• 文献检索
  • 文档翻译
  • 深度研究
  • 学术资讯
  • Suppr Zotero 插件Zotero 插件
  • 邀请有礼
  • 套餐&价格
  • 历史记录
应用&插件
Suppr Zotero 插件Zotero 插件浏览器插件Mac 客户端Windows 客户端微信小程序
定价
高级版会员购买积分包购买API积分包
服务
文献检索文档翻译深度研究API 文档MCP 服务
关于我们
关于 Suppr公司介绍联系我们用户协议隐私条款
关注我们

Suppr 超能文献

核心技术专利:CN118964589B侵权必究
粤ICP备2023148730 号-1Suppr @ 2026

文献检索

告别复杂PubMed语法,用中文像聊天一样搜索,搜遍4000万医学文献。AI智能推荐,让科研检索更轻松。

立即免费搜索

文件翻译

保留排版,准确专业,支持PDF/Word/PPT等文件格式,支持 12+语言互译。

免费翻译文档

深度研究

AI帮你快速写综述,25分钟生成高质量综述,智能提取关键信息,辅助科研写作。

立即免费体验

姜烯酮的生物医学应用综述及其从姜根茎中提取的技术。

A Review of the Biomedical Applications of Zerumbone and the Techniques for Its Extraction from Ginger Rhizomes.

机构信息

Department of Mechanical Engineering, Faculty of Engineering, University of Malaya, Kuala Lumpur 50603, Malaysia.

Centre of Advanced Materials (CAM), Faculty of Engineering, University of Malaya, Kuala Lumpur 50603, Malaysia.

出版信息

Molecules. 2017 Sep 30;22(10):1645. doi: 10.3390/molecules22101645.

DOI:10.3390/molecules22101645
PMID:28974019
原文链接:https://pmc.ncbi.nlm.nih.gov/articles/PMC6151537/
Abstract

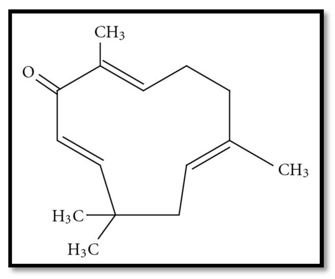
Zerumbone (ZER) is a phytochemical isolated from the subtropical Zingiberaceae family and as a natural compound it has different biomedical properties such as antioxidant, anti-inflammatory anti-proliferative activity. ZER also has effects on angiogenesis and acts as an antitumor drug in the treatment of cancer, showing selective toxicity toward various cancer cell lines. Several techniques also have been established for extraction of ZER from the rhizomes of ginger. This review paper is an overview of recent research about different extraction methods and their efficiencies, in vivo and vitro investigations of ZER and also its prominent chemopreventive properties and treatment mechanisms. Most of the studies mentioned in this review paper may be useful use as a knowledge summary to explain ZER extraction and anticancer activities, which will show a way for the development of strategies in the treatment of malignancies using ZER.

摘要

姜烯酮(ZER)是一种从亚热带姜科植物中分离出来的植物化学物质,作为一种天然化合物,它具有不同的生物医学特性,如抗氧化、抗炎、抗增殖活性。ZER 还对血管生成有影响,并在癌症治疗中作为一种抗肿瘤药物,对各种癌细胞系表现出选择性毒性。已经建立了几种从姜根茎中提取 ZER 的技术。这篇综述论文概述了最近关于不同提取方法及其效率的研究,ZER 的体内和体外研究,以及其突出的化学预防特性和治疗机制。本文中提到的大多数研究可能有助于作为知识总结来解释 ZER 的提取和抗癌活性,这将为使用 ZER 开发治疗恶性肿瘤的策略提供一种方法。

https://cdn.ncbi.nlm.nih.gov/pmc/blobs/5355/6151537/1db482339cbe/molecules-22-01645-g007.jpg
https://cdn.ncbi.nlm.nih.gov/pmc/blobs/5355/6151537/d0ab389254d7/molecules-22-01645-g001.jpg
https://cdn.ncbi.nlm.nih.gov/pmc/blobs/5355/6151537/7b0b8b2b8fe7/molecules-22-01645-g002.jpg
https://cdn.ncbi.nlm.nih.gov/pmc/blobs/5355/6151537/80f0698e2ed9/molecules-22-01645-g003.jpg
https://cdn.ncbi.nlm.nih.gov/pmc/blobs/5355/6151537/f08ad4cc538b/molecules-22-01645-g004.jpg
https://cdn.ncbi.nlm.nih.gov/pmc/blobs/5355/6151537/1556f81c9e71/molecules-22-01645-g005.jpg
https://cdn.ncbi.nlm.nih.gov/pmc/blobs/5355/6151537/e7820e0e0200/molecules-22-01645-g006.jpg
https://cdn.ncbi.nlm.nih.gov/pmc/blobs/5355/6151537/1db482339cbe/molecules-22-01645-g007.jpg
https://cdn.ncbi.nlm.nih.gov/pmc/blobs/5355/6151537/d0ab389254d7/molecules-22-01645-g001.jpg
https://cdn.ncbi.nlm.nih.gov/pmc/blobs/5355/6151537/7b0b8b2b8fe7/molecules-22-01645-g002.jpg
https://cdn.ncbi.nlm.nih.gov/pmc/blobs/5355/6151537/80f0698e2ed9/molecules-22-01645-g003.jpg
https://cdn.ncbi.nlm.nih.gov/pmc/blobs/5355/6151537/f08ad4cc538b/molecules-22-01645-g004.jpg
https://cdn.ncbi.nlm.nih.gov/pmc/blobs/5355/6151537/1556f81c9e71/molecules-22-01645-g005.jpg
https://cdn.ncbi.nlm.nih.gov/pmc/blobs/5355/6151537/e7820e0e0200/molecules-22-01645-g006.jpg
https://cdn.ncbi.nlm.nih.gov/pmc/blobs/5355/6151537/1db482339cbe/molecules-22-01645-g007.jpg

相似文献

1
A Review of the Biomedical Applications of Zerumbone and the Techniques for Its Extraction from Ginger Rhizomes.姜烯酮的生物医学应用综述及其从姜根茎中提取的技术。
Molecules. 2017 Sep 30;22(10):1645. doi: 10.3390/molecules22101645.
2
Potential chemoprevention of diethylnitrosamine-initiated and 2-acetylaminofluorene-promoted hepatocarcinogenesis by zerumbone from the rhizomes of the subtropical ginger (Zingiber zerumbet).姜科植物盾叶薯蓣根状茎中的冬凌草甲素对二乙基亚硝胺引发和 2-乙酰氨基芴促进的肝癌发生的化学预防作用。
Chem Biol Interact. 2010 Aug 5;186(3):295-305. doi: 10.1016/j.cbi.2010.04.029. Epub 2010 May 7.
3
Zerumbone, a Tropical Ginger Sesquiterpene of Roscoe, Attenuates α-MSH-Induced Melanogenesis in B16F10 Cells.姜黄烯,罗莎姜科的一种热带倍半萜,可减弱 α-MSH 诱导的 B16F10 细胞黑色素生成。
Int J Mol Sci. 2018 Oct 13;19(10):3149. doi: 10.3390/ijms19103149.
4
Update on the chemopreventive effects of ginger and its phytochemicals.姜及其植物化学物质的化学预防作用的最新进展。
Crit Rev Food Sci Nutr. 2011 Jul;51(6):499-523. doi: 10.1080/10408391003698669.
5
Biomedical properties of a natural dietary plant metabolite, zerumbone, in cancer therapy and chemoprevention trials.天然膳食植物代谢产物姜烯在癌症治疗和化学预防试验中的生物医学特性。
Biomed Res Int. 2014;2014:920742. doi: 10.1155/2014/920742. Epub 2014 Jun 16.
6
Optimization protocol for the extraction of 6-gingerol and 6-shogaol from Zingiber officinale var. rubrum Theilade and improving antioxidant and anticancer activity using response surface methodology.从红姜(Zingiber officinale var. rubrum Theilade)中提取6-姜酚和6-姜烯酚的优化方案以及使用响应面法提高其抗氧化和抗癌活性
BMC Complement Altern Med. 2015 Jul 30;15:258. doi: 10.1186/s12906-015-0718-0.
7
Zerumbone, a Phytochemical of Subtropical Ginger, Protects against Hyperglycemia-Induced Retinal Damage in Experimental Diabetic Rats.莪术酮,一种亚热带姜的植物化学成分,可保护实验性糖尿病大鼠免受高血糖诱导的视网膜损伤。
Nutrients. 2016 Jul 25;8(8):449. doi: 10.3390/nu8080449.
8
Zerumbone, a tropical ginger sesquiterpene, inhibits colon and lung carcinogenesis in mice.姜烯酮,一种热带姜倍半萜烯,可抑制小鼠的结肠癌和肺癌发生。
Int J Cancer. 2009 Jan 15;124(2):264-71. doi: 10.1002/ijc.23923.
9
Cytotoxic and Antiproliferative Effects of Diarylheptanoids Isolated from Rhizomes on Leukaemic Cells.二芳基庚烷类化合物对白血病细胞的细胞毒性和抗增殖作用。
Molecules. 2020 Nov 23;25(22):5476. doi: 10.3390/molecules25225476.
10
A comparative study of Zingiber officinale Roscoe pulp and peel: phytochemical composition and evaluation of antitumour activity.姜(Zingiber officinale Roscoe)果肉与果皮的比较研究:植物化学成分及抗肿瘤活性评价
Nat Prod Res. 2015;29(21):2045-9. doi: 10.1080/14786419.2015.1020491. Epub 2015 Mar 10.

引用本文的文献

1
New Directions in Urease Inhibitors: Focusing on Nickel Ions Transfer and Auxiliary Protein Interactions During Urease Maturation.脲酶抑制剂的新方向:聚焦于脲酶成熟过程中的镍离子转移和辅助蛋白相互作用
Infect Drug Resist. 2025 Jun 17;18:3037-3053. doi: 10.2147/IDR.S519194. eCollection 2025.
2
Comparative Evaluation of Cytotoxic and Apoptotic Effects of Natural Compounds in SH-SY5Y Neuroblastoma Cells in Relation to Their Physicochemical Properties.天然化合物对SH-SY5Y神经母细胞瘤细胞的细胞毒性和凋亡作用与其理化性质的比较评估
Molecules. 2025 Apr 13;30(8):1742. doi: 10.3390/molecules30081742.
3
Michael Acceptors as Anti-Cancer Compounds: Coincidence or Causality?

本文引用的文献

1
Exploring the immunomodulatory and anticancer properties of zerumbone.探索莪术二酮的免疫调节和抗癌特性。
Food Funct. 2017 Oct 18;8(10):3410-3431. doi: 10.1039/c7fo00595d.
2
Optimization of microwave-assisted extraction of zerumbone from L. rhizome and evaluation of antiproliferative activity of optimized extracts.从益智根茎中微波辅助提取莪术酮的工艺优化及优化提取物的抗增殖活性评价
Chem Cent J. 2017 Jan 5;11:5. doi: 10.1186/s13065-016-0235-3. eCollection 2017.
3
Gastroprotective activity of the rhizome ethanol extract of Zingiber simaoense Y. Y. Qian in rats.
迈克尔受体作为抗癌化合物:巧合还是必然?
Int J Mol Sci. 2024 Jun 1;25(11):6099. doi: 10.3390/ijms25116099.
4
Mechanisms of Sepsis-Induced Acute Lung Injury and Advancements of Natural Small Molecules in Its Treatment.脓毒症诱导的急性肺损伤机制及其治疗中天然小分子的研究进展
Pharmaceuticals (Basel). 2024 Apr 8;17(4):472. doi: 10.3390/ph17040472.
5
Anti-cancer potential of zerumbone in cancer and glioma: current trends and future perspectives.姜烯酮在癌症和神经胶质瘤中的抗癌潜力:当前趋势和未来展望。
Med Oncol. 2024 Apr 23;41(5):125. doi: 10.1007/s12032-024-02327-3.
6
Electrophilic Compounds in the Human Diet and Their Role in the Induction of the Transcription Factor NRF2.人类饮食中的亲电化合物及其在诱导转录因子 NRF2 中的作用。
Int J Mol Sci. 2024 Mar 20;25(6):3521. doi: 10.3390/ijms25063521.
7
Enhancement of Antioxidant Properties of the Medicinal Plant, Costus Pictus by Optimization of its Drying and Extraction Criteria.优化药用植物琴叶榕的干燥和提取条件以增强其抗氧化性能。
Plant Foods Hum Nutr. 2023 Sep;78(3):546-551. doi: 10.1007/s11130-023-01083-5. Epub 2023 Jul 28.
8
Zingiber zerumbet (L.) Roscoe ex Sm.: biotechnological advancements and perspectives.姜黄(Zingiber zerumbet (L.) Roscoe ex Sm.):生物技术的进步与展望。
Appl Microbiol Biotechnol. 2023 Sep;107(18):5613-5625. doi: 10.1007/s00253-023-12682-2. Epub 2023 Jul 22.
9
Zerumbone Disturbs the Extracellular Matrix of Fluconazole-Resistant Biofilms.姜烯酮扰乱氟康唑耐药生物膜的细胞外基质。
J Fungi (Basel). 2023 May 16;9(5):576. doi: 10.3390/jof9050576.
10
Interaction of TAGLN and USP1 promotes ZEB1 ubiquitination degradation in UV-induced skin photoaging.TAGLN与USP1的相互作用促进紫外线诱导的皮肤光老化中ZEB1的泛素化降解。
Cell Biosci. 2023 May 6;13(1):80. doi: 10.1186/s13578-023-01029-z.
思茅姜根茎乙醇提取物对大鼠的胃保护作用
J Ethnopharmacol. 2016 Dec 24;194:571-576. doi: 10.1016/j.jep.2016.10.049. Epub 2016 Oct 17.
4
Possible Contribution of Zerumbone-Induced Proteo-Stress to Its Anti-Inflammatory Functions via the Activation of Heat Shock Factor 1.姜酮诱导的蛋白质应激通过激活热休克因子1对其抗炎功能的潜在贡献。
PLoS One. 2016 Aug 18;11(8):e0161282. doi: 10.1371/journal.pone.0161282. eCollection 2016.
5
Zerumbone, a Sesquiterpene, Controls Proliferation and Induces Cell Cycle Arrest in Human Laryngeal Carcinoma Cell Line Hep-2.莪术二酮,一种倍半萜烯,可控制人喉癌细胞系Hep-2的增殖并诱导细胞周期停滞。
Nutr Cancer. 2016 Jul;68(5):865-72. doi: 10.1080/01635581.2016.1159701. Epub 2016 Apr 4.
6
Cancer prevention and therapy through the modulation of transcription factors by bioactive natural compounds.通过生物活性天然化合物对转录因子的调节进行癌症预防和治疗。
Semin Cancer Biol. 2016 Oct;40-41:35-47. doi: 10.1016/j.semcancer.2016.03.005. Epub 2016 Mar 30.
7
Oregano demonstrates distinct tumour-suppressive effects in the breast carcinoma model.牛至在乳腺癌模型中表现出明显的肿瘤抑制作用。
Eur J Nutr. 2017 Apr;56(3):1303-1316. doi: 10.1007/s00394-016-1181-5. Epub 2016 Feb 23.
8
Antinociceptive and Anti-Inflammatory Effects of Zerumbone against Mono-Iodoacetate-Induced Arthritis.莪术酮对单碘乙酸盐诱导的关节炎的镇痛和抗炎作用。
Int J Mol Sci. 2016 Feb 18;17(2):249. doi: 10.3390/ijms17020249.
9
Natural compounds for pediatric cancer treatment.用于儿科癌症治疗的天然化合物。
Naunyn Schmiedebergs Arch Pharmacol. 2016 Feb;389(2):131-49. doi: 10.1007/s00210-015-1191-5. Epub 2015 Dec 9.
10
Synthesis and anti-proliferative activity of novel azazerumbone conjugates with chalcones.新型氮杂芸香酮与查耳酮共轭物的合成及其抗增殖活性
Bioorg Med Chem Lett. 2015 Nov 15;25(22):5182-5. doi: 10.1016/j.bmcl.2015.09.069. Epub 2015 Sep 30.