Suppr超能文献

术前纤维蛋白原与白蛋白比值对乳腺癌的预后影响

Prognostic Influence of Preoperative Fibrinogen to Albumin Ratio for Breast Cancer.

作者信息

Hwang Ki-Tae, Chung Jung Kee, Roh Eun Youn, Kim Jongjin, Oh Sohee, Kim Young A, Rhu Jiyoung, Kim Suzy

机构信息

Department of Surgery, Seoul National University Boramae Medical Center, Seoul, Korea.

Department of Laboratory Medicine, Seoul National University Boramae Medical Center, Seoul, Korea.

出版信息

J Breast Cancer. 2017 Sep;20(3):254-263. doi: 10.4048/jbc.2017.20.3.254. Epub 2017 Sep 22.

Abstract

PURPOSE

Elevated serum concentration of fibrinogen and decreased serum concentration of albumin have been reported to be markers of elevated systemic inflammation. We attempted to investigate the prognostic influence of preoperative fibrinogen to albumin ratio (FAR) for breast cancer.

METHODS

Data from 793 consecutive primary breast cancer patients were retrospectively analyzed. Serum levels of fibrinogen and albumin were tested before curative surgery. Subjects were grouped into two groups according to the cutoff value determined by performing the receiver operating characteristic curve analysis: the high FAR group (FAR>7.1) and the low FAR group (FAR≤7.1). Overall survival was assessed using the Kaplan-Meier estimator. Independent prognostic significance was analyzed using the Cox proportional hazards model.

RESULTS

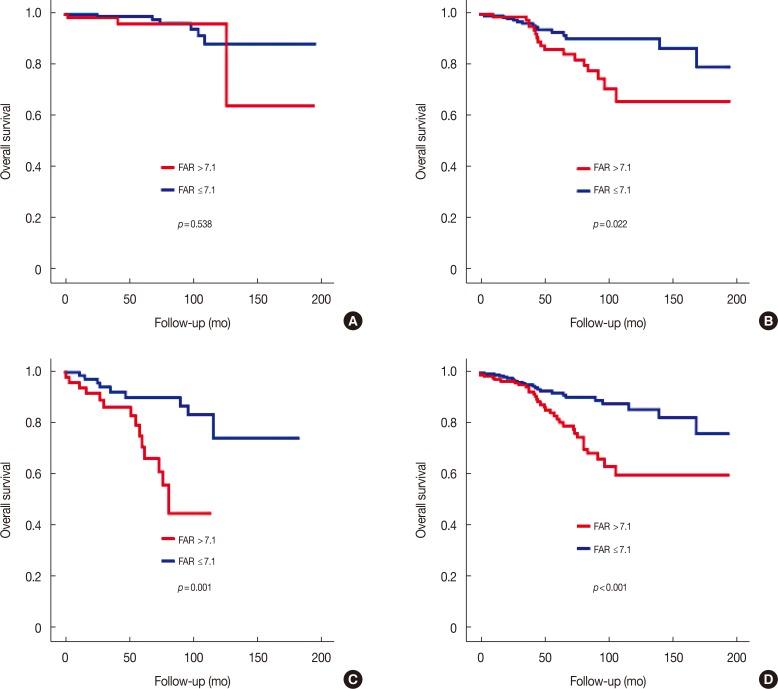
The high FAR group had a worse prognosis compared to the low FAR group (log-rank test, <0.001). The prognostic effect of FAR was more significant than that of single markers such as fibrinogen (log-rank test, =0.001) or albumin (log-rank test, =0.001). The prognostic effect of FAR was prominent in the stage II/III subgroup (log-rank test, <0.001) and luminal A-like subtype (log-rank test, <0.001). FAR was identified as a significant independent factor on both univariate (hazard ratio [HR], 2.722; 95% confidence interval [CI], 1.659-4.468; <0.001) and multivariate analysis (HR, 2.622; 95% CI, 1.455-4.724; =0.001).

CONCLUSION

Preoperative FAR was a strong independent prognostic factor in breast cancer. Its prognostic effect was more prominent in the stage II/III subgroup and in the luminal A-like subtype. Therefore, preoperative FAR can be utilized as a useful prognosticator for breast cancer patients. Further studies are needed to validate its applications in clinical settings.

摘要

目的

据报道,血清纤维蛋白原浓度升高和血清白蛋白浓度降低是全身炎症反应增强的标志物。我们试图研究术前纤维蛋白原与白蛋白比值(FAR)对乳腺癌的预后影响。

方法

回顾性分析793例连续性原发性乳腺癌患者的数据。在根治性手术前检测血清纤维蛋白原和白蛋白水平。根据通过绘制受试者工作特征曲线分析确定的临界值,将受试者分为两组:高FAR组(FAR>7.1)和低FAR组(FAR≤7.1)。采用Kaplan-Meier估计器评估总生存期。使用Cox比例风险模型分析独立预后意义。

结果

高FAR组的预后比低FAR组差(对数秩检验,<0.001)。FAR的预后效应比纤维蛋白原(对数秩检验,=0.001)或白蛋白(对数秩检验,=0.001)等单一标志物更显著。FAR的预后效应在II/III期亚组(对数秩检验,<0.001)和管腔A型亚型(对数秩检验,<0.001)中尤为突出。FAR在单因素分析(风险比[HR],2.722;95%置信区间[CI],1.659-4.468;<0.001)和多因素分析(HR,2.622;95%CI,1.455-4.724;=0.001)中均被确定为显著的独立因素。

结论

术前FAR是乳腺癌的一个强大的独立预后因素。其预后效应在II/III期亚组和管腔A型亚型中更为突出。因此,术前FAR可作为乳腺癌患者有用的预后指标。需要进一步研究以验证其在临床环境中的应用。

https://cdn.ncbi.nlm.nih.gov/pmc/blobs/c543/5620440/fc2c9ccba35a/jbc-20-254-g001.jpg

文献AI研究员

20分钟写一篇综述,助力文献阅读效率提升50倍。

立即体验

用中文搜PubMed

大模型驱动的PubMed中文搜索引擎

马上搜索

文档翻译

学术文献翻译模型,支持多种主流文档格式。

立即体验