• 文献检索
  • 文档翻译
  • 深度研究
  • 学术资讯
  • Suppr Zotero 插件Zotero 插件
  • 邀请有礼
  • 套餐&价格
  • 历史记录
应用&插件
Suppr Zotero 插件Zotero 插件浏览器插件Mac 客户端Windows 客户端微信小程序
定价
高级版会员购买积分包购买API积分包
服务
文献检索文档翻译深度研究API 文档MCP 服务
关于我们
关于 Suppr公司介绍联系我们用户协议隐私条款
关注我们

Suppr 超能文献

核心技术专利:CN118964589B侵权必究
粤ICP备2023148730 号-1Suppr @ 2026

文献检索

告别复杂PubMed语法,用中文像聊天一样搜索,搜遍4000万医学文献。AI智能推荐,让科研检索更轻松。

立即免费搜索

文件翻译

保留排版,准确专业,支持PDF/Word/PPT等文件格式,支持 12+语言互译。

免费翻译文档

深度研究

AI帮你快速写综述,25分钟生成高质量综述,智能提取关键信息,辅助科研写作。

立即免费体验

不同种族人群舒张功能障碍的预测因素:来自英国种族超声心动图心脏筛查研究(E-ECHOES)高血压队列的观察结果。

Predictors of diastolic dysfunction in ethnic groups: observations from the Hypertensive Cohort of The Ethnic-Echocardiographic Heart of England Screening Study (E-ECHOES).

机构信息

Institute of Cardiovascular Sciences, University of Birmingham, Birmingham, UK.

Primary Care Clinical Sciences, University of Birmingham, Birmingham, UK.

出版信息

J Hum Hypertens. 2018 Jul;32(7):477-486. doi: 10.1038/s41371-018-0064-z. Epub 2018 May 1.

DOI:10.1038/s41371-018-0064-z
PMID:29713052
原文链接:https://pmc.ncbi.nlm.nih.gov/articles/PMC6061936/
Abstract

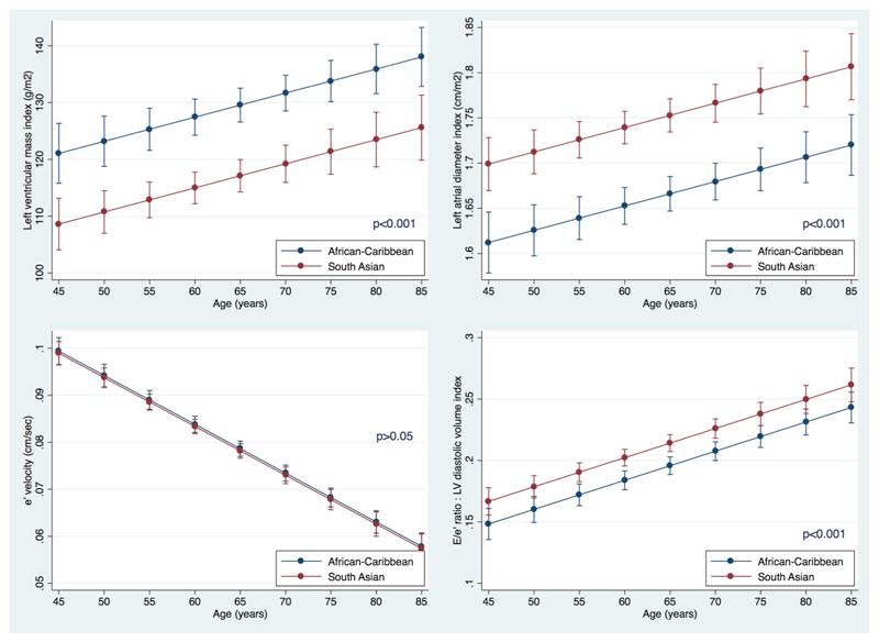
The study aimed to establish a relationship of ethnicity to diastolic dysfunction in subjects of African-Caribbean and South Asian origins and the impact of diastolic dysfunction and ethnicity on all-cause and cardiovascular mortality. Hypertensive subjects with ejection fraction ≥55% and no history of ischaemic heart disease/valve pathology (n  =  1546, 830 South Asians and 716 African-Caribbeans) were identified from the Ethnic-Echocardiographic Heart of England Screening Study (E-ECHOES). Diastolic function and cardiac remodelling were measured by echocardiography. African-Caribbean ethnicity was associated with lower prevalence of having diastolic dysfunction (odds ratio 0.67, 95% confidence interval 0.51-0.87, p  =  0.003) and increased left ventricular filling pressure (odds ratio 0.48, 95% confidence interval 0.34-0.69, p <  0.001) as well as lower left atrial index (p  <  0.001). This was the case despite the fact that African-Caribbean ethnicity was independently associated with higher left ventricular mass index (p   < 0.001). Ninety-two deaths (6%) occurred during 68  ±  21 months follow-up. On Cox regression analysis, South Asian ethnicity (p  =  0.024) was predictive of all-cause death before adjustment for parameters of diastolic dysfunction, but it was no longer predictive of death after accounting for these variables. South Asian ethnicity is independently associated with worse parameters of diastolic function in hypertension, despite African-Caribbeans having more prominent hypertrophy.

摘要

这项研究旨在建立非裔加勒比和南亚裔人群中种族与舒张功能障碍的关系,以及舒张功能障碍和种族对全因和心血管死亡率的影响。从英国种族超声心动图筛查研究(E-ECHOES)中确定了射血分数≥55%且无缺血性心脏病/瓣膜病病史的高血压患者(n=1546 例,830 例南亚裔和 716 例非裔加勒比裔)。通过超声心动图测量舒张功能和心脏重构。非裔加勒比种族与舒张功能障碍的患病率较低相关(比值比 0.67,95%置信区间 0.51-0.87,p=0.003)和左心室充盈压升高(比值比 0.48,95%置信区间 0.34-0.69,p<0.001)以及较低的左心房指数(p<0.001)。尽管非裔加勒比种族与更高的左心室质量指数独立相关(p<0.001),但事实仍然如此。在 68±21 个月的随访中,有 92 例死亡(6%)发生。在 Cox 回归分析中,南亚裔种族(p=0.024)在未调整舒张功能障碍参数的情况下是全因死亡的预测因素,但在考虑到这些变量后,它不再是死亡的预测因素。尽管非裔加勒比人更明显地存在肥大,但南亚裔种族在高血压中与舒张功能障碍的参数更差独立相关。

https://cdn.ncbi.nlm.nih.gov/pmc/blobs/86e8/6061936/7c6ab37a8806/emss-77044-f002.jpg
https://cdn.ncbi.nlm.nih.gov/pmc/blobs/86e8/6061936/25a519b7d09c/emss-77044-f001.jpg
https://cdn.ncbi.nlm.nih.gov/pmc/blobs/86e8/6061936/7c6ab37a8806/emss-77044-f002.jpg
https://cdn.ncbi.nlm.nih.gov/pmc/blobs/86e8/6061936/25a519b7d09c/emss-77044-f001.jpg
https://cdn.ncbi.nlm.nih.gov/pmc/blobs/86e8/6061936/7c6ab37a8806/emss-77044-f002.jpg

相似文献

1
Predictors of diastolic dysfunction in ethnic groups: observations from the Hypertensive Cohort of The Ethnic-Echocardiographic Heart of England Screening Study (E-ECHOES).不同种族人群舒张功能障碍的预测因素:来自英国种族超声心动图心脏筛查研究(E-ECHOES)高血压队列的观察结果。
J Hum Hypertens. 2018 Jul;32(7):477-486. doi: 10.1038/s41371-018-0064-z. Epub 2018 May 1.
2
Renal dysfunction and diastolic impairment among British ethnic minorities with hypertension: the Ethnic-Echocardiographic Heart of England Screening Study.英国高血压少数族裔中的肾功能不全与舒张功能障碍:英格兰种族超声心动图心脏筛查研究
J Hum Hypertens. 2017 Mar;31(3):206-211. doi: 10.1038/jhh.2016.68. Epub 2016 Sep 8.
3
Premature Cardiac Aging in South Asian Compared to Afro-Caribbean Subjects in a Community-Based Screening Study.一项基于社区筛查研究中,南亚人与非洲加勒比裔人群相比的心脏过早衰老情况。
J Am Heart Assoc. 2016 Nov 10;5(11):e004110. doi: 10.1161/JAHA.116.004110.
4
Left ventricular hypertrophy and mortality in ethnic minority groups in the UK: e-ECHOES study.英国少数民族的左心室肥厚和死亡率:e-ECHOES 研究。
J Hypertens. 2024 Jan 1;42(1):95-100. doi: 10.1097/HJH.0000000000003561. Epub 2023 Sep 14.
5
Rationale and study design of a cross sectional study documenting the prevalence of Heart Failure amongst the minority ethnic communities in the UK: the E-ECHOES Study (Ethnic--Echocardiographic Heart of England Screening Study).一项横断面研究的基本原理和研究设计,该研究记录了英国少数族裔社区中心力衰竭的患病率:E-ECHOES研究(英格兰种族-超声心动图心脏筛查研究)。
BMC Cardiovasc Disord. 2009 Sep 30;9:47. doi: 10.1186/1471-2261-9-47.
6
Hemostatic cardiovascular risk factors, common carotid-intima medial thickness and peripheral arterial disease in South Asians and African Caribbeans: a substudy to the Ethnic-Echocardiographic Heart of England Screening (E-ECHOES) study.南亚人和非加勒比黑人群体的止血心血管风险因素、颈总动脉内膜中层厚度和外周动脉疾病:英格兰心脏超声筛查(E-ECHOES)研究的一个亚研究。
J Thromb Haemost. 2011 Apr;9(4):645-52. doi: 10.1111/j.1538-7836.2011.04190.x.
7
Ethnicity and left ventricular diastolic function in hypertension an ASCOT (Anglo-Scandinavian Cardiac Outcomes Trial) substudy.高血压患者的种族与左心室舒张功能:ASCOT(盎格鲁-斯堪的纳维亚心脏结局试验)子研究
J Am Coll Cardiol. 2008 Sep 16;52(12):1015-21. doi: 10.1016/j.jacc.2008.04.065.
8
The contribution of cardiovascular risk factors to peripheral arterial disease in South Asians and Blacks: a sub-study to the Ethnic-Echocardiographic Heart of England Screening (E-ECHOES) study.心血管危险因素对南亚人和黑人外周动脉疾病的影响:英格兰心脏种族超声筛查(E-ECHOES)研究的子研究。
QJM. 2010 Sep;103(9):661-9. doi: 10.1093/qjmed/hcq102. Epub 2010 Jun 24.
9
The relationship between metabolic risk factors and incident cardiovascular disease in Europeans, South Asians, and African Caribbeans: SABRE (Southall and Brent Revisited) -- a prospective population-based study.代谢风险因素与欧洲人、南亚人和非裔加勒比人群心血管疾病发病的关系:SABRE(Southall 和 Brent 再探讨)——一项基于人群的前瞻性研究。
J Am Coll Cardiol. 2013 Apr 30;61(17):1777-86. doi: 10.1016/j.jacc.2012.12.046. Epub 2013 Feb 28.
10
Left-ventricular structure in the Southall And Brent REvisited (SABRE) study: explaining ethnic differences.萨瑟尔和布伦特研究再探(SABRE)中的左心室结构:解释种族差异。
Hypertension. 2013 May;61(5):1014-20. doi: 10.1161/HYPERTENSIONAHA.111.00610. Epub 2013 Mar 11.

引用本文的文献

1
Prevalence of left ventricular diastolic dysfunction in asymptomatic patients undergoing routine endoscopic urological surgery under regional anaesthesia-A prospective, observational study.区域麻醉下接受常规内镜泌尿外科手术的无症状患者左心室舒张功能障碍的患病率——一项前瞻性观察研究
Indian J Anaesth. 2023 Nov;67(Suppl 4):S281-S283. doi: 10.4103/ija.ija_594_23. Epub 2023 Nov 21.
2
Evaluation of Mitral and Aortic Valvular Disease and Left Ventricular Dysfunction in a Lebanese Population: Retrospective Single-Center Experience.评估黎巴嫩人群的二尖瓣和主动脉瓣疾病及左心室功能障碍:回顾性单中心经验。
Med Sci Monit. 2021 Feb 9;27:e928218. doi: 10.12659/MSM.928218.

本文引用的文献

1
Blood pressure and prognosis in patients with incident heart failure: the Diet, Cancer and Health (DCH) cohort study.新发心力衰竭患者的血压与预后:饮食、癌症与健康(DCH)队列研究
Clin Res Cardiol. 2015 Dec;104(12):1088-96. doi: 10.1007/s00392-015-0878-4. Epub 2015 Jun 26.
2
Diastolic pressure-volume quotient (DPVQ) as a novel echocardiographic index for estimation of LV stiffness in HFpEF.舒张期压力-容积商(DPVQ)作为评估射血分数保留的心力衰竭(HFpEF)患者左心室僵硬度的一种新型超声心动图指标。
Clin Res Cardiol. 2015 Nov;104(11):955-63. doi: 10.1007/s00392-015-0863-y. Epub 2015 May 9.
3
Prevalence of hypertension in member countries of South Asian Association for Regional Cooperation (SAARC): systematic review and meta-analysis.
南亚区域合作联盟(南盟)成员国高血压患病率:系统评价与荟萃分析
Medicine (Baltimore). 2014 Sep;93(13):e74. doi: 10.1097/MD.0000000000000074.
4
New strategies for heart failure with preserved ejection fraction: the importance of targeted therapies for heart failure phenotypes.射血分数保留的心力衰竭的新策略:针对心力衰竭表型的靶向治疗的重要性。
Eur Heart J. 2014 Oct 21;35(40):2797-815. doi: 10.1093/eurheartj/ehu204. Epub 2014 Aug 7.
5
Antihypertensive medication adherence and mortality according to ethnicity: a cohort study.根据种族划分的降压药物治疗依从性与死亡率:一项队列研究。
Can J Cardiol. 2014 Aug;30(8):925-31. doi: 10.1016/j.cjca.2014.04.017. Epub 2014 Apr 19.
6
Left ventricular hypertrophy detection from simple clinical measures combined with electrocardiographic criteria in a group of African ancestry.在一组非洲裔人群中,通过简单临床测量结合心电图标准检测左心室肥厚。
Clin Res Cardiol. 2014 Nov;103(11):921-9. doi: 10.1007/s00392-014-0730-2. Epub 2014 Jul 5.
7
Heart failure with preserved ejection fraction: a clinical dilemma.射血分数保留的心衰:临床困境。
Eur Heart J. 2014 Apr;35(16):1022-32. doi: 10.1093/eurheartj/ehu067. Epub 2014 Mar 11.
8
Hypertension and hypertensive heart disease in African women.非洲女性中的高血压及高血压性心脏病
Clin Res Cardiol. 2014 Jul;103(7):515-23. doi: 10.1007/s00392-014-0660-z. Epub 2014 Jan 28.
9
Hyperglycemia has a greater impact on left ventricle function in South Asians than in Europeans.与欧洲人相比,高血糖对南亚人的左心室功能影响更大。
Diabetes Care. 2014 Apr;37(4):1124-31. doi: 10.2337/dc13-1864. Epub 2013 Nov 15.
10
Incidence, cardiovascular complications and mortality of hypertension by sex and ethnicity.按性别和种族划分的高血压发病率、心血管并发症和死亡率。
Heart. 2013 May;99(10):715-21. doi: 10.1136/heartjnl-2012-303152. Epub 2013 Feb 12.