• 文献检索
  • 文档翻译
  • 深度研究
  • 学术资讯
  • Suppr Zotero 插件Zotero 插件
  • 邀请有礼
  • 套餐&价格
  • 历史记录
应用&插件
Suppr Zotero 插件Zotero 插件浏览器插件Mac 客户端Windows 客户端微信小程序
定价
高级版会员购买积分包购买API积分包
服务
文献检索文档翻译深度研究API 文档MCP 服务
关于我们
关于 Suppr公司介绍联系我们用户协议隐私条款
关注我们

Suppr 超能文献

核心技术专利:CN118964589B侵权必究
粤ICP备2023148730 号-1Suppr @ 2026

文献检索

告别复杂PubMed语法,用中文像聊天一样搜索,搜遍4000万医学文献。AI智能推荐,让科研检索更轻松。

立即免费搜索

文件翻译

保留排版,准确专业,支持PDF/Word/PPT等文件格式,支持 12+语言互译。

免费翻译文档

深度研究

AI帮你快速写综述,25分钟生成高质量综述,智能提取关键信息,辅助科研写作。

立即免费体验

2 型糖尿病患者血浆鸢尾素水平升高,且与 E-选择素水平升高相关。

Plasma irisin is elevated in type 2 diabetes and is associated with increased E-selectin levels.

机构信息

Aston Research Centre for Healthy Ageing and School of Life and Health Sciences, Aston University, Birmingham, B4 7ET, UK.

Aston Medical Research Institute, Aston Medical School, Aston University, Birmingham, B4 7ET, UK.

出版信息

Cardiovasc Diabetol. 2017 Nov 9;16(1):147. doi: 10.1186/s12933-017-0627-2.

DOI:10.1186/s12933-017-0627-2
PMID:29121940
原文链接:https://pmc.ncbi.nlm.nih.gov/articles/PMC5680831/
Abstract

BACKGROUND

Irisin is a hormone released mainly from skeletal muscle after exercise which increases adipose tissue energy expenditure. Adipocytes can also release irisin after exercise, acting as a local adipokine to induce white adipose tissue to take on a brown adipose tissue-like phenotype, suggesting that irisin and its receptor may represent a novel molecular target for the treatment of obesity and obesity-related diabetes. Previous reports provide conflicting evidence regarding circulating irisin levels in patients with type 2 diabetes (T2DM).

METHODS

This study investigated plasma irisin concentrations in 79 T2DM individuals, assessing potential associations with measures of segmental body composition, markers of endothelial dysfunction and peripheral blood mononuclear cell telomere length (TL).

RESULTS

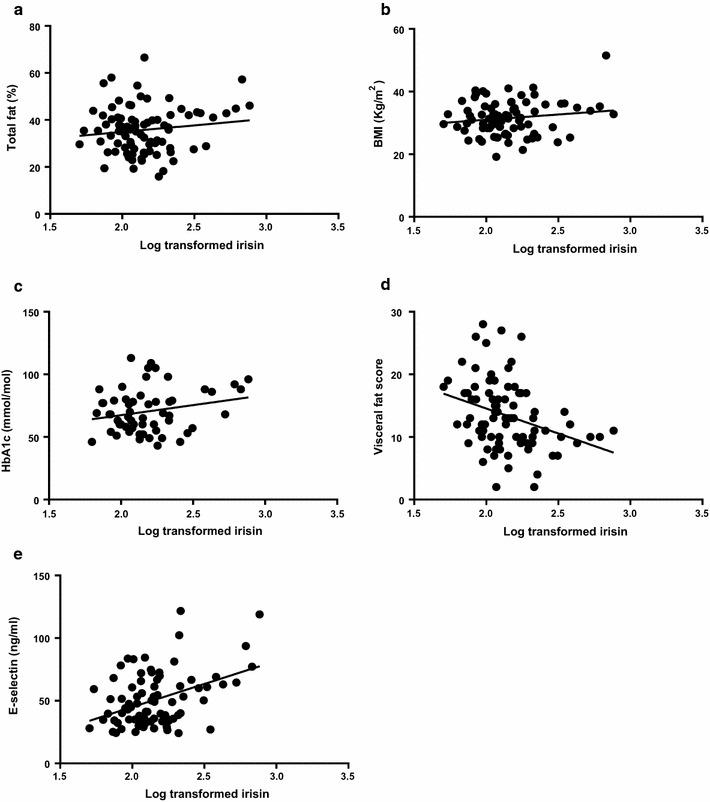
Resting, overnight-fasted plasma irisin levels were significantly higher in this group of T2DM patients compared with levels we previously reported in healthy volunteers (p < 0.001). Moreover, plasma irisin displayed a positive correlation with body mass index (p = 0.04), body fat percentage (p = 0.03), HbA1c (p = 0.03) and soluble E-selectin (p < 0.001). A significant negative association was observed between plasma irisin and visceral adiposity (p = 0.006) in T2DM patients. Multiple regression analysis revealed that circulating soluble E-selectin levels could be predicted by plasma irisin (p = 0.004). Additionally, cultured human umbilical vein endothelial cells (HUVEC) exposed to 200 ng/ml irisin for 4 h showed a significant fourfold increase in E-selectin and 2.5-fold increase in ICAM-1 gene expression (p = 0.001 and p = 0.015 respectively), and there was a 1.8-fold increase in soluble E-selectin in conditioned media (p < 0.05).

CONCLUSION

These data suggest that elevated plasma irisin in T2DM is associated with indices of adiposity, and that irisin may be involved in pro-atherogenic endothelial disturbances that accompany obesity and T2DM. Accordingly, irisin may constitute a potentially novel therapeutic opportunity in the field of obesity and cardiovascular diabetology.

摘要

背景

鸢尾素是一种主要在运动后由骨骼肌释放的激素,可增加脂肪组织的能量消耗。脂肪细胞在运动后也能释放鸢尾素,作为一种局部脂肪因子,诱导白色脂肪组织呈现出棕色脂肪组织样表型,这表明鸢尾素及其受体可能代表肥胖和肥胖相关糖尿病治疗的新分子靶点。先前的报告提供了关于 2 型糖尿病(T2DM)患者循环鸢尾素水平的相互矛盾的证据。

方法

本研究调查了 79 例 T2DM 个体的血浆鸢尾素浓度,评估了与节段性身体成分、内皮功能障碍标志物和外周血单核细胞端粒长度(TL)的潜在相关性。

结果

与我们之前在健康志愿者中报告的水平相比,这群 T2DM 患者的静息、隔夜禁食血浆鸢尾素水平显著升高(p<0.001)。此外,血浆鸢尾素与体重指数(p=0.04)、体脂肪百分比(p=0.03)、HbA1c(p=0.03)和可溶性 E-选择素(p<0.001)呈正相关。在 T2DM 患者中,血浆鸢尾素与内脏脂肪呈显著负相关(p=0.006)。多元回归分析显示,循环可溶性 E-选择素水平可由血浆鸢尾素预测(p=0.004)。此外,培养的人脐静脉内皮细胞(HUVEC)暴露于 200ng/ml 鸢尾素 4 小时后,E-选择素基因表达显著增加 4 倍(p=0.001 和 p=0.015),条件培养基中可溶性 E-选择素增加 1.8 倍(p<0.05)。

结论

这些数据表明,T2DM 患者血浆鸢尾素升高与肥胖指数相关,鸢尾素可能参与肥胖和 T2DM 伴随的促动脉粥样硬化内皮紊乱。因此,鸢尾素可能是肥胖和心血管糖尿病学领域的一个潜在的新治疗机会。

https://cdn.ncbi.nlm.nih.gov/pmc/blobs/dcc8/5680831/cd239ce5c451/12933_2017_627_Fig3_HTML.jpg
https://cdn.ncbi.nlm.nih.gov/pmc/blobs/dcc8/5680831/38a97e4bf684/12933_2017_627_Fig1_HTML.jpg
https://cdn.ncbi.nlm.nih.gov/pmc/blobs/dcc8/5680831/9e5eb80cf438/12933_2017_627_Fig2_HTML.jpg
https://cdn.ncbi.nlm.nih.gov/pmc/blobs/dcc8/5680831/cd239ce5c451/12933_2017_627_Fig3_HTML.jpg
https://cdn.ncbi.nlm.nih.gov/pmc/blobs/dcc8/5680831/38a97e4bf684/12933_2017_627_Fig1_HTML.jpg
https://cdn.ncbi.nlm.nih.gov/pmc/blobs/dcc8/5680831/9e5eb80cf438/12933_2017_627_Fig2_HTML.jpg
https://cdn.ncbi.nlm.nih.gov/pmc/blobs/dcc8/5680831/cd239ce5c451/12933_2017_627_Fig3_HTML.jpg

相似文献

1
Plasma irisin is elevated in type 2 diabetes and is associated with increased E-selectin levels.2 型糖尿病患者血浆鸢尾素水平升高,且与 E-选择素水平升高相关。
Cardiovasc Diabetol. 2017 Nov 9;16(1):147. doi: 10.1186/s12933-017-0627-2.
2
Association between Irisin, hs-CRP, and Metabolic Status in Children and Adolescents with Type 2 Diabetes Mellitus.鸢尾素、高敏 C 反应蛋白与 2 型糖尿病患儿及青少年代谢状态的相关性。
Mediators Inflamm. 2019 Mar 20;2019:6737318. doi: 10.1155/2019/6737318. eCollection 2019.
3
Circulating serum irisin levels in obesity and type 2 diabetes mellitus.肥胖症和2型糖尿病患者的循环血清鸢尾素水平
IUBMB Life. 2016 Jul;68(7):544-56. doi: 10.1002/iub.1511. Epub 2016 May 24.
4
Irisin as a mediator between obesity and vascular inflammation in Chinese children and adolescents.鸢尾素作为中国儿童和青少年肥胖与血管炎症之间的中介物。
Nutr Metab Cardiovasc Dis. 2020 Feb 10;30(2):320-329. doi: 10.1016/j.numecd.2019.09.025. Epub 2019 Oct 3.
5
Lower circulating irisin is associated with type 2 diabetes mellitus.循环中的鸢尾素水平较低与 2 型糖尿病有关。
J Diabetes Complications. 2013 Jul-Aug;27(4):365-9. doi: 10.1016/j.jdiacomp.2013.03.002. Epub 2013 Apr 22.
6
Lower circulating irisin is associated with nonalcoholic fatty liver disease and type 2 diabetes.循环鸢尾素水平较低与非酒精性脂肪性肝病和2型糖尿病相关。
Diabetes Metab Syndr. 2017 Nov;11 Suppl 1:S467-S472. doi: 10.1016/j.dsx.2017.03.037. Epub 2017 Mar 31.
7
Serum sclerostin and irisin as predictive markers for atherosclerosis in Egyptian type II diabetic female patients: A case control study.血清硬骨素和鸢尾素作为埃及 2 型糖尿病女性患者动脉粥样硬化的预测标志物:一项病例对照研究。
PLoS One. 2018 Nov 7;13(11):e0206761. doi: 10.1371/journal.pone.0206761. eCollection 2018.
8
Serum Irisin Levels, Endothelial Dysfunction, and Inflammation in Pediatric Patients with Type 2 Diabetes Mellitus and Metabolic Syndrome.2型糖尿病和代谢综合征患儿的血清鸢尾素水平、内皮功能障碍及炎症
J Diabetes Res. 2020 Sep 4;2020:1949415. doi: 10.1155/2020/1949415. eCollection 2020.
9
Novel adipokines vaspin and irisin as risk biomarkers for cardiovascular diseases in type 2 diabetes mellitus.新型脂肪因子内脏脂肪素和鸢尾素作为2型糖尿病心血管疾病的风险生物标志物
Diabetes Metab Syndr. 2018 Sep;12(5):643-648. doi: 10.1016/j.dsx.2018.04.025. Epub 2018 Apr 12.
10
Irisin in metabolic diseases.鸢尾素与代谢性疾病。
Endocrine. 2018 Feb;59(2):260-274. doi: 10.1007/s12020-017-1476-1. Epub 2017 Nov 23.

引用本文的文献

1
Relationship between serum irisin levels and renal function in patients with type 2 diabetes mellitus.2型糖尿病患者血清鸢尾素水平与肾功能的关系
Caspian J Intern Med. 2025 Jun 23;16(3):493-499. doi: 10.22088/cjim.16.3.493. eCollection 2025 Summer.
2
Prenatal irisin is inversely related to the term placental telomere length.产前鸢尾素与足月胎盘端粒长度呈负相关。
BMC Res Notes. 2025 Mar 8;18(1):102. doi: 10.1186/s13104-025-07118-1.
3
A case-control study to evaluate irisin levels in patients with type 1 diabetes mellitus.

本文引用的文献

1
Preanalytical, analytical, and postanalytical errors in the measurement of irisin levels.鸢尾素水平测量中的分析前、分析中和分析后误差。
Pol Arch Intern Med. 2017 Sep 29;127(9):643. doi: 10.20452/pamw.4112.
2
The relationship between circulating irisin, retinol binding protein-4, adiponectin and inflammatory mediators in patients with metabolic syndrome.代谢综合征患者循环鸢尾素、视黄醇结合蛋白-4、脂联素与炎症介质之间的关系
Arch Endocrinol Metab. 2017 Dec;61(6):515-523. doi: 10.1590/2359-3997000000289. Epub 2017 Sep 18.
3
Association of Irisin Plasma Levels with Anthropometric Parameters in Children with Underweight, Normal Weight, Overweight, and Obesity.
一项病例对照研究评估 1 型糖尿病患者的鸢尾素水平。
Ir J Med Sci. 2024 Jun;193(3):1275-1282. doi: 10.1007/s11845-024-03626-4. Epub 2024 Feb 13.
4
Irisin and Triglyceride Glucose Index as Markers of Dyslipidemia in Young Adults.鸢尾素和甘油三酯葡萄糖指数作为年轻成年人血脂异常的标志物
Indian J Clin Biochem. 2024 Jan;39(1):136-141. doi: 10.1007/s12291-022-01083-3. Epub 2022 Sep 6.
5
A pilot study: effect of irisin on trabecular bone in a streptozotocin-induced animal model of type 1 diabetic osteopathy utilizing a micro-CT.一项初步研究:利用 micro-CT 观察鸢尾素对链脲佐菌素诱导的 1 型糖尿病性骨病动物模型小梁骨的影响。
PeerJ. 2023 Oct 17;11:e16278. doi: 10.7717/peerj.16278. eCollection 2023.
6
Dulaglutide Protects Mice against Diabetic Sarcopenia-Mediated Muscle Injury by Inhibiting Inflammation and Regulating the Differentiation of Myoblasts.度拉糖肽通过抑制炎症和调节成肌细胞分化来保护小鼠免受糖尿病性肌肉减少症介导的肌肉损伤。
Int J Endocrinol. 2023 Aug 7;2023:9926462. doi: 10.1155/2023/9926462. eCollection 2023.
7
Association between Serum Irisin and Leptin Levels and Risk of Depressive Symptoms in the Diabetic Elderly Population.糖尿病老年人群血清鸢尾素和瘦素水平与抑郁症状风险之间的关联
J Clin Med. 2023 Jun 26;12(13):4283. doi: 10.3390/jcm12134283.
8
The Potential Relationship Between Serum Irisin Concentration With Inflammatory Cytokines, Oxidative Stress Biomarkers, Glycemic Indices and Lipid Profiles in Obese Patients With Type 2 Diabetes Mellitus: A Pilot Study.肥胖 2 型糖尿病患者血清鸢尾素浓度与炎症细胞因子、氧化应激生物标志物、血糖指数和血脂谱的潜在关系:一项初步研究。
J ASEAN Fed Endocr Soc. 2023;38(1):45-51. doi: 10.15605/jafes.038.01.13. Epub 2023 Mar 6.
9
Oxidative Stress, Reductive Stress and Antioxidants in Vascular Pathogenesis and Aging.血管发病机制与衰老中的氧化应激、还原应激和抗氧化剂
Antioxidants (Basel). 2023 May 19;12(5):1126. doi: 10.3390/antiox12051126.
10
Irisin and Bone in Sickness and in Health: A Narrative Review of the Literature.鸢尾素与疾病和健康状态下的骨骼:文献综述
J Clin Med. 2022 Nov 21;11(22):6863. doi: 10.3390/jcm11226863.
血清鸢尾素水平与低体重、正常体重、超重和肥胖儿童人体测量参数的相关性研究。
Biomed Res Int. 2017;2017:2628968. doi: 10.1155/2017/2628968. Epub 2017 May 3.
4
The potential of irisin as a therapeutic for diabetes.鸢尾素作为糖尿病治疗药物的潜力。
Future Med Chem. 2017 Apr;9(6):529-532. doi: 10.4155/fmc-2017-0035. Epub 2017 Apr 12.
5
Serum Irisin Level Can Predict the Severity of Coronary Artery Disease in Patients with Stable Angina.血清鸢尾素水平可预测稳定型心绞痛患者冠状动脉疾病的严重程度。
Korean Circ J. 2017 Jan;47(1):44-49. doi: 10.4070/kcj.2016.0079. Epub 2016 Dec 23.
6
Irisin Inhibits Atherosclerosis by Promoting Endothelial Proliferation Through microRNA126-5p.鸢尾素通过微小RNA126-5p促进内皮细胞增殖来抑制动脉粥样硬化。
J Am Heart Assoc. 2016 Sep 26;5(9):e004031. doi: 10.1161/JAHA.116.004031.
7
Emerging role of chemokine CC motif ligand 4 related mechanisms in diabetes mellitus and cardiovascular disease: friends or foes?趋化因子CC基序配体4相关机制在糖尿病和心血管疾病中的新作用:是友还是敌?
Cardiovasc Diabetol. 2016 Aug 24;15(1):117. doi: 10.1186/s12933-016-0439-9.
8
Irisin exerts dual effects on browning and adipogenesis of human white adipocytes.鸢尾素对人白色脂肪细胞的褐变和脂肪生成具有双重作用。
Am J Physiol Endocrinol Metab. 2016 Aug 1;311(2):E530-41. doi: 10.1152/ajpendo.00094.2016. Epub 2016 Jul 19.
9
Protective Effect of Irisin on Atherosclerosis via Suppressing Oxidized Low Density Lipoprotein Induced Vascular Inflammation and Endothelial Dysfunction.鸢尾素通过抑制氧化型低密度脂蛋白诱导的血管炎症和内皮功能障碍对动脉粥样硬化的保护作用。
PLoS One. 2016 Jun 29;11(6):e0158038. doi: 10.1371/journal.pone.0158038. eCollection 2016.
10
Oxidative stress, inflammation, endothelial dysfunction and incidence of type 2 diabetes.氧化应激、炎症、内皮功能障碍与2型糖尿病的发病率
Cardiovasc Diabetol. 2016 Mar 24;15:51. doi: 10.1186/s12933-016-0369-6.