• 文献检索
  • 文档翻译
  • 深度研究
  • 学术资讯
  • Suppr Zotero 插件Zotero 插件
  • 邀请有礼
  • 套餐&价格
  • 历史记录
应用&插件
Suppr Zotero 插件Zotero 插件浏览器插件Mac 客户端Windows 客户端微信小程序
定价
高级版会员购买积分包购买API积分包
服务
文献检索文档翻译深度研究API 文档MCP 服务
关于我们
关于 Suppr公司介绍联系我们用户协议隐私条款
关注我们

Suppr 超能文献

核心技术专利:CN118964589B侵权必究
粤ICP备2023148730 号-1Suppr @ 2026

文献检索

告别复杂PubMed语法,用中文像聊天一样搜索,搜遍4000万医学文献。AI智能推荐,让科研检索更轻松。

立即免费搜索

文件翻译

保留排版,准确专业,支持PDF/Word/PPT等文件格式,支持 12+语言互译。

免费翻译文档

深度研究

AI帮你快速写综述,25分钟生成高质量综述,智能提取关键信息,辅助科研写作。

立即免费体验

中东呼吸综合征冠状病毒在医院感染暴发中的高繁殖数:沙特阿拉伯和韩国的数学建模。

High reproduction number of Middle East respiratory syndrome coronavirus in nosocomial outbreaks: mathematical modelling in Saudi Arabia and South Korea.

机构信息

Department of Preventive Medicine, Hanyang University Medical College, Seoul, South Korea; Department of Cancer Control and Population Health, Graduate School of Cancer Science and Policy, National Cancer Centre, Goyang, South Korea.

Department of Mathematics, Konkuk University, Seoul, South Korea.

出版信息

J Hosp Infect. 2018 Jun;99(2):162-168. doi: 10.1016/j.jhin.2017.09.017. Epub 2017 Sep 25.

DOI:10.1016/j.jhin.2017.09.017
PMID:28958834
原文链接:https://pmc.ncbi.nlm.nih.gov/articles/PMC7114943/
Abstract

BACKGROUND

Effective countermeasures against emerging infectious diseases require an understanding of transmission rate and basic reproduction number (R). R for severe acute respiratory syndrome is generally considered to be >1, whereas that for Middle East respiratory syndrome (MERS) is considered to be <1. However, this does not explain the large-scale outbreaks of MERS that occurred in Kingdom of Saudi Arabia (KSA) and South Korean hospitals.

AIM

To estimate R in nosocomial outbreaks of MERS.

METHODS

R was estimated using the incidence decay with an exponential adjustment model. The KSA and Korean outbreaks were compared using a line listing of MERS cases compiled using publicly available sources. Serial intervals to estimate R were assumed to be six to eight days. Study parameters [R and countermeasures (d)] were estimated by fitting a model to the cumulative incidence epidemic curves using Matlab.

FINDINGS

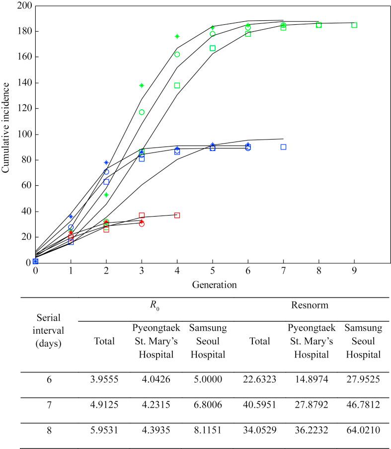
The estimated R in Korea was 3.9 in the best-fit model, with a serial interval of six days. The first outbreak cluster in a hospital in Pyeongtaek had an R of 4.04, and the largest outbreak cluster in a hospital in Samsung had an R of 5.0. Assuming a six-day serial interval, the KSA outbreaks in Jeddah and Riyadh had R values of 3.9 and 1.9, respectively.

CONCLUSION

R for the nosocomial MERS outbreaks in KSA and South Korea was estimated to be in the range of 2-5, which is significantly higher than the previous estimate of <1. Therefore, more comprehensive countermeasures are needed to address these infections.

摘要

背景

有效应对新发传染病需要了解传播率和基本繁殖数 (R)。严重急性呼吸综合征 (SARS) 的 R 一般被认为大于 1,而中东呼吸综合征 (MERS) 的 R 则被认为小于 1。然而,这并不能解释在沙特阿拉伯王国 (KSA) 和韩国医院发生的大规模 MERS 爆发。

目的

估计 MERS 医院感染暴发的 R。

方法

使用指数调整模型的发病率衰减来估计 R。使用从公开来源汇编的 MERS 病例清单对 KSA 和韩国的暴发进行比较。假设 R 的间隔时间为六到八天。使用 Matlab 拟合累积发病率流行曲线,估计研究参数 [R 和对策 (d)]。

发现

在最佳拟合模型中,韩国的估计 R 为 3.9,间隔时间为六天。平泽一家医院的第一个暴发集群的 R 值为 4.04,三星一家医院的最大暴发集群的 R 值为 5.0。假设间隔时间为六天,吉达和利雅得的 KSA 暴发的 R 值分别为 3.9 和 1.9。

结论

沙特阿拉伯和韩国医院内发生的 MERS 感染暴发的 R 值估计在 2-5 之间,明显高于先前估计的 <1。因此,需要采取更全面的对策来应对这些感染。

https://cdn.ncbi.nlm.nih.gov/pmc/blobs/7718/7114943/778526bf16d2/gr3_lrg.jpg
https://cdn.ncbi.nlm.nih.gov/pmc/blobs/7718/7114943/d3e18ff23099/gr1_lrg.jpg
https://cdn.ncbi.nlm.nih.gov/pmc/blobs/7718/7114943/f735f7cdf521/gr2_lrg.jpg
https://cdn.ncbi.nlm.nih.gov/pmc/blobs/7718/7114943/778526bf16d2/gr3_lrg.jpg
https://cdn.ncbi.nlm.nih.gov/pmc/blobs/7718/7114943/d3e18ff23099/gr1_lrg.jpg
https://cdn.ncbi.nlm.nih.gov/pmc/blobs/7718/7114943/f735f7cdf521/gr2_lrg.jpg
https://cdn.ncbi.nlm.nih.gov/pmc/blobs/7718/7114943/778526bf16d2/gr3_lrg.jpg

相似文献

1
High reproduction number of Middle East respiratory syndrome coronavirus in nosocomial outbreaks: mathematical modelling in Saudi Arabia and South Korea.中东呼吸综合征冠状病毒在医院感染暴发中的高繁殖数:沙特阿拉伯和韩国的数学建模。
J Hosp Infect. 2018 Jun;99(2):162-168. doi: 10.1016/j.jhin.2017.09.017. Epub 2017 Sep 25.
2
Comparative epidemiology of Middle East respiratory syndrome coronavirus (MERS-CoV) in Saudi Arabia and South Korea.沙特阿拉伯和韩国中东呼吸综合征冠状病毒(MERS-CoV)的比较流行病学
Emerg Microbes Infect. 2017 Jun 7;6(6):e51. doi: 10.1038/emi.2017.40.
3
Transmission characteristics of MERS and SARS in the healthcare setting: a comparative study.中东呼吸综合征和严重急性呼吸综合征在医疗机构中的传播特征:一项比较研究。
BMC Med. 2015 Sep 3;13:210. doi: 10.1186/s12916-015-0450-0.
4
Estimating and modelling the transmissibility of Middle East Respiratory Syndrome CoronaVirus during the 2015 outbreak in the Republic of Korea.估计和建模中东呼吸综合征冠状病毒在 2015 年韩国疫情爆发期间的传播能力。
Influenza Other Respir Viruses. 2017 Sep;11(5):434-444. doi: 10.1111/irv.12467. Epub 2017 Aug 17.
5
Estimation of basic reproduction number of the Middle East respiratory syndrome coronavirus (MERS-CoV) during the outbreak in South Korea, 2015.2015年韩国中东呼吸综合征冠状病毒(MERS-CoV)疫情期间基本再生数的估计
Biomed Eng Online. 2017 Jun 13;16(1):79. doi: 10.1186/s12938-017-0370-7.
6
Middle East respiratory syndrome coronavirus (MERS-CoV) outbreak in South Korea, 2015: epidemiology, characteristics and public health implications.2015年韩国中东呼吸综合征冠状病毒(MERS-CoV)疫情:流行病学、特征及对公共卫生的影响
J Hosp Infect. 2017 Feb;95(2):207-213. doi: 10.1016/j.jhin.2016.10.008. Epub 2016 Oct 14.
7
Variations in Spike Glycoprotein Gene of MERS-CoV, South Korea, 2015.2015年韩国中东呼吸综合征冠状病毒刺突糖蛋白基因变异情况
Emerg Infect Dis. 2016 Jan;22(1):100-4. doi: 10.3201/eid2201.151055.
8
Active screening and surveillance in the United Kingdom for Middle East respiratory syndrome coronavirus in returning travellers and pilgrims from the Middle East: a prospective descriptive study for the period 2013-2015.英国对从中东返回的旅行者和朝圣者进行中东呼吸综合征冠状病毒主动筛查和监测:2013 - 2015年期间的一项前瞻性描述性研究
Int J Infect Dis. 2016 Jun;47:10-4. doi: 10.1016/j.ijid.2016.04.016. Epub 2016 Apr 23.
9
A Comparative Analysis of Factors Influencing Two Outbreaks of Middle Eastern Respiratory Syndrome (MERS) in Saudi Arabia and South Korea.中東呼吸綜合症(MERS)在沙烏地阿拉伯和韓國爆發的兩次疫情的影響因素比較分析。
Viruses. 2019 Dec 3;11(12):1119. doi: 10.3390/v11121119.
10
Middle East respiratory syndrome coronavirus: risk factors and determinants of primary, household, and nosocomial transmission.中东呼吸综合征冠状病毒:原发性、家庭和医院传播的风险因素和决定因素。
Lancet Infect Dis. 2018 Aug;18(8):e217-e227. doi: 10.1016/S1473-3099(18)30127-0. Epub 2018 Apr 18.

引用本文的文献

1
The Impact of COVID-19 on Infection Control Measures in Dental Settings: A Cross-Sectional Study.2019年冠状病毒病对牙科环境中感染控制措施的影响:一项横断面研究。
Int J Environ Res Public Health. 2023 Aug 4;20(15):6517. doi: 10.3390/ijerph20156517.
2
Middle East Respiratory Syndrome Coronavirus (MERS-CoV) is Not Circulating Among Hajj Pilgrims.中东呼吸综合征冠状病毒(MERS-CoV)并未在朝觐者中传播。
J Epidemiol Glob Health. 2023 Sep;13(3):387-390. doi: 10.1007/s44197-023-00128-x.
3
A comparative analysis of epidemiological characteristics of MERS-CoV and SARS-CoV-2 in Saudi Arabia.

本文引用的文献

1
Risk factors for transmission of Middle East respiratory syndrome coronavirus infection during the 2015 outbreak in South Korea.2015年韩国中东呼吸综合征冠状病毒感染疫情期间的传播风险因素。
Clin Infect Dis. 2017 Mar 1;64(5):551-557. doi: 10.1093/cid/ciw768. Epub 2016 Dec 10.
2
A dynamic compartmental model for the Middle East respiratory syndrome outbreak in the Republic of Korea: A retrospective analysis on control interventions and superspreading events.韩国中东呼吸综合征疫情的动态分区模型:对控制干预措施和超级传播事件的回顾性分析
J Theor Biol. 2016 Nov 7;408:118-126. doi: 10.1016/j.jtbi.2016.08.009. Epub 2016 Aug 10.
3
沙特阿拉伯中东呼吸综合征冠状病毒(MERS-CoV)与严重急性呼吸综合征冠状病毒2(SARS-CoV-2)流行病学特征的比较分析
Infect Dis Model. 2022 Sep;7(3):473-485. doi: 10.1016/j.idm.2022.07.002. Epub 2022 Aug 2.
4
Myocardial Injury in COVID-19 and Its Implications in Short- and Long-Term Outcomes.2019冠状病毒病中的心肌损伤及其对短期和长期预后的影响
Front Cardiovasc Med. 2022 May 26;9:901245. doi: 10.3389/fcvm.2022.901245. eCollection 2022.
5
A review on COVID-19 transmission, epidemiological features, prevention and vaccination.关于新冠病毒传播、流行病学特征、预防及疫苗接种的综述
Med Rev (2021). 2022 Mar 2;2(1):23-49. doi: 10.1515/mr-2021-0023. eCollection 2022 Feb 1.
6
A hospital cluster of COVID-19 associated with a SARS-CoV-2 superspreading event.与 SARS-CoV-2 超级传播事件相关的 COVID-19 医院集群。
J Microbiol Immunol Infect. 2022 Jun;55(3):436-444. doi: 10.1016/j.jmii.2021.07.006. Epub 2021 Jul 21.
7
The risk of coronavirus to healthcare providers during aerosol-generating procedures: A systematic review and meta-analysis.在产生气溶胶的操作过程中,医护人员感染冠状病毒的风险:一项系统评价和荟萃分析。
Ann Thorac Med. 2021 Apr-Jun;16(2):165-171. doi: 10.4103/atm.ATM_497_20. Epub 2021 Apr 17.
8
SARS-CoV-2 routes of transmission and recommendations for preventing acquisition: joint British Infection Association (BIA), Healthcare Infection Society (HIS), Infection Prevention Society (IPS) and Royal College of Pathologists (RCPath) guidance.严重急性呼吸综合征冠状病毒2型(SARS-CoV-2)传播途径及预防感染建议:英国感染协会(BIA)、医疗保健感染学会(HIS)、感染预防学会(IPS)和皇家病理学家学院(RCPath)联合指南
J Hosp Infect. 2021 Aug;114:79-103. doi: 10.1016/j.jhin.2021.04.027. Epub 2021 May 1.
9
Science's Response to CoVID-19.科学应对新冠病毒。
ChemMedChem. 2021 Aug 5;16(15):2288-2314. doi: 10.1002/cmdc.202100079. Epub 2021 Jun 22.
10
Predictive analysis of COVID-19 eradication with vaccination in India, Brazil, and U.S.A.印度、巴西和美国通过接种疫苗消灭 COVID-19 的预测分析
Infect Genet Evol. 2021 Aug;92:104834. doi: 10.1016/j.meegid.2021.104834. Epub 2021 Mar 31.
Mathematical models to characterize early epidemic growth: A review.
用于描述早期疫情增长的数学模型:综述
Phys Life Rev. 2016 Sep;18:66-97. doi: 10.1016/j.plrev.2016.07.005. Epub 2016 Jul 11.
4
MERS-CoV outbreak following a single patient exposure in an emergency room in South Korea: an epidemiological outbreak study.韩国一家急诊室因一名患者暴露引发中东呼吸综合征冠状病毒(MERS-CoV)疫情:一项流行病学疫情研究
Lancet. 2016 Sep 3;388(10048):994-1001. doi: 10.1016/S0140-6736(16)30623-7. Epub 2016 Jul 9.
5
Control of an Outbreak of Middle East Respiratory Syndrome in a Tertiary Hospital in Korea.韩国一家三级医院中东呼吸综合征疫情的控制。
Ann Intern Med. 2016 Jul 19;165(2):87-93. doi: 10.7326/M15-2495. Epub 2016 May 31.
6
Identifying determinants of heterogeneous transmission dynamics of the Middle East respiratory syndrome (MERS) outbreak in the Republic of Korea, 2015: a retrospective epidemiological analysis.确定2015年韩国中东呼吸综合征(MERS)疫情异质传播动态的决定因素:一项回顾性流行病学分析
BMJ Open. 2016 Feb 23;6(2):e009936. doi: 10.1136/bmjopen-2015-009936.
7
Epidemiologic features of the first MERS outbreak in Korea: focus on Pyeongtaek St. Mary's Hospital.韩国首例中东呼吸综合征疫情的流行病学特征:以平泽圣母医院为重点
Epidemiol Health. 2015 Sep 17;37:e2015041. doi: 10.4178/epih/e2015041. eCollection 2015.
8
2015 Middle East Respiratory Syndrome Coronavirus (MERS-CoV) nosocomial outbreak in South Korea: insights from modeling.2015年韩国中东呼吸综合征冠状病毒(MERS-CoV)医院内暴发:建模分析
PeerJ. 2015 Dec 17;3:e1505. doi: 10.7717/peerj.1505. eCollection 2015.
9
Mortality Risk Factors for Middle East Respiratory Syndrome Outbreak, South Korea, 2015.2015年韩国中东呼吸综合征疫情的死亡风险因素
Emerg Infect Dis. 2015 Nov;21(11):2088-90. doi: 10.3201/eid2111.151231.
10
2015 MERS outbreak in Korea: hospital-to-hospital transmission.2015年韩国中东呼吸综合征疫情:医院间传播。
Epidemiol Health. 2015 Jul 21;37:e2015033. doi: 10.4178/epih/e2015033. eCollection 2015.