的发展,该显微镜能够以纳米和皮秒的组合分辨率捕捉瞬态过程。然而,UEM分析通常与较长的采集时间相关,这主要是由于电子枪的局限性所致。在实现源尺寸、发射度、能量和时间色散等相互冲突目标的组合时,权衡取舍阻碍了改进。从根本上说,电子枪的性能是阴极材料、电子枪和阴极几何形状以及局部场的函数。特别是截顶尖端阴极的柄部发射会导致严重的展宽效应,因此必须通过施加韦内尔特偏压来过滤此类电子。在此,我们研究阴极几何形状和韦内尔特偏压对热电子配置中光电子枪性能的影响。我们将实验分析与有限元模拟相结合,追踪相关三维几何结构中单个光电子的路径。具体而言,我们将无柄部发射的保护环阴极的性能与传统截顶尖端几何形状进行比较。我们发现,保护环阴极能够在最小韦内尔特偏压下运行,并在UEM的实际运行条件下提高时间分辨率。在低偏压下,韦内尔特对保护环的聚焦作用比对截顶尖端阴极更强。随着偏压增加,时间展宽的增加主要是由于阴极表面附近加速场的减小。此外,模拟表明,时间色散还受光发射过程中的固有角分布和初始能量展宽的影响。然而,阴极上较小的发射光斑并非提高时间分辨率的主要驱动因素。空间电荷引起的时间展宽与每个脉冲至少10000个电子的电子数量呈现近乎线性的关系。韦内尔特偏压将通过改变交叉点处的瑞利长度从而改变相互作用时间来影响能量分布。

https://cdn.ncbi.nlm.nih.gov/pmc/blobs/bff8/5515673/a9d737c32775/SDTYAE-000004-054303_1-g010.jpg
https://cdn.ncbi.nlm.nih.gov/pmc/blobs/bff8/5515673/3d6ede455cef/SDTYAE-000004-054303_1-g001.jpg
https://cdn.ncbi.nlm.nih.gov/pmc/blobs/bff8/5515673/ef13e1adaa3e/SDTYAE-000004-054303_1-g002.jpg
https://cdn.ncbi.nlm.nih.gov/pmc/blobs/bff8/5515673/e288995d1c06/SDTYAE-000004-054303_1-g003.jpg
https://cdn.ncbi.nlm.nih.gov/pmc/blobs/bff8/5515673/28d73b4c5a41/SDTYAE-000004-054303_1-g004.jpg
https://cdn.ncbi.nlm.nih.gov/pmc/blobs/bff8/5515673/0341338ea26e/SDTYAE-000004-054303_1-g005.jpg
https://cdn.ncbi.nlm.nih.gov/pmc/blobs/bff8/5515673/3f2214d11a5f/SDTYAE-000004-054303_1-g006.jpg
https://cdn.ncbi.nlm.nih.gov/pmc/blobs/bff8/5515673/f0542eb8f18b/SDTYAE-000004-054303_1-g007.jpg
https://cdn.ncbi.nlm.nih.gov/pmc/blobs/bff8/5515673/f8746d64f149/SDTYAE-000004-054303_1-g008.jpg
https://cdn.ncbi.nlm.nih.gov/pmc/blobs/bff8/5515673/d9512b44cb6a/SDTYAE-000004-054303_1-g009.jpg
https://cdn.ncbi.nlm.nih.gov/pmc/blobs/bff8/5515673/a9d737c32775/SDTYAE-000004-054303_1-g010.jpg
https://cdn.ncbi.nlm.nih.gov/pmc/blobs/bff8/5515673/3d6ede455cef/SDTYAE-000004-054303_1-g001.jpg
https://cdn.ncbi.nlm.nih.gov/pmc/blobs/bff8/5515673/ef13e1adaa3e/SDTYAE-000004-054303_1-g002.jpg
https://cdn.ncbi.nlm.nih.gov/pmc/blobs/bff8/5515673/e288995d1c06/SDTYAE-000004-054303_1-g003.jpg
https://cdn.ncbi.nlm.nih.gov/pmc/blobs/bff8/5515673/28d73b4c5a41/SDTYAE-000004-054303_1-g004.jpg
https://cdn.ncbi.nlm.nih.gov/pmc/blobs/bff8/5515673/0341338ea26e/SDTYAE-000004-054303_1-g005.jpg
https://cdn.ncbi.nlm.nih.gov/pmc/blobs/bff8/5515673/3f2214d11a5f/SDTYAE-000004-054303_1-g006.jpg
https://cdn.ncbi.nlm.nih.gov/pmc/blobs/bff8/5515673/f0542eb8f18b/SDTYAE-000004-054303_1-g007.jpg
https://cdn.ncbi.nlm.nih.gov/pmc/blobs/bff8/5515673/f8746d64f149/SDTYAE-000004-054303_1-g008.jpg
https://cdn.ncbi.nlm.nih.gov/pmc/blobs/bff8/5515673/d9512b44cb6a/SDTYAE-000004-054303_1-g009.jpg
https://cdn.ncbi.nlm.nih.gov/pmc/blobs/bff8/5515673/a9d737c32775/SDTYAE-000004-054303_1-g010.jpg

相似文献

1
Influence of cathode geometry on electron dynamics in an ultrafast electron microscope.阴极几何形状对超快电子显微镜中电子动力学的影响。
Struct Dyn. 2017 Jul 17;4(5):054303. doi: 10.1063/1.4994004. eCollection 2017 Sep.
2
Electron beam dynamics in an ultrafast transmission electron microscope with Wehnelt electrode.具有韦内尔特电极的超快透射电子显微镜中的电子束动力学
Ultramicroscopy. 2016 Dec;171:8-18. doi: 10.1016/j.ultramic.2016.08.014. Epub 2016 Aug 20.
3
Delineation of the impact on temporal behaviors of off-axis photoemission in an ultrafast electron microscope.超快电子显微镜中非轴向光发射对时间行为影响的描绘。
Rev Sci Instrum. 2024 Sep 1;95(9). doi: 10.1063/5.0222993.
4
4D electron microscopy: principles and applications.4D 电子显微镜:原理与应用。
Acc Chem Res. 2012 Oct 16;45(10):1828-39. doi: 10.1021/ar3001684. Epub 2012 Sep 11.
5
Single-photoelectron collection efficiency in 4D ultrafast electron microscopy.4D超快电子显微镜中的单光电子收集效率
Phys Chem Chem Phys. 2022 Jun 8;24(22):14044-14054. doi: 10.1039/d2cp01250b.
6
Imaging and electron energy-loss spectroscopy using single nanosecond electron pulses.使用单纳秒电子脉冲的成像和电子能量损失谱学。
Ultramicroscopy. 2018 May;188:41-47. doi: 10.1016/j.ultramic.2018.03.006. Epub 2018 Mar 13.
7
Toward Å-fs-meV resolution in electron microscopy: systematic simulation of the temporal spread of single-electron packets.迈向电子显微镜中的埃-飞秒-毫电子伏特分辨率:单电子包时间扩散的系统模拟
Phys Chem Chem Phys. 2021 Oct 27;23(41):23544-23553. doi: 10.1039/d1cp03518e.
8
A novel electron gun for inline MRI-linac configurations.一种用于在线磁共振引导直线加速器配置的新型电子枪。
Med Phys. 2014 Feb;41(2):022301. doi: 10.1118/1.4860660.
9
Communication: Effects of thermionic-gun parameters on operating modes in ultrafast electron microscopy.通信:热离子枪参数对超高速电子显微镜工作模式的影响。
Struct Dyn. 2015 Sep 2;2(5):051101. doi: 10.1063/1.4930174. eCollection 2015 Sep.
10
Toward monochromated sub-nanometer UEM and femtosecond UED.迈向单色化亚纳米能量过滤显微镜和飞秒电子能量损失谱。
Sci Rep. 2020 Sep 30;10(1):16171. doi: 10.1038/s41598-020-73168-z.

引用本文的文献

1
Influence of Photoemission Geometry on Timing and Efficiency in 4D Ultrafast Electron Microscopy.光发射几何结构对四维超快电子显微镜中时间和效率的影响
Chemphyschem. 2025 Mar 3;26(5):e202401032. doi: 10.1002/cphc.202401032. Epub 2025 Jan 28.
2
Spatiotemporal determination of photoinduced strain in a Weyl semimetal.外尔半金属中光致应变的时空测定
Struct Dyn. 2024 Sep 30;11(5):054301. doi: 10.1063/4.0000263. eCollection 2024 Sep.
3
Spatial-temporal characterization of photoemission in a streak-mode dynamic transmission electron microscope.

本文引用的文献

1
Shaped cathodes for the production of ultra-short multi-electron pulses.用于产生超短多电子脉冲的成形阴极。
Struct Dyn. 2017 Jan 25;4(4):044005. doi: 10.1063/1.4974779. eCollection 2017 Jul.
2
Imaging Intra- and Interparticle Acousto-plasmonic Vibrational Dynamics with Ultrafast Electron Microscopy.利用超快电子显微镜成像颗粒内和颗粒间的声等离子体振动动力学。
Nano Lett. 2016 Nov 9;16(11):7302-7308. doi: 10.1021/acs.nanolett.6b03975. Epub 2016 Oct 31.
3
Imaging and controlling plasmonic interference fields at buried interfaces.
条纹模式动态透射电子显微镜中光发射的时空特性
Struct Dyn. 2024 Feb 23;11(1):014303. doi: 10.1063/4.0000219. eCollection 2024 Jan.
4
Nonequilibrium Phonon Dynamics and Its Impact on the Thermal Conductivity of the Benchmark Thermoelectric Material SnSe.非平衡声子动力学及其对基准热电材料SnSe热导率的影响。
ACS Nano. 2023 Nov 14;17(21):21006-21017. doi: 10.1021/acsnano.3c03827. Epub 2023 Oct 20.
5
Time-resolved transmission electron microscopy for nanoscale chemical dynamics.用于纳米尺度化学动力学的时间分辨透射电子显微镜。
Nat Rev Chem. 2023 Apr;7(4):256-272. doi: 10.1038/s41570-023-00469-y. Epub 2023 Feb 22.
6
Femtosecond-resolved imaging of a single-particle phase transition in energy-filtered ultrafast electron microscopy.飞秒分辨能量过滤超快电子显微镜中单粒子相变的成像。
Sci Adv. 2023 Jan 27;9(4):eadd5375. doi: 10.1126/sciadv.add5375.
7
Influence of strain on an ultrafast phase transition.应变对超快相变的影响。
Nanoscale. 2022 Dec 22;15(1):304-312. doi: 10.1039/d2nr03395j.
8
Manipulation of Stacking Order in -WTe by Ultrafast Optical Excitation.通过超快光学激发对-WTe中堆叠顺序的操控。
ACS Nano. 2021 May 25;15(5):8826-8835. doi: 10.1021/acsnano.1c01301. Epub 2021 Apr 29.
9
Field Emission Air-Channel Devices as a Voltage Adder.作为电压加法器的场发射空气通道器件。
Nanomaterials (Basel). 2020 Nov 29;10(12):2378. doi: 10.3390/nano10122378.
10
Characterization of a time-resolved electron microscope with a Schottky field emission gun.具有肖特基场发射枪的时间分辨电子显微镜的表征
Struct Dyn. 2020 Oct 1;7(5):054304. doi: 10.1063/4.0000034. eCollection 2020 Sep.
在埋入界面处对等离子体干涉场进行成像和控制。
Nat Commun. 2016 Oct 11;7:13156. doi: 10.1038/ncomms13156.
4
Electron beam dynamics in an ultrafast transmission electron microscope with Wehnelt electrode.具有韦内尔特电极的超快透射电子显微镜中的电子束动力学
Ultramicroscopy. 2016 Dec;171:8-18. doi: 10.1016/j.ultramic.2016.08.014. Epub 2016 Aug 20.
5
Ultrafast structural and electronic dynamics of the metallic phase in a layered manganite.层状锰氧化物中金属相的超快结构和电子动力学。
Struct Dyn. 2013 Dec 2;1(1):014501. doi: 10.1063/1.4835116. eCollection 2014 Jan.
6
Communication: Effects of thermionic-gun parameters on operating modes in ultrafast electron microscopy.通信:热离子枪参数对超高速电子显微镜工作模式的影响。
Struct Dyn. 2015 Sep 2;2(5):051101. doi: 10.1063/1.4930174. eCollection 2015 Sep.
7
On the dynamical nature of the active center in a single-site photocatalyst visualized by 4D ultrafast electron microscopy.通过4D超快电子显微镜观察单中心光催化剂中活性中心的动力学性质。
Proc Natl Acad Sci U S A. 2016 Jan 19;113(3):503-8. doi: 10.1073/pnas.1522869113. Epub 2016 Jan 4.
8
Ultrafast dynamics. Four-dimensional imaging of carrier interface dynamics in p-n junctions.超快动力学。p-n 结载流子界面动力学的四维成像。
Science. 2015 Jan 9;347(6218):164-7. doi: 10.1126/science.aaa0217.
9
Characterization of fast photoelectron packets in weak and strong laser fields in ultrafast electron microscopy.超快电子显微镜中弱激光场和强激光场下快速光电子包的表征
Ultramicroscopy. 2014 Nov;146:97-102. doi: 10.1016/j.ultramic.2014.08.001. Epub 2014 Aug 10.
10
Practical methods for the measurement of spatial coherence--a comparative study.实用的空间相干性测量方法——比较研究。
Ultramicroscopy. 2011 Jul;111(8):1437-46. doi: 10.1016/j.ultramic.2011.05.011. Epub 2011 Jun 17.