• 文献检索
  • 文档翻译
  • 深度研究
  • 学术资讯
  • Suppr Zotero 插件Zotero 插件
  • 邀请有礼
  • 套餐&价格
  • 历史记录
应用&插件
Suppr Zotero 插件Zotero 插件浏览器插件Mac 客户端Windows 客户端微信小程序
定价
高级版会员购买积分包购买API积分包
服务
文献检索文档翻译深度研究API 文档MCP 服务
关于我们
关于 Suppr公司介绍联系我们用户协议隐私条款
关注我们

Suppr 超能文献

核心技术专利:CN118964589B侵权必究
粤ICP备2023148730 号-1Suppr @ 2026

文献检索

告别复杂PubMed语法,用中文像聊天一样搜索,搜遍4000万医学文献。AI智能推荐,让科研检索更轻松。

立即免费搜索

文件翻译

保留排版,准确专业,支持PDF/Word/PPT等文件格式,支持 12+语言互译。

免费翻译文档

深度研究

AI帮你快速写综述,25分钟生成高质量综述,智能提取关键信息,辅助科研写作。

立即免费体验

胰腺癌的代谢组学生物标志物:一项荟萃分析研究。

Metabolomic biomarkers of pancreatic cancer: a meta-analysis study.

作者信息

Mehta Khyati Y, Wu Hung-Jen, Menon Smrithi S, Fallah Yassi, Zhong Xiaogang, Rizk Nasser, Unger Keith, Mapstone Mark, Fiandaca Massimo S, Federoff Howard J, Cheema Amrita K

机构信息

Department of Oncology, Georgetown University Medical Center, Washington, DC, United States of America.

Department of Biochemistry and Molecular and Cellular Biology, Georgetown University Medical Center, Washington, DC, United States of America.

出版信息

Oncotarget. 2017 Aug 18;8(40):68899-68915. doi: 10.18632/oncotarget.20324. eCollection 2017 Sep 15.

DOI:10.18632/oncotarget.20324
PMID:28978166
原文链接:https://pmc.ncbi.nlm.nih.gov/articles/PMC5620306/
Abstract

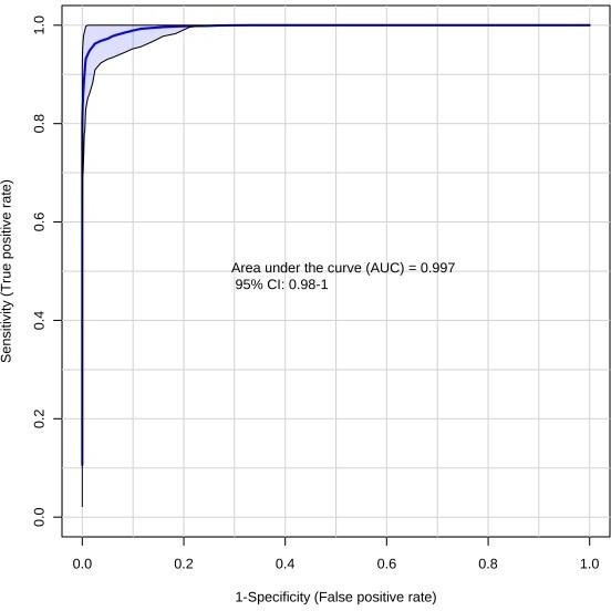
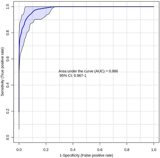
Pancreatic cancer (PC) is an aggressive disease with high mortality rates, however, there is no blood test for early detection and diagnosis of this disease. Several research groups have reported on metabolomics based clinical investigations to identify biomarkers of PC, however there is a lack of a centralized metabolite biomarker repository that can be used for meta-analysis and biomarker validation. Furthermore, since the incidence of PC is associated with metabolic syndrome and Type 2 diabetes mellitus (T2DM), there is a need to uncouple these common metabolic dysregulations that may otherwise diminish the clinical utility of metabolomic biosignatures. Here, we attempted to externally replicate proposed metabolite biomarkers of PC reported by several other groups in an independent group of PC subjects. Our study design included a T2DM cohort that was used as a non-cancer control and a separate cohort diagnosed with colorectal cancer (CRC), as a cancer disease control to eliminate possible generic biomarkers of cancer. We used targeted mass spectrometry for quantitation of literature-curated metabolite markers and identified a biomarker panel that discriminates between normal controls (NC) and PC patients with high accuracy. Further evaluation of our model with CRC, however, showed a drop in specificity for the PC biomarker panel. Taken together, our study underscores the need for a more robust study design for cancer biomarker studies so as to maximize the translational value and clinical implementation.

摘要

胰腺癌(PC)是一种侵袭性疾病,死亡率很高,然而,目前尚无用于早期检测和诊断该疾病的血液检测方法。几个研究小组报告了基于代谢组学的临床研究,以确定胰腺癌的生物标志物,然而,缺乏一个可用于荟萃分析和生物标志物验证的集中式代谢物生物标志物库。此外,由于胰腺癌的发病率与代谢综合征和2型糖尿病(T2DM)相关,因此有必要将这些常见的代谢失调区分开来,否则可能会降低代谢组学生物标志物的临床效用。在此,我们试图在一组独立的胰腺癌患者中对外复制其他几个小组报告的胰腺癌代谢物生物标志物。我们的研究设计包括一个用作非癌症对照的2型糖尿病队列和一个诊断为结直肠癌(CRC)的单独队列,作为癌症疾病对照,以消除可能的癌症通用生物标志物。我们使用靶向质谱法定量文献整理的代谢物标记物,并确定了一个能高精度区分正常对照(NC)和胰腺癌患者的生物标志物组。然而,用结直肠癌对我们的模型进行进一步评估时,结果显示胰腺癌生物标志物组的特异性有所下降。综上所述,我们的研究强调癌症生物标志物研究需要更稳健的研究设计,以最大限度地提高转化价值和临床应用。

https://cdn.ncbi.nlm.nih.gov/pmc/blobs/7eb3/5620306/4d67e22b03b8/oncotarget-08-68899-g009.jpg
https://cdn.ncbi.nlm.nih.gov/pmc/blobs/7eb3/5620306/4c3eee3be51c/oncotarget-08-68899-g001.jpg
https://cdn.ncbi.nlm.nih.gov/pmc/blobs/7eb3/5620306/692cfd4785b7/oncotarget-08-68899-g002.jpg
https://cdn.ncbi.nlm.nih.gov/pmc/blobs/7eb3/5620306/281ed613238f/oncotarget-08-68899-g003.jpg
https://cdn.ncbi.nlm.nih.gov/pmc/blobs/7eb3/5620306/c2fe3618e789/oncotarget-08-68899-g004.jpg
https://cdn.ncbi.nlm.nih.gov/pmc/blobs/7eb3/5620306/417232e1f974/oncotarget-08-68899-g005.jpg
https://cdn.ncbi.nlm.nih.gov/pmc/blobs/7eb3/5620306/e8f4ef264925/oncotarget-08-68899-g006.jpg
https://cdn.ncbi.nlm.nih.gov/pmc/blobs/7eb3/5620306/baa4e2fdbfb4/oncotarget-08-68899-g007.jpg
https://cdn.ncbi.nlm.nih.gov/pmc/blobs/7eb3/5620306/84c0b14fcc83/oncotarget-08-68899-g008.jpg
https://cdn.ncbi.nlm.nih.gov/pmc/blobs/7eb3/5620306/4d67e22b03b8/oncotarget-08-68899-g009.jpg
https://cdn.ncbi.nlm.nih.gov/pmc/blobs/7eb3/5620306/4c3eee3be51c/oncotarget-08-68899-g001.jpg
https://cdn.ncbi.nlm.nih.gov/pmc/blobs/7eb3/5620306/692cfd4785b7/oncotarget-08-68899-g002.jpg
https://cdn.ncbi.nlm.nih.gov/pmc/blobs/7eb3/5620306/281ed613238f/oncotarget-08-68899-g003.jpg
https://cdn.ncbi.nlm.nih.gov/pmc/blobs/7eb3/5620306/c2fe3618e789/oncotarget-08-68899-g004.jpg
https://cdn.ncbi.nlm.nih.gov/pmc/blobs/7eb3/5620306/417232e1f974/oncotarget-08-68899-g005.jpg
https://cdn.ncbi.nlm.nih.gov/pmc/blobs/7eb3/5620306/e8f4ef264925/oncotarget-08-68899-g006.jpg
https://cdn.ncbi.nlm.nih.gov/pmc/blobs/7eb3/5620306/baa4e2fdbfb4/oncotarget-08-68899-g007.jpg
https://cdn.ncbi.nlm.nih.gov/pmc/blobs/7eb3/5620306/84c0b14fcc83/oncotarget-08-68899-g008.jpg
https://cdn.ncbi.nlm.nih.gov/pmc/blobs/7eb3/5620306/4d67e22b03b8/oncotarget-08-68899-g009.jpg

相似文献

1
Metabolomic biomarkers of pancreatic cancer: a meta-analysis study.胰腺癌的代谢组学生物标志物:一项荟萃分析研究。
Oncotarget. 2017 Aug 18;8(40):68899-68915. doi: 10.18632/oncotarget.20324. eCollection 2017 Sep 15.
2
Metabolomics identified new biomarkers for the precise diagnosis of pancreatic cancer and associated tissue metastasis.代谢组学鉴定出用于胰腺癌及其相关组织转移精准诊断的新型生物标志物。
Pharmacol Res. 2020 Jun;156:104805. doi: 10.1016/j.phrs.2020.104805. Epub 2020 Apr 8.
3
Translational Metabolomics of Head Injury: Exploring Dysfunctional Cerebral Metabolism with Ex Vivo NMR Spectroscopy-Based Metabolite Quantification头部损伤的转化代谢组学:基于体外核磁共振波谱的代谢物定量分析探索脑代谢功能障碍
4
Serum metabolomics differentiating pancreatic cancer from new-onset diabetes.血清代谢组学鉴别胰腺癌与新发糖尿病
Oncotarget. 2017 Apr 25;8(17):29116-29124. doi: 10.18632/oncotarget.16249.
5
Tissue metabolomics identified new biomarkers for the diagnosis and prognosis prediction of pancreatic cancer.组织代谢组学鉴定出了用于胰腺癌诊断和预后预测的新生物标志物。
Front Oncol. 2022 Sep 2;12:991051. doi: 10.3389/fonc.2022.991051. eCollection 2022.
6
Serological Phenotyping Analysis Uncovers a Unique Metabolomic Pattern Associated With Early Onset of Type 2 Diabetes Mellitus.血清学表型分析揭示了与2型糖尿病早发相关的独特代谢组学模式。
Front Mol Biosci. 2022 Apr 8;9:841209. doi: 10.3389/fmolb.2022.841209. eCollection 2022.
7
Identification of highly sensitive biomarkers that can aid the early detection of pancreatic cancer using GC/MS/MS-based targeted metabolomics.利用基于气相色谱-串联质谱的靶向代谢组学鉴定可辅助胰腺癌早期检测的高灵敏度生物标志物。
Clin Chim Acta. 2017 May;468:98-104. doi: 10.1016/j.cca.2017.02.011. Epub 2017 Feb 16.
8
A novel mixed integer programming for multi-biomarker panel identification by distinguishing malignant from benign colorectal tumors.一种通过区分恶性和良性结直肠肿瘤来识别多生物标志物组合的新型混合整数规划方法。
Methods. 2015 Jul 15;83:3-17. doi: 10.1016/j.ymeth.2015.05.011. Epub 2015 May 15.
9
Commonality and differences of methylation signatures in the plasma of patients with pancreatic cancer and colorectal cancer.胰腺癌和结直肠癌患者血浆中甲基化特征的共性和差异。
Int J Cancer. 2014 Jun 1;134(11):2656-62. doi: 10.1002/ijc.28593. Epub 2013 Nov 29.
10
Metabolomics based predictive classifier for early detection of pancreatic ductal adenocarcinoma.基于代谢组学的预测分类器用于早期检测胰腺导管腺癌。
Oncotarget. 2018 May 1;9(33):23078-23090. doi: 10.18632/oncotarget.25212.

引用本文的文献

1
How Early Can Pancreatic Tumors Be Detected Using NMR-Based Urine Metabolic Profiling? Identification of Early-Stage Biomarkers of Tumor Initiation and Progression in an Orthotopic Xenograft Mouse Model of Pancreatic Cancer.使用基于核磁共振的尿液代谢谱分析能够多早检测出胰腺肿瘤?胰腺癌原位异种移植小鼠模型中肿瘤起始和进展的早期生物标志物的鉴定。
Metabolites. 2025 Feb 20;15(3):142. doi: 10.3390/metabo15030142.
2
The Past, Present, and Future of Biomarkers for the Early Diagnosis of Pancreatic Cancer.胰腺癌早期诊断生物标志物的过去、现在与未来
Biomedicines. 2024 Dec 13;12(12):2840. doi: 10.3390/biomedicines12122840.
3
Understanding the Conundrum of Pancreatic Cancer in the Omics Sciences Era.

本文引用的文献

1
Early metabolic markers identify potential targets for the prevention of type 2 diabetes.早期代谢标志物可识别 2 型糖尿病预防的潜在靶点。
Diabetologia. 2017 Sep;60(9):1740-1750. doi: 10.1007/s00125-017-4325-0. Epub 2017 Jun 8.
2
A systems approach identifies time-dependent associations of multimorbidities with pancreatic cancer risk.系统方法确定了多种合并症与胰腺癌风险的时间依赖性关联。
Ann Oncol. 2017 Jul 1;28(7):1618-1624. doi: 10.1093/annonc/mdx167.
3
Sequential Validation of Blood-Based Protein Biomarker Candidates for Early-Stage Pancreatic Cancer.
理解组学时代的胰腺癌难题。
Int J Mol Sci. 2024 Jul 11;25(14):7623. doi: 10.3390/ijms25147623.
4
The prowess of metabolomics in cancer research: current trends, challenges and future perspectives.代谢组学在癌症研究中的优势:当前趋势、挑战与未来展望。
Mol Cell Biochem. 2025 Feb;480(2):693-720. doi: 10.1007/s11010-024-05041-w. Epub 2024 May 30.
5
Plasma Metabolomics Predicts Chemotherapy Response in Advanced Pancreatic Cancer.血浆代谢组学可预测晚期胰腺癌的化疗反应。
Cancers (Basel). 2023 Jun 1;15(11):3020. doi: 10.3390/cancers15113020.
6
Lipidomics and pancreatic cancer risk in two prospective studies.脂质组学与两种前瞻性研究中的胰腺癌风险。
Eur J Epidemiol. 2023 Jul;38(7):783-793. doi: 10.1007/s10654-023-01014-3. Epub 2023 May 12.
7
Early Diagnosis of Pancreatic Cancer: Clinical Premonitions, Timely Precursor Detection and Increased Curative-Intent Surgery.胰腺癌的早期诊断:临床预兆、及时的前期检测和增加治愈性手术的机会。
Cancer Control. 2023 Jan-Dec;30:10732748231154711. doi: 10.1177/10732748231154711.
8
Investigation of the Exometabolomic Profiles of Rat Islets of Langerhans Cultured in Microfluidic Biochip.微流控生物芯片中培养的大鼠胰岛外代谢组学特征研究。
Metabolites. 2022 Dec 15;12(12):1270. doi: 10.3390/metabo12121270.
9
Metabolic profiling of induced acute pancreatitis and pancreatic cancer progression in a mutant Kras mouse model.突变型Kras小鼠模型中诱导性急性胰腺炎和胰腺癌进展的代谢谱分析
Front Mol Biosci. 2022 Aug 25;9:937865. doi: 10.3389/fmolb.2022.937865. eCollection 2022.
10
Challenges in Metabolomics-Based Tests, Biomarkers Revealed by Metabolomic Analysis, and the Promise of the Application of Metabolomics in Precision Medicine.基于代谢组学的检测面临的挑战、代谢组学分析揭示的生物标志物,以及代谢组学在精准医学中应用的前景。
Int J Mol Sci. 2022 May 6;23(9):5213. doi: 10.3390/ijms23095213.
早期胰腺癌血液中蛋白质生物标志物候选物的序贯验证
J Natl Cancer Inst. 2017 Apr 1;109(4). doi: 10.1093/jnci/djw266.
4
The metabolites in peripheral blood mononuclear cells showed greater differences between patients with impaired fasting glucose or type 2 diabetes and healthy controls than those in plasma.与血浆中的代谢物相比,外周血单个核细胞中的代谢物在空腹血糖受损患者或2型糖尿病患者与健康对照之间表现出更大的差异。
Diab Vasc Dis Res. 2017 Mar;14(2):130-138. doi: 10.1177/1479164116678157. Epub 2016 Dec 21.
5
Mitochondrial mutations and metabolic adaptation in pancreatic cancer.胰腺癌中的线粒体突变与代谢适应
Cancer Metab. 2017 Jan 30;5:2. doi: 10.1186/s40170-017-0164-1. eCollection 2017.
6
Applications of Metabolomics in Cancer Studies.代谢组学在癌症研究中的应用。
Adv Exp Med Biol. 2017;965:209-234. doi: 10.1007/978-3-319-47656-8_9.
7
Employing Metabolism to Improve the Diagnosis and Treatment of Pancreatic Cancer.利用代谢途径改善胰腺癌的诊断和治疗
Cancer Cell. 2017 Jan 9;31(1):5-19. doi: 10.1016/j.ccell.2016.12.006.
8
Cancer Statistics, 2017.《2017 年癌症统计》
CA Cancer J Clin. 2017 Jan;67(1):7-30. doi: 10.3322/caac.21387. Epub 2017 Jan 5.
9
Biomarkers in pancreatic adenocarcinoma: current perspectives.胰腺腺癌中的生物标志物:当前观点
Onco Targets Ther. 2016 Dec 9;9:7459-7467. doi: 10.2147/OTT.S100510. eCollection 2016.
10
New developments in the early diagnosis of pancreatic cancer.胰腺癌早期诊断的新进展
Expert Rev Gastroenterol Hepatol. 2017 Feb;11(2):149-156. doi: 10.1080/17474124.2017.1271323. Epub 2016 Dec 20.