Suppr超能文献

接受口头外部焦点和视频指导后,运动技术的转移。

Transfer of improved movement technique after receiving verbal external focus and video instruction.

机构信息

Center for Human Movement Science, University Medical Center Groningen, University of Groningen, Antonius Deusinglaan 1, 9713 AV, Groningen, The Netherlands.

School of Sport Studies, Hanze University Groningen, Zernikeplein 17, 9747 AS, Groningen, The Netherlands.

出版信息

Knee Surg Sports Traumatol Arthrosc. 2018 Mar;26(3):955-962. doi: 10.1007/s00167-017-4671-y. Epub 2017 Aug 10.

Abstract

PURPOSE

It is unknown how movement patterns that are learned carry over to the field. The objective was to determine whether training during a jump-landing task would transfer to lower extremity kinematics and kinetics during sidestep cutting.

METHODS

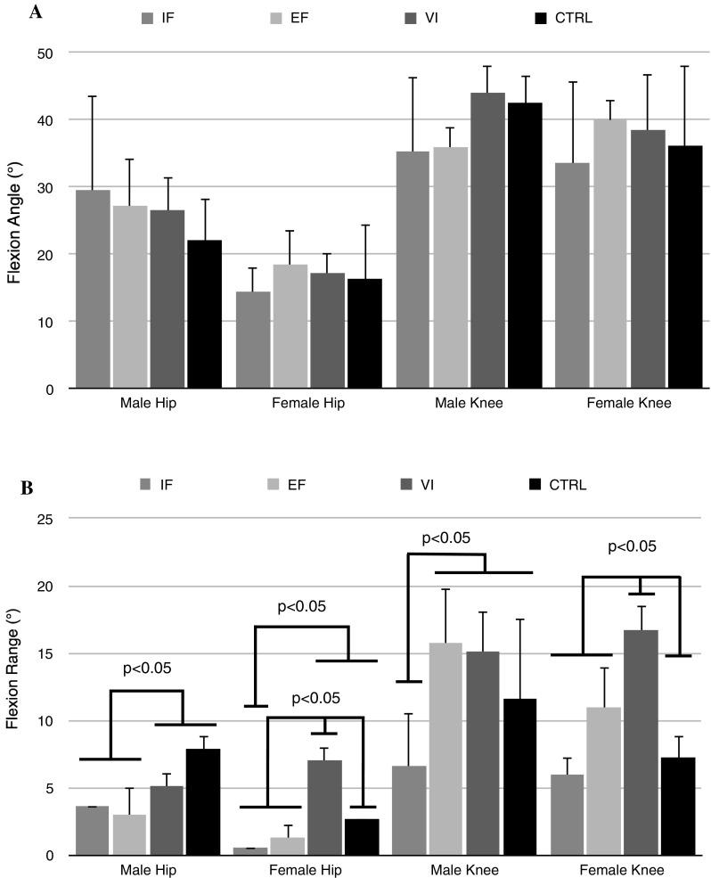
Forty healthy athletes were assigned to the verbal internal focus (IF, n = 10), verbal external focus (EF, n = 10), video (VI, n = 10) or control (CTRL, n = 10) group. A jump-landing task was performed as baseline followed by training blocks (TR1 and TR2) and a post-test. Group-specific instructions were given in TR1 and TR2. In addition, participants in the IF, EF and VI groups were free to ask for feedback after every jump during TR1 and TR2. Retention was tested after 1 week. Transfer of learned skill was determined by having participants perform a 45° unanticipated sidestep cutting task. 3D hip, knee and ankle kinematics and kinetics were the main outcome measures.

RESULTS

During sidestep cutting, the VI group showed greater hip flexion ROM compared to the EF and IF groups (p < 0.001). The EF (p < 0.036) and VI (p < 0.004) groups had greater knee flexion ROM compared to the IF group.

CONCLUSIONS

Improved jump-landing technique carried over to sidestep cutting when stimulating an external attentional focus combined with self-controlled feedback. Transfer to more sport-specific skills may demonstrate potential to reduce injuries on the field. Clinicians and practitioners are encouraged to apply instructions that stimulate an external focus of attention, of which visual instructions seem to be very powerful.

LEVEL OF EVIDENCE

II.

摘要

目的

目前尚不清楚习得的运动模式如何转移到实际应用中。本研究旨在确定在跳跃落地任务中进行训练是否会转移到侧向跨步切割时下肢的运动学和动力学。

方法

40 名健康运动员被分为口头内部焦点(IF,n=10)、口头外部焦点(EF,n=10)、视频(VI,n=10)或对照组(CTRL,n=10)。首先进行跳跃落地任务作为基线,然后进行训练块(TR1 和 TR2)和后测。在 TR1 和 TR2 中,根据各组的特点给予特定的指导。此外,IF、EF 和 VI 组的参与者在 TR1 和 TR2 中的每次跳跃后都可以自由要求反馈。在 1 周后进行保留测试。通过让参与者执行 45°非预期的侧向跨步切割任务来确定所学技能的转移情况。主要的观察指标为 3D 髋关节、膝关节和踝关节运动学和动力学。

结果

在侧向跨步切割过程中,VI 组的髋关节屈曲 ROM 明显大于 EF 和 IF 组(p<0.001)。EF 组(p<0.036)和 VI 组(p<0.004)的膝关节屈曲 ROM 明显大于 IF 组。

结论

当刺激外部注意焦点并结合自我控制反馈时,改进的跳跃落地技术可以转移到侧向跨步切割中。转移到更具运动特异性的技能可能有潜力减少运动场上的损伤。鼓励临床医生和从业者应用刺激外部注意焦点的指导,其中视觉指导似乎非常有效。

证据等级

II 级。

https://cdn.ncbi.nlm.nih.gov/pmc/blobs/4b0b/5847206/730bbfea5a29/167_2017_4671_Fig1_HTML.jpg

文献AI研究员

20分钟写一篇综述,助力文献阅读效率提升50倍。

立即体验

用中文搜PubMed

大模型驱动的PubMed中文搜索引擎

马上搜索

文档翻译

学术文献翻译模型,支持多种主流文档格式。

立即体验