Suppr超能文献

基于 QuEChERS 的液相色谱-串联质谱法同时测定猪中 9 种玉米赤霉烯酮类似真菌毒素

A QuEChERS-Based Liquid Chromatography-Tandem Mass Spectrometry Method for the Simultaneous Determination of Nine Zearalenone-Like Mycotoxins in Pigs.

机构信息

SIBS-UGENT-SJTU Joint Laboratory of Mycotoxin Research, Key Laboratory of Food Safety Research, Shanghai Institutes for Biological Sciences, University of Chinese Academy of Sciences, Chinese Academy of Sciences, Shanghai 200000, China.

Academy of State Administration of Grain P.R.C, No. 11 Baiwanzhuang Avenue, Xicheng District, Beijing 100037, China.

出版信息

Toxins (Basel). 2018 Mar 20;10(3):129. doi: 10.3390/toxins10030129.

Abstract

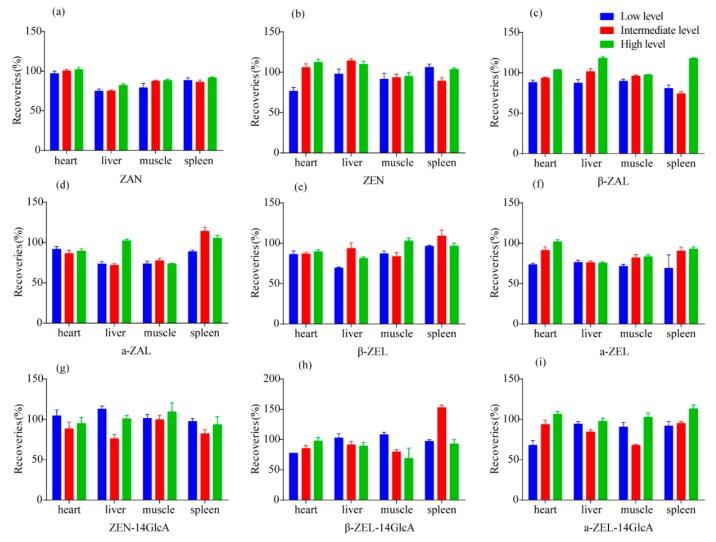
The determination of zearalenone (ZEN) and its derivatives as biomarkers in animal tissues or organs plays an important role in mycotoxin monitoring and can promote effective exposure assessment. A liquid chromatography-tandem mass spectrometry (LC-MS/MS) method for the simultaneous quantification of nine ZEN-like mycotoxins, including three glucuronides in different pig tissues (heart, liver, spleen and muscle) was developed and validated in this study. Tissue samples were extracted using a quick, easy, cheap, effective, rugged, and safe (QuEChERS) extraction and clean-up procedure, and analyzed by LC-MS/MS in multiple reaction monitoring (MRM) mode. Dynamic linear ranges for each target analyte were determined with ² between 0.916 and 0.999. The LODs of the six ZENs were achieved in the range of 0.5-1 ng/g and the LOQs varied from 1 ng/g to 2 ng/g. The satisfying intra-day and inter-day reproducibility (both RSD and RSD < 20%) indicated a good stability of this method. The recoveries of the nine target analytes were in the range of 70-110%. The validation results showed that this LC-MS/MS method coupled with QuEChERS sample pretreatment is effective and suitable for the simultaneous quantitation of ZEN metabolites in pigs. It has been applied to analysis of the pig tissues in this research and can be also adapted for samples in the mycotoxin research field.

摘要

本研究建立并验证了一种同时测定猪心、肝、脾和肌肉等不同组织中 9 种 ZEN 类似物真菌毒素(包括 3 种不同结合形式的葡糖苷酸)的液相色谱-串联质谱(LC-MS/MS)检测方法。采用快速、简单、廉价、有效、耐用和安全(QuEChERS)提取和净化方法提取组织样品,然后在多反应监测(MRM)模式下进行 LC-MS/MS 分析。每个目标分析物的动态线性范围在 0.916 至 0.999 之间。6 种 ZEN 的检出限(LOD)在 0.5-1ng/g 范围内,定量限(LOQ)在 1-2ng/g 之间。日内和日间精密度(RSD 和 RSD < 20%)良好,表明该方法稳定性良好。9 种目标分析物的回收率在 70-110%之间。验证结果表明,该 LC-MS/MS 方法结合 QuEChERS 样品预处理有效且适用于同时定量测定猪体内 ZEN 代谢物。该方法已应用于本研究中猪组织的分析,也可适用于真菌毒素研究领域的样品。

https://cdn.ncbi.nlm.nih.gov/pmc/blobs/3603/5869417/0b17caeaa55f/toxins-10-00129-g001.jpg

相似文献

4
Multiclass mycotoxin analysis in edible oils using a simple solvent extraction method and liquid chromatography with tandem mass spectrometry.
Food Addit Contam Part A Chem Anal Control Expo Risk Assess. 2017 Nov;34(11):2011-2022. doi: 10.1080/19440049.2017.1363416. Epub 2017 Aug 14.
5
Development of a multi-mycotoxin LC-MS/MS method for the determination of biomarkers in pig urine.
Mycotoxin Res. 2021 May;37(2):169-181. doi: 10.1007/s12550-021-00428-w. Epub 2021 Mar 26.
9
Development of an LC-MS/MS method for the determination of multiple mycotoxins in human urine.
Food Addit Contam Part A Chem Anal Control Expo Risk Assess. 2023 Jul;40(7):917-927. doi: 10.1080/19440049.2023.2222842. Epub 2023 Jun 14.

引用本文的文献

1
Machine Learning for Predicting Zearalenone Contamination Levels in Pet Food.
Toxins (Basel). 2024 Dec 23;16(12):553. doi: 10.3390/toxins16120553.
2
Monitoring Mycotoxin Exposure in Food-Producing Animals (Cattle, Pig, Poultry, and Sheep).
Toxins (Basel). 2024 May 9;16(5):218. doi: 10.3390/toxins16050218.
4
Algerian Workers' Exposure to Mycotoxins-A Biomonitoring Study.
Int J Environ Res Public Health. 2023 Aug 12;20(16):6566. doi: 10.3390/ijerph20166566.
5
Estrogenic and Non-Estrogenic Disruptor Effect of Zearalenone on Male Reproduction: A Review.
Int J Mol Sci. 2023 Jan 13;24(2):1578. doi: 10.3390/ijms24021578.
8
Underreported Human Exposure to Mycotoxins: The Case of South Africa.
Foods. 2022 Sep 5;11(17):2714. doi: 10.3390/foods11172714.

本文引用的文献

1
A Greener, Quick and Comprehensive Extraction Approach for LC-MS of Multiple Mycotoxins.
Toxins (Basel). 2017 Mar 7;9(3):91. doi: 10.3390/toxins9030091.
2
Metabolism of Zearalenone and Its Major Modified Forms in Pigs.
Toxins (Basel). 2017 Feb 8;9(2):56. doi: 10.3390/toxins9020056.
3
Zearalenone and its metabolites in the tissues of female wild boars exposed per os to mycotoxins.
Toxicon. 2016 May;114:1-12. doi: 10.1016/j.toxicon.2016.02.012. Epub 2016 Feb 18.
4
A simple sample pretreatment method for multi-mycotoxin determination in eggs by liquid chromatography tandem mass spectrometry.
J Chromatogr A. 2015 Oct 23;1417:1-7. doi: 10.1016/j.chroma.2015.09.028. Epub 2015 Sep 12.
8
Zearalenone and its metabolites in urine and breast cancer risk: a case-control study in Tunisia.
Chemosphere. 2015 Jun;128:1-6. doi: 10.1016/j.chemosphere.2014.12.055. Epub 2015 Jan 17.
9
Development of a GC-MS/MS strategy to determine 15 mycotoxins and metabolites in human urine.
Talanta. 2014 Oct;128:125-31. doi: 10.1016/j.talanta.2014.04.072. Epub 2014 May 5.
10
Exposure assessment approach through mycotoxin/creatinine ratio evaluation in urine by GC-MS/MS.
Food Chem Toxicol. 2014 Oct;72:69-75. doi: 10.1016/j.fct.2014.07.014. Epub 2014 Jul 17.

文献AI研究员

20分钟写一篇综述,助力文献阅读效率提升50倍。

立即体验

用中文搜PubMed

大模型驱动的PubMed中文搜索引擎

马上搜索

文档翻译

学术文献翻译模型,支持多种主流文档格式。

立即体验