• 文献检索
  • 文档翻译
  • 深度研究
  • 学术资讯
  • Suppr Zotero 插件Zotero 插件
  • 邀请有礼
  • 套餐&价格
  • 历史记录
应用&插件
Suppr Zotero 插件Zotero 插件浏览器插件Mac 客户端Windows 客户端微信小程序
定价
高级版会员购买积分包购买API积分包
服务
文献检索文档翻译深度研究API 文档MCP 服务
关于我们
关于 Suppr公司介绍联系我们用户协议隐私条款
关注我们

Suppr 超能文献

核心技术专利:CN118964589B侵权必究
粤ICP备2023148730 号-1Suppr @ 2026

文献检索

告别复杂PubMed语法,用中文像聊天一样搜索,搜遍4000万医学文献。AI智能推荐,让科研检索更轻松。

立即免费搜索

文件翻译

保留排版,准确专业,支持PDF/Word/PPT等文件格式,支持 12+语言互译。

免费翻译文档

深度研究

AI帮你快速写综述,25分钟生成高质量综述,智能提取关键信息,辅助科研写作。

立即免费体验

剧烈运动后,与仅摄入糖饮料或水相比,摄入香蕉可实现代谢恢复:一项随机交叉试验。

Metabolic recovery from heavy exertion following banana compared to sugar beverage or water only ingestion: A randomized, crossover trial.

机构信息

Human Performance Laboratory, Appalachian State University, North Carolina Research Campus, Kannapolis, North Carolina, United States of America.

Dole Nutrition Research Laboratory, North Carolina Research Campus, Kannapolis, North Carolina, United States of America.

出版信息

PLoS One. 2018 Mar 22;13(3):e0194843. doi: 10.1371/journal.pone.0194843. eCollection 2018.

DOI:10.1371/journal.pone.0194843
PMID:29566095
原文链接:https://pmc.ncbi.nlm.nih.gov/articles/PMC5864065/
Abstract

OBJECTIVES AND METHODS

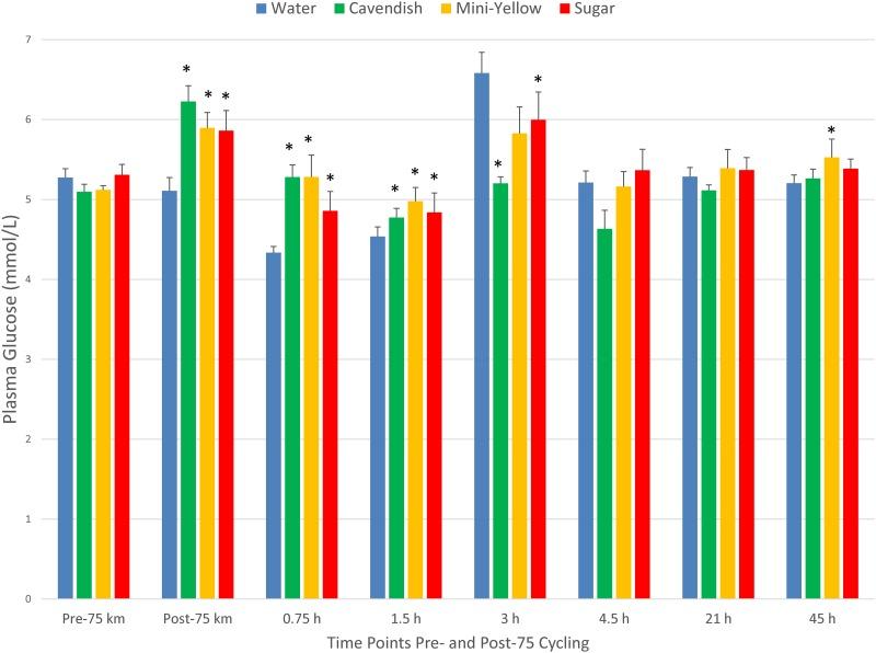
Using a randomized, crossover, counterbalanced approach, cyclists (N = 20, overnight fasted state) engaged in the four 75-km time trials (2-week washout) while ingesting two types of bananas with similar carbohydrate (CHO) but different phenolic content (Cavendish, CAV; mini-yellow, MIY, 63% higher polyphenols), a 6% sugar beverage (SUG), and water only (WAT). CHO intake was set at 0.2 g/kg every 15 minutes. Blood samples were collected pre-exercise and 0 h-, 0.75 h-,1.5 h-, 3 h-, 4.5 h-, 21 h-, 45 h-post-exercise.

RESULTS

Each of the CHO trials (CAV, MIY, SUG) compared to water was associated with higher post-exercise plasma glucose and fructose, and lower leukocyte counts, plasma 9+13 HODES, and IL-6, IL-10, and IL-1ra. OPLS-DA analysis showed that metabolic perturbation (N = 1,605 metabolites) for WAT (86.8±4.0 arbitrary units) was significantly greater and sustained than for CAV (70.4±3.9, P = 0.006), MIY (68.3±4.0, P = 0.002), and SUG (68.1±4.2, P = 0.002). VIP ranking (<3.0, N = 25 metabolites) showed that both CAV and MIY were associated with significant fold changes in metabolites including those from amino acid and xenobiotics pathways. OPLS-DA analysis of immediate post-exercise metabolite shifts showed a significant separation of CAV and MIY from both WAT and SUG (R2Y = 0.848, Q2Y = 0.409). COX-2 mRNA expression was lower in both CAV and MIY, but not SUG, versus WAT at 21-h post-exercise in THP-1 monocytes cultured in plasma samples. Analysis of immediate post-exercise samples showed a decrease in LPS-stimulated THP-1 monocyte extracellular acidification rate (ECAR) in CAV and MIY, but not SUG, compared to WAT.

CONCLUSIONS

CHO ingestion from bananas or a sugar beverage had a comparable influence in attenuating metabolic perturbation and inflammation following 75-km cycling. Ex-vivo analysis with THP-1 monocytes supported a decrease in COX-2 mRNA expression and reduced reliance on glycolysis for ATP production following ingestion of bananas but not sugar water when compared to water alone.

TRIAL REGISTRATION

ClinicalTrials.gov, U.S. National Institutes of Health, identifier: NCT02994628.

摘要

目的和方法

采用随机、交叉、平衡对照的方法,让 20 名骑自行车的人(禁食过夜状态)在摄入两种碳水化合物(CHO)含量相似但酚类含量不同的香蕉(Cavendish,CAV;迷你黄,MIY,多酚含量高 63%)、6%糖饮料(SUG)和仅水(WAT)的情况下,进行 4 次 75 公里的计时赛(2 周洗脱期)。CHO 的摄入量设定为每 15 分钟 0.2 克/公斤。在运动前和运动后 0 小时、0.75 小时、1.5 小时、3 小时、4.5 小时、21 小时、45 小时采集血样。

结果

与水相比,CHO 试验(CAV、MIY、SUG)中的每一种都与运动后更高的血糖和果糖水平相关,白细胞计数更低,血浆 9+13 HODES 和 IL-6、IL-10 和 IL-1ra 水平更低。OPLS-DA 分析显示,WAT(86.8±4.0 个任意单位)的代谢紊乱(N=1605 种代谢物)明显大于 CAV(70.4±3.9,P=0.006)、MIY(68.3±4.0,P=0.002)和 SUG(68.1±4.2,P=0.002),且持续时间更长。VIP 排名(<3.0,N=25 种代谢物)显示,CAV 和 MIY 都与氨基酸和外来物途径的代谢物显著的折叠变化相关。对运动后即刻代谢物变化的 OPLS-DA 分析显示,CAV 和 MIY 与 WAT 和 SUG 有明显的分离(R2Y=0.848,Q2Y=0.409)。在培养于血浆样本中的 THP-1 单核细胞中,CAV 和 MIY 与 WAT 相比,COX-2 mRNA 表达在 21 小时后更低,而 SUG 则没有。对运动后即刻样本的分析显示,与 WAT 相比,CAV 和 MIY 降低了 LPS 刺激的 THP-1 单核细胞细胞外酸化率(ECAR),而 SUG 则没有。

结论

从香蕉或含糖饮料中摄入 CHO 对 75 公里骑行后的代谢紊乱和炎症有类似的缓解作用。与仅用水相比,用 THP-1 单核细胞进行的体外分析表明,摄入香蕉后 COX-2 mRNA 表达降低,糖酵解产生 ATP 的依赖性降低,但摄入糖水则不然。

试验注册

ClinicalTrials.gov,美国国立卫生研究院,标识符:NCT02994628。

https://cdn.ncbi.nlm.nih.gov/pmc/blobs/89cc/5864065/978cc8a75c1b/pone.0194843.g010.jpg
https://cdn.ncbi.nlm.nih.gov/pmc/blobs/89cc/5864065/5573060545ea/pone.0194843.g001.jpg
https://cdn.ncbi.nlm.nih.gov/pmc/blobs/89cc/5864065/4367de7fa1f9/pone.0194843.g002.jpg
https://cdn.ncbi.nlm.nih.gov/pmc/blobs/89cc/5864065/dec5e1f7bb52/pone.0194843.g003.jpg
https://cdn.ncbi.nlm.nih.gov/pmc/blobs/89cc/5864065/6a2622590acf/pone.0194843.g004.jpg
https://cdn.ncbi.nlm.nih.gov/pmc/blobs/89cc/5864065/3a0100dbeffa/pone.0194843.g005.jpg
https://cdn.ncbi.nlm.nih.gov/pmc/blobs/89cc/5864065/2819a84f843b/pone.0194843.g006.jpg
https://cdn.ncbi.nlm.nih.gov/pmc/blobs/89cc/5864065/8988c2e325e6/pone.0194843.g007.jpg
https://cdn.ncbi.nlm.nih.gov/pmc/blobs/89cc/5864065/9beb89f170fb/pone.0194843.g008.jpg
https://cdn.ncbi.nlm.nih.gov/pmc/blobs/89cc/5864065/0579f0c1940f/pone.0194843.g009.jpg
https://cdn.ncbi.nlm.nih.gov/pmc/blobs/89cc/5864065/978cc8a75c1b/pone.0194843.g010.jpg
https://cdn.ncbi.nlm.nih.gov/pmc/blobs/89cc/5864065/5573060545ea/pone.0194843.g001.jpg
https://cdn.ncbi.nlm.nih.gov/pmc/blobs/89cc/5864065/4367de7fa1f9/pone.0194843.g002.jpg
https://cdn.ncbi.nlm.nih.gov/pmc/blobs/89cc/5864065/dec5e1f7bb52/pone.0194843.g003.jpg
https://cdn.ncbi.nlm.nih.gov/pmc/blobs/89cc/5864065/6a2622590acf/pone.0194843.g004.jpg
https://cdn.ncbi.nlm.nih.gov/pmc/blobs/89cc/5864065/3a0100dbeffa/pone.0194843.g005.jpg
https://cdn.ncbi.nlm.nih.gov/pmc/blobs/89cc/5864065/2819a84f843b/pone.0194843.g006.jpg
https://cdn.ncbi.nlm.nih.gov/pmc/blobs/89cc/5864065/8988c2e325e6/pone.0194843.g007.jpg
https://cdn.ncbi.nlm.nih.gov/pmc/blobs/89cc/5864065/9beb89f170fb/pone.0194843.g008.jpg
https://cdn.ncbi.nlm.nih.gov/pmc/blobs/89cc/5864065/0579f0c1940f/pone.0194843.g009.jpg
https://cdn.ncbi.nlm.nih.gov/pmc/blobs/89cc/5864065/978cc8a75c1b/pone.0194843.g010.jpg

相似文献

1
Metabolic recovery from heavy exertion following banana compared to sugar beverage or water only ingestion: A randomized, crossover trial.剧烈运动后,与仅摄入糖饮料或水相比,摄入香蕉可实现代谢恢复:一项随机交叉试验。
PLoS One. 2018 Mar 22;13(3):e0194843. doi: 10.1371/journal.pone.0194843. eCollection 2018.
2
Carbohydrate intake attenuates post-exercise plasma levels of cytochrome P450-generated oxylipins.碳水化合物摄入可减弱运动后细胞色素 P450 生成的氧化脂类物质的血浆水平。
PLoS One. 2019 Mar 18;14(3):e0213676. doi: 10.1371/journal.pone.0213676. eCollection 2019.
3
Carbohydrate Intake Does Not Counter the Post-Exercise Decrease in Natural Killer Cell Cytotoxicity.碳水化合物摄入并不能抵消运动后自然杀伤细胞细胞毒性的下降。
Nutrients. 2018 Nov 4;10(11):1658. doi: 10.3390/nu10111658.
4
Pre-exercise carbohydrate and fluid ingestion: influence of glycemic response on 10-km treadmill running performance in the heat.运动前碳水化合物与液体摄入:血糖反应对热环境下10公里跑步机跑步表现的影响
J Sports Med Phys Fitness. 2000 Mar;40(1):41-50.
5
Bananas as an energy source during exercise: a metabolomics approach.香蕉作为运动时的能量来源:代谢组学方法。
PLoS One. 2012;7(5):e37479. doi: 10.1371/journal.pone.0037479. Epub 2012 May 17.
6
Influence of pistachios on performance and exercise-induced inflammation, oxidative stress, immune dysfunction, and metabolite shifts in cyclists: a randomized, crossover trial.开心果对自行车运动员的运动表现、运动诱导的炎症、氧化应激、免疫功能障碍及代谢物变化的影响:一项随机交叉试验。
PLoS One. 2014 Nov 19;9(11):e113725. doi: 10.1371/journal.pone.0113725. eCollection 2014.
7
Carbohydrate beverage ingestion and neutrophil degranulation responses following cycling to fatigue at 75% VO2 max.在以75%最大摄氧量进行自行车运动至疲劳后摄入碳水化合物饮料与中性粒细胞脱颗粒反应
Int J Sports Med. 2001 Apr;22(3):226-31. doi: 10.1055/s-2001-16386.
8
The influence of a 12% carbohydrate-electrolyte beverage on self-paced soccer-specific exercise performance.一种12%碳水化合物-电解质饮料对足球专项自定节奏运动表现的影响。
J Sci Med Sport. 2017 Dec;20(12):1123-1129. doi: 10.1016/j.jsams.2017.04.015. Epub 2017 Apr 21.
9
Effects of Three Commercially Available Sports Drinks on Substrate Metabolism and Subsequent Endurance Performance in a Postprandial State.三种市售运动饮料对餐后状态下底物代谢及后续耐力表现的影响
Nutrients. 2017 Apr 12;9(4):377. doi: 10.3390/nu9040377.
10
Metabolomics-Based Analysis of Banana and Pear Ingestion on Exercise Performance and Recovery.基于代谢组学分析香蕉和梨摄入对运动表现及恢复的影响
J Proteome Res. 2015 Dec 4;14(12):5367-77. doi: 10.1021/acs.jproteome.5b00909. Epub 2015 Nov 23.

引用本文的文献

1
Towards Precision Sports Nutrition for Endurance Athletes: A Scoping Review of Application of Omics and Wearables Technologies.面向耐力运动员的精准运动营养:组学和可穿戴技术应用的范围综述。
Nutrients. 2024 Nov 19;16(22):3943. doi: 10.3390/nu16223943.
2
Association of Ultraprocessed Foods Intake with Untargeted Metabolomics Profiles in Adolescents and Young Adults in the DONALD Cohort Study.超加工食品摄入与 DONALD 队列研究中青少年和年轻成年人非靶向代谢组学特征的关联。
J Nutr. 2024 Nov;154(11):3255-3265. doi: 10.1016/j.tjnut.2024.09.023. Epub 2024 Sep 25.
3
The acute effects of pre- and mid-exercise carbohydrate ingestion on the immunoregulatory stress hormone release in experienced endurance athletes-a systematic review.

本文引用的文献

1
Influence of Ingesting a Flavonoid-Rich Supplement on the Metabolome and Concentration of Urine Phenolics in Overweight/Obese Women.摄入富含类黄酮的补充剂对超重/肥胖女性代谢组和尿液酚类浓度的影响。
J Proteome Res. 2017 Aug 4;16(8):2924-2935. doi: 10.1021/acs.jproteome.7b00196. Epub 2017 Jun 30.
2
Potential Impact of Nutrition on Immune System Recovery from Heavy Exertion: A Metabolomics Perspective.营养对高强度运动后免疫系统恢复的潜在影响:代谢组学视角
Nutrients. 2017 May 18;9(5):513. doi: 10.3390/nu9050513.
3
IL-6 Linkage to Exercise-Induced Shifts in Lipid-Related Metabolites: A Metabolomics-Based Analysis.
运动前和运动中摄入碳水化合物对有经验的耐力运动员免疫调节应激激素释放的急性影响——一项系统综述
Front Sports Act Living. 2024 Jan 26;6:1264814. doi: 10.3389/fspor.2024.1264814. eCollection 2024.
4
Influence of 2 Weeks of Mango Ingestion on Inflammation Resolution after Vigorous Exercise.芒果摄入对剧烈运动后炎症消退的影响:2 周干预研究
Nutrients. 2023 Dec 21;16(1):36. doi: 10.3390/nu16010036.
5
Blueberry intake elevates post-exercise anti-inflammatory oxylipins: a randomized trial.蓝莓摄入可提高运动后抗炎氧化脂质:一项随机试验。
Sci Rep. 2023 Jul 24;13(1):11976. doi: 10.1038/s41598-023-39269-1.
6
Determination of optimum intensity and duration of exercise based on the immune system response using a machine-learning model.基于机器学习模型的免疫系统反应确定最佳运动强度和时间。
Sci Rep. 2023 May 22;13(1):8207. doi: 10.1038/s41598-023-34974-3.
7
Astaxanthin supplementation counters exercise-induced decreases in immune-related plasma proteins.补充虾青素可对抗运动引起的免疫相关血浆蛋白减少。
Front Nutr. 2023 Mar 21;10:1143385. doi: 10.3389/fnut.2023.1143385. eCollection 2023.
8
Carbohydrates and Endurance Exercise: A Narrative Review of a Food First Approach.碳水化合物与耐力运动:以食物为优先的综述
Nutrients. 2023 Mar 11;15(6):1367. doi: 10.3390/nu15061367.
9
Chronic sleep loss sensitizes Drosophila melanogaster to nitrogen stress.慢性睡眠缺失使黑腹果蝇对氮胁迫敏感。
Curr Biol. 2023 Apr 24;33(8):1613-1623.e5. doi: 10.1016/j.cub.2023.03.008. Epub 2023 Mar 24.
10
Vitamin D, exercise, and immune health in athletes: A narrative review.维生素 D、运动与运动员的免疫健康:综述
Front Immunol. 2022 Sep 23;13:954994. doi: 10.3389/fimmu.2022.954994. eCollection 2022.
白细胞介素-6与运动诱导的脂质相关代谢物变化的关联:基于代谢组学的分析
J Proteome Res. 2017 Feb 3;16(2):970-977. doi: 10.1021/acs.jproteome.6b00892. Epub 2017 Jan 9.
4
Recovery of the immune system after exercise.运动后免疫系统的恢复。
J Appl Physiol (1985). 2017 May 1;122(5):1077-1087. doi: 10.1152/japplphysiol.00622.2016. Epub 2016 Dec 1.
5
Flavonoids as Cytokine Modulators: A Possible Therapy for Inflammation-Related Diseases.黄酮类化合物作为细胞因子调节剂:炎症相关疾病的一种潜在治疗方法。
Int J Mol Sci. 2016 Jun 9;17(6):921. doi: 10.3390/ijms17060921.
6
Bioactive compounds in banana and their associated health benefits - A review.香蕉中的生物活性化合物及其相关健康益处——综述。
Food Chem. 2016 Sep 1;206:1-11. doi: 10.1016/j.foodchem.2016.03.033. Epub 2016 Mar 11.
7
Evaluation of antioxidant capacity of 13 plant extracts by three different methods: cluster analyses applied for selection of the natural extracts with higher antioxidant capacity to replace synthetic antioxidant in lamb burgers.通过三种不同方法评估13种植物提取物的抗氧化能力:应用聚类分析来选择具有较高抗氧化能力的天然提取物,以替代羊肉汉堡中的合成抗氧化剂。
J Food Sci Technol. 2016 Jan;53(1):451-60. doi: 10.1007/s13197-015-1994-x. Epub 2015 Aug 19.
8
Peripheral Serotonin: a New Player in Systemic Energy Homeostasis.外周血清素:全身能量稳态中的新角色。
Mol Cells. 2015 Dec;38(12):1023-8. doi: 10.14348/molcells.2015.0258. Epub 2015 Dec 1.
9
Metabolomics-Based Analysis of Banana and Pear Ingestion on Exercise Performance and Recovery.基于代谢组学分析香蕉和梨摄入对运动表现及恢复的影响
J Proteome Res. 2015 Dec 4;14(12):5367-77. doi: 10.1021/acs.jproteome.5b00909. Epub 2015 Nov 23.
10
The roles of peripheral serotonin in metabolic homeostasis.外周血清素在代谢稳态中的作用。
FEBS Lett. 2015 Jul 8;589(15):1728-34. doi: 10.1016/j.febslet.2015.05.054. Epub 2015 Jun 9.