Suppr超能文献

海洋鱼油中脂肪酸的区域特异性分析及甘油三酯分子种类的计算。

Regiospecific Analysis of Fatty Acids and Calculation of Triglyceride Molecular Species in Marine Fish Oils.

机构信息

Collaborative Innovation Center of Food Safety and Quality Control in Jiangsu Province, National Engineering Research Center for Functional Food, State Key Laboratory of Food Science and Technology, School of Food Science and Technology, Jiangnan University, 1800 Lihu Avenue, Wuxi, Jiangsu 214122, China.

Department of Food Science and Engineering, School of Science and Engineering, Jinan University, Guangzhou, Guangdong 510632, China.

出版信息

Biomed Res Int. 2018 Jan 29;2018:9016840. doi: 10.1155/2018/9016840. eCollection 2018.

Abstract

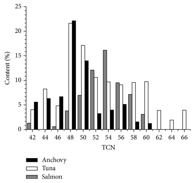
The regiospecific distribution of fatty acids (FAs) and composition of triglyceride (TAG) molecular species of fishes were analyzed and calculated by pancreatic lipase (PL) hydrolysis and Visual Basic (VB) program. DHA was preferentially located at sn-2 position in TAG molecule, whereas EPA was almost equally distributed in each position of glycerol backbone. DOP, DPP, EPP, PoPP, PPO, and PPP were the predominant TAG species. MPP in anchovy, DDP, DOP, DPP in tuna, and EOO and OOO in salmon were the characteristic TAG molecules, which were meaningful to differentiate marine fish oils. Furthermore, the data management, according to TCN and ECN, was firstly applied to classify the TAG molecular species. The ECN42, ECN46, and ECN48 groups were rich in TAGs. The lower ECN values, compared to the higher TCN values, indicated that the most abundant TAGs exhibited a higher unsaturated degree. Therefore, our study not only offered a simple and feasible approach for the analysis of TAG composition but also firstly summarized the information by data management within ECN and TCN.

摘要

通过胰腺脂肪酶(PL)水解和 Visual Basic(VB)程序,分析和计算了鱼类脂肪酸(FAs)的区域特异性分布和甘油三酯(TAG)分子种类的组成。DHA 优先位于 TAG 分子的 sn-2 位,而 EPA 几乎均匀分布在甘油骨架的每个位置。DOP、DPP、EPP、PoPP、PPO 和 PPP 是主要的 TAG 种类。凤尾鱼中的 MPP、金枪鱼中的 DDP、DOP、DPP 以及三文鱼中的 EOO 和 OOO 是特征性的 TAG 分子,对于区分海鱼油具有重要意义。此外,根据 TCN 和 ECN,首次应用数据管理对 TAG 分子种类进行分类。ECN42、ECN46 和 ECN48 组富含 TAG。与较高的 TCN 值相比,较低的 ECN 值表明最丰富的 TAG 具有更高的不饱和程度。因此,我们的研究不仅提供了一种简单可行的 TAG 组成分析方法,还首次通过 ECN 和 TCN 内的数据管理总结了相关信息。

https://cdn.ncbi.nlm.nih.gov/pmc/blobs/95b9/5833240/133f9c3c0243/BMRI2018-9016840.001.jpg

文献检索

告别复杂PubMed语法,用中文像聊天一样搜索,搜遍4000万医学文献。AI智能推荐,让科研检索更轻松。

立即免费搜索

文件翻译

保留排版,准确专业,支持PDF/Word/PPT等文件格式,支持 12+语言互译。

免费翻译文档

深度研究

AI帮你快速写综述,25分钟生成高质量综述,智能提取关键信息,辅助科研写作。

立即免费体验