Suppr超能文献

碱性胁迫下的根系损伤与水稻(L.)中活性氧的积累有关。

Root Damage under Alkaline Stress Is Associated with Reactive Oxygen Species Accumulation in Rice ( L.).

作者信息

Zhang Hui, Liu Xiao-Long, Zhang Rui-Xue, Yuan Hai-Yan, Wang Ming-Ming, Yang Hao-Yu, Ma Hong-Yuan, Liu Duo, Jiang Chang-Jie, Liang Zheng-Wei

机构信息

Northeast Institute of Geography and Agroecology, Chinese Academy of SciencesChangchun, China.

Da'an Sodic Land Experiment Station, Chinese Academy of Sciences, Da'anJilin, China.

出版信息

Front Plant Sci. 2017 Sep 8;8:1580. doi: 10.3389/fpls.2017.01580. eCollection 2017.

Abstract

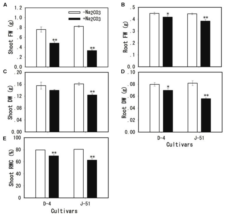
Alkaline stress (high pH) severely damages root cells, and consequently, inhibits rice ( L.) seedling growth. In this study, we demonstrate the accumulation of reactive oxygen species (ROS) in root cells under alkaline stress. Seedlings of two rice cultivars with different alkaline tolerances, 'Dongdao-4' (moderately alkaline-tolerant) and 'Jiudao-51' (alkaline-sensitive), were subjected to alkaline stress simulated by 15 mM sodium carbonate (NaCO). Alkaline stress greatly reduced seedling survival rate, shoot and root growth, and root vigor. Moreover, severe root cell damage was observed under alkaline stress, as shown by increased membrane injury, malondialdehyde accumulation, and Evan's Blue staining. The expression of the cell death-related genes , , , and was consistently upregulated, while that of a cell death-suppressor gene, , was downregulated. Analysis of the ROS contents revealed that alkaline stress induced a marked accumulation of superoxide anions ([Formula: see text]) and hydrogen peroxide (HO) in rice roots. The application of procyanidins (a potent antioxidant) to rice seedlings 24 h prior to alkaline treatment significantly alleviated alkalinity-induced root damage and promoted seedling growth inhibition, which were concomitant with reduced ROS accumulation. These results suggest that root cell damage, and consequently growth inhibition, of rice seedlings under alkaline stress is closely associated with ROS accumulation. The antioxidant activity of superoxide dismutase, catalase, peroxidase, and ascorbate peroxidase increased under alkaline stress in the roots, probably in response to the cellular damage induced by oxidative stress. However, this response mechanism may be overwhelmed by the excess ROS accumulation observed under stress, resulting in oxidative damage to root cells. Our findings provide physiological insights into the molecular mechanisms of alkalinity-induced damage to root cells, and will contribute to the improvement of alkaline stress tolerance in rice plants.

摘要

碱性胁迫(高pH值)会严重损害根细胞,进而抑制水稻幼苗生长。在本研究中,我们证明了碱性胁迫下根细胞中活性氧(ROS)的积累。用15 mM碳酸钠(Na₂CO₃)模拟碱性胁迫,对两个耐碱性不同的水稻品种“东稻4号”(中度耐碱)和“九稻51号”(碱敏感)的幼苗进行处理。碱性胁迫显著降低了幼苗成活率、地上部和根部生长以及根系活力。此外,碱性胁迫下观察到严重的根细胞损伤,表现为膜损伤增加、丙二醛积累和伊文思蓝染色。细胞死亡相关基因、、、的表达持续上调,而细胞死亡抑制基因的表达下调。ROS含量分析表明,碱性胁迫诱导水稻根中超氧阴离子([公式:见正文])和过氧化氢(H₂O₂)显著积累。在碱性处理前24小时对水稻幼苗施用原花青素(一种有效的抗氧化剂),可显著减轻碱诱导的根损伤并促进幼苗生长抑制,这与ROS积累减少相关。这些结果表明,碱性胁迫下水稻幼苗的根细胞损伤及生长抑制与ROS积累密切相关。碱性胁迫下,根中超氧化物歧化酶、过氧化氢酶、过氧化物酶和抗坏血酸过氧化物酶的抗氧化活性增加,可能是对氧化应激诱导的细胞损伤做出的反应。然而,这种反应机制可能被胁迫下观察到的过量ROS积累所压倒,导致根细胞氧化损伤。我们的研究结果为碱性胁迫诱导根细胞损伤的分子机制提供了生理学见解,并将有助于提高水稻植株的耐碱性。

https://cdn.ncbi.nlm.nih.gov/pmc/blobs/f641/5596797/a650b66d5fcd/fpls-08-01580-g001.jpg

文献AI研究员

20分钟写一篇综述,助力文献阅读效率提升50倍。

立即体验

用中文搜PubMed

大模型驱动的PubMed中文搜索引擎

马上搜索

文档翻译

学术文献翻译模型,支持多种主流文档格式。

立即体验