• 文献检索
  • 文档翻译
  • 深度研究
  • 学术资讯
  • Suppr Zotero 插件Zotero 插件
  • 邀请有礼
  • 套餐&价格
  • 历史记录
应用&插件
Suppr Zotero 插件Zotero 插件浏览器插件Mac 客户端Windows 客户端微信小程序
定价
高级版会员购买积分包购买API积分包
服务
文献检索文档翻译深度研究API 文档MCP 服务
关于我们
关于 Suppr公司介绍联系我们用户协议隐私条款
关注我们

Suppr 超能文献

核心技术专利:CN118964589B侵权必究
粤ICP备2023148730 号-1Suppr @ 2026

文献检索

告别复杂PubMed语法,用中文像聊天一样搜索,搜遍4000万医学文献。AI智能推荐,让科研检索更轻松。

立即免费搜索

文件翻译

保留排版,准确专业,支持PDF/Word/PPT等文件格式,支持 12+语言互译。

免费翻译文档

深度研究

AI帮你快速写综述,25分钟生成高质量综述,智能提取关键信息,辅助科研写作。

立即免费体验

医学针刺:对成熟肥厚性烧伤瘢痕水分及经表皮水分流失的影响

Medical Needling: Effect on Moisture and Transepidermal Water Loss of Mature Hypertrophic Burn Scars.

作者信息

Busch Kay-Hendrik, Aliu Antigona, Walezko Nicole, Aust Matthias

机构信息

Waldkrankenhaus Bonn, Johanniter Kliniken Bonn.

Medical Faculty, Heinrich-Heine-University.

出版信息

Cureus. 2018 Mar 26;10(3):e2365. doi: 10.7759/cureus.2365.

DOI:10.7759/cureus.2365
PMID:29805934
原文链接:https://pmc.ncbi.nlm.nih.gov/articles/PMC5969801/
Abstract

BACKGROUND

Burn scars remain a serious psychological and physiological problem for affected people. Clinical studies and scientific research have already shown that medical needling improves the scar quality in terms of skin elasticity and erythema. At the same time, patients are confronted with a low-risk therapy and face comparatively less postoperative complications.

OBJECTIVE

The goal of our study was to examine the influence of medical needling on the skin moisture and transepidermal water loss (TEWL) of hypertrophic dry scars. Therefore, 20 patients, of an average age of 34.63 years, with deep second- and third-degree burn scars have been treated.

METHODS

Medical needling is performed using a roller covered with needles of 3-mm length. The needling device is rolled over the scar in three directions: vertically, horizontally, and diagonally in order to create as many puncture channels as possible. The puncturing leads to multiple micro-wounds and intradermal bleeding, which evokes the post-needling regeneration cascade. The patients were followed up for 12 months postoperatively. The results have been evaluated by means of objective as well as subjective measurement methods.

RESULTS

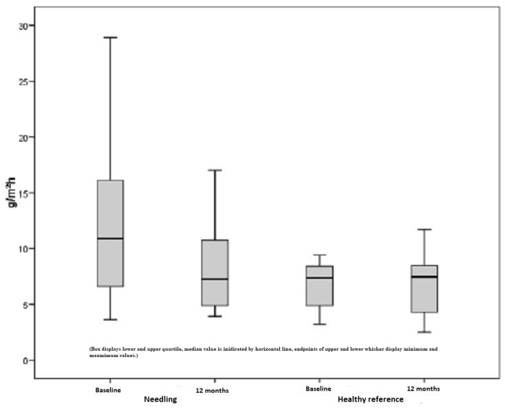
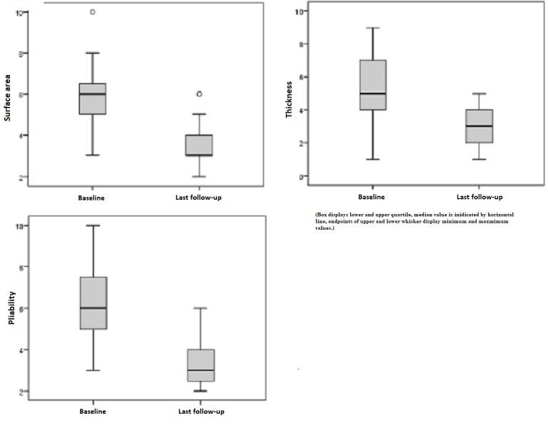
The objective measures show that medical needling influences epidermal thickness and improves the epidermal barrier function at a molecular level. Outcomes are marked by a measurable increase in skin moisture and a reduction in TEWL.

CONCLUSION

Medical needling seems to be a promising approach for the treatment of mature hypertrophic burn scars with a focus on skin moisture and TEWL.

摘要

背景

烧伤疤痕对患者来说仍然是一个严重的心理和生理问题。临床研究和科学研究已经表明,医学针刺在改善疤痕皮肤弹性和红斑方面可提升疤痕质量。同时,患者面临的是一种低风险治疗,术后并发症相对较少。

目的

我们研究的目的是检验医学针刺对肥厚性干燥疤痕皮肤水分及经表皮水分流失(TEWL)的影响。因此,我们对20名平均年龄为34.63岁、有深二度和三度烧伤疤痕的患者进行了治疗。

方法

使用覆盖有3毫米长针头的滚轮进行医学针刺。将针刺装置在疤痕上沿三个方向滚动:垂直、水平和对角,以尽可能多地制造穿刺通道。穿刺会导致多处微小伤口和真皮内出血,从而引发针刺后的再生级联反应。术后对患者进行了12个月的随访。结果通过客观和主观测量方法进行评估。

结果

客观测量表明,医学针刺会影响表皮厚度,并在分子水平上改善表皮屏障功能。结果表现为皮肤水分可测量地增加以及TEWL降低。

结论

医学针刺似乎是一种有前景的治疗成熟肥厚性烧伤疤痕的方法,其重点在于皮肤水分和TEWL。

https://cdn.ncbi.nlm.nih.gov/pmc/blobs/5e07/5969801/2ed679311078/cureus-0010-00000002365-i16.jpg
https://cdn.ncbi.nlm.nih.gov/pmc/blobs/5e07/5969801/451395f0dbcb/cureus-0010-00000002365-i01.jpg
https://cdn.ncbi.nlm.nih.gov/pmc/blobs/5e07/5969801/15381281e7a4/cureus-0010-00000002365-i02.jpg
https://cdn.ncbi.nlm.nih.gov/pmc/blobs/5e07/5969801/0e8d7ba86c25/cureus-0010-00000002365-i03.jpg
https://cdn.ncbi.nlm.nih.gov/pmc/blobs/5e07/5969801/bfe6b8ec0330/cureus-0010-00000002365-i04.jpg
https://cdn.ncbi.nlm.nih.gov/pmc/blobs/5e07/5969801/ec26d83c5d82/cureus-0010-00000002365-i05.jpg
https://cdn.ncbi.nlm.nih.gov/pmc/blobs/5e07/5969801/fbcfd357d608/cureus-0010-00000002365-i06.jpg
https://cdn.ncbi.nlm.nih.gov/pmc/blobs/5e07/5969801/e66eaf14e68c/cureus-0010-00000002365-i07.jpg
https://cdn.ncbi.nlm.nih.gov/pmc/blobs/5e07/5969801/d20d311a3a21/cureus-0010-00000002365-i08.jpg
https://cdn.ncbi.nlm.nih.gov/pmc/blobs/5e07/5969801/cfe0bacbe215/cureus-0010-00000002365-i09.jpg
https://cdn.ncbi.nlm.nih.gov/pmc/blobs/5e07/5969801/8047340ca7d3/cureus-0010-00000002365-i10.jpg
https://cdn.ncbi.nlm.nih.gov/pmc/blobs/5e07/5969801/a22c0ad56f8d/cureus-0010-00000002365-i11.jpg
https://cdn.ncbi.nlm.nih.gov/pmc/blobs/5e07/5969801/34614c1c72b2/cureus-0010-00000002365-i12.jpg
https://cdn.ncbi.nlm.nih.gov/pmc/blobs/5e07/5969801/437bf3f66828/cureus-0010-00000002365-i13.jpg
https://cdn.ncbi.nlm.nih.gov/pmc/blobs/5e07/5969801/3288bb7f243d/cureus-0010-00000002365-i14.jpg
https://cdn.ncbi.nlm.nih.gov/pmc/blobs/5e07/5969801/608fcf891aaa/cureus-0010-00000002365-i15.jpg
https://cdn.ncbi.nlm.nih.gov/pmc/blobs/5e07/5969801/2ed679311078/cureus-0010-00000002365-i16.jpg
https://cdn.ncbi.nlm.nih.gov/pmc/blobs/5e07/5969801/451395f0dbcb/cureus-0010-00000002365-i01.jpg
https://cdn.ncbi.nlm.nih.gov/pmc/blobs/5e07/5969801/15381281e7a4/cureus-0010-00000002365-i02.jpg
https://cdn.ncbi.nlm.nih.gov/pmc/blobs/5e07/5969801/0e8d7ba86c25/cureus-0010-00000002365-i03.jpg
https://cdn.ncbi.nlm.nih.gov/pmc/blobs/5e07/5969801/bfe6b8ec0330/cureus-0010-00000002365-i04.jpg
https://cdn.ncbi.nlm.nih.gov/pmc/blobs/5e07/5969801/ec26d83c5d82/cureus-0010-00000002365-i05.jpg
https://cdn.ncbi.nlm.nih.gov/pmc/blobs/5e07/5969801/fbcfd357d608/cureus-0010-00000002365-i06.jpg
https://cdn.ncbi.nlm.nih.gov/pmc/blobs/5e07/5969801/e66eaf14e68c/cureus-0010-00000002365-i07.jpg
https://cdn.ncbi.nlm.nih.gov/pmc/blobs/5e07/5969801/d20d311a3a21/cureus-0010-00000002365-i08.jpg
https://cdn.ncbi.nlm.nih.gov/pmc/blobs/5e07/5969801/cfe0bacbe215/cureus-0010-00000002365-i09.jpg
https://cdn.ncbi.nlm.nih.gov/pmc/blobs/5e07/5969801/8047340ca7d3/cureus-0010-00000002365-i10.jpg
https://cdn.ncbi.nlm.nih.gov/pmc/blobs/5e07/5969801/a22c0ad56f8d/cureus-0010-00000002365-i11.jpg
https://cdn.ncbi.nlm.nih.gov/pmc/blobs/5e07/5969801/34614c1c72b2/cureus-0010-00000002365-i12.jpg
https://cdn.ncbi.nlm.nih.gov/pmc/blobs/5e07/5969801/437bf3f66828/cureus-0010-00000002365-i13.jpg
https://cdn.ncbi.nlm.nih.gov/pmc/blobs/5e07/5969801/3288bb7f243d/cureus-0010-00000002365-i14.jpg
https://cdn.ncbi.nlm.nih.gov/pmc/blobs/5e07/5969801/608fcf891aaa/cureus-0010-00000002365-i15.jpg
https://cdn.ncbi.nlm.nih.gov/pmc/blobs/5e07/5969801/2ed679311078/cureus-0010-00000002365-i16.jpg

相似文献

1
Medical Needling: Effect on Moisture and Transepidermal Water Loss of Mature Hypertrophic Burn Scars.医学针刺:对成熟肥厚性烧伤瘢痕水分及经表皮水分流失的影响
Cureus. 2018 Mar 26;10(3):e2365. doi: 10.7759/cureus.2365.
2
[Medical Needling: effect on skin tension and elasticity of hypertrophic burn scars].[医学针刺:对增生性烧伤瘢痕皮肤张力和弹性的影响]
Handchir Mikrochir Plast Chir. 2019 Sep;51(5):384-393. doi: 10.1055/a-0996-8572. Epub 2019 Oct 1.
3
Medical Needling: Effect on Skin Erythema of Hypertrophic Burn Scars.医学针刺:对肥厚性烧伤瘢痕皮肤红斑的影响
Cureus. 2018 Sep 6;10(9):e3260. doi: 10.7759/cureus.3260.
4
Combination of medical needling and non-cultured autologous skin cell transplantation (ReNovaCell) for repigmentation of hypopigmented burn scars.医学针刺与非培养自体皮肤细胞移植(ReNovaCell)联合用于色素减退性烧伤瘢痕的色素再沉着。
Burns. 2016 Nov;42(7):1556-1566. doi: 10.1016/j.burns.2016.04.009. Epub 2016 May 4.
5
[Autologous Skin Cell Transplantation and Medical Needling for Repigmentation of Depigmented Burn Scars on UV-protected and UV-exposed Skin].[自体皮肤细胞移植与医学针刺用于紫外线防护皮肤和紫外线暴露皮肤色素脱失性烧伤瘢痕的色素再沉着]
Handchir Mikrochir Plast Chir. 2016 Dec;48(6):346-353. doi: 10.1055/s-0042-117009. Epub 2016 Nov 11.
6
Combination of medical needling and non-cultured autologous skin cell transplantation (renovacell) for repigmentation of hypopigmented burn scars in children and young people.医学针刺与非培养自体皮肤细胞移植(renovacell)联合用于儿童和青少年色素减退性烧伤瘢痕的色素沉着恢复
Ann Burns Fire Disasters. 2016 Jun 30;29(2):116-122.
7
The effects of shock wave therapy applied on hypertrophic burn scars: a randomised controlled trial.冲击波疗法对肥厚性烧伤瘢痕的影响:一项随机对照试验。
Scars Burn Heal. 2020 Dec 2;6:2059513120975624. doi: 10.1177/2059513120975624. eCollection 2020 Jan-Dec.
8
[Transepidermal water loss of scar skin in three types of scar patients and its correlation with scar severity].[三种瘢痕患者瘢痕皮肤的经表皮水分流失及其与瘢痕严重程度的相关性]
Zhonghua Shao Shang Za Zhi. 2021 Jul 20;37(7):629-634. doi: 10.3760/cma.j.cn501120-20200310-00145.
9
Transepidermal water loss measured with the Tewameter TM300 in burn scars.使用Tewameter TM300测量烧伤瘢痕的经表皮水分流失。
Burns. 2016 Nov;42(7):1455-1462. doi: 10.1016/j.burns.2016.04.018. Epub 2016 May 24.
10
The effect of burn rehabilitation massage therapy on hypertrophic scar after burn: a randomized controlled trial.烧伤康复按摩疗法对烧伤后增生性瘢痕的影响:一项随机对照试验。
Burns. 2014 Dec;40(8):1513-20. doi: 10.1016/j.burns.2014.02.005. Epub 2014 Mar 12.

引用本文的文献

1
A bioactive three-layered skin substitute based on ECM components effectively promotes skin wound healing and regeneration.一种基于细胞外基质成分的具有生物活性的三层皮肤替代物能有效促进皮肤伤口愈合与再生。
Mater Today Bio. 2025 Feb 20;31:101592. doi: 10.1016/j.mtbio.2025.101592. eCollection 2025 Apr.
2
Evaluating the Irritant Factors of Silicone and Hydrocolloid Skin Contact Adhesives Using Trans-Epidermal Water Loss, Protein Stripping, Erythema, and Ease of Removal.评估硅酮和水胶体皮肤接触性胶粘剂的刺激性因素:经表皮水分丢失、蛋白洗脱、红斑和移除容易度。
ACS Appl Bio Mater. 2024 Jan 15;7(1):284-296. doi: 10.1021/acsabm.3c00874. Epub 2023 Dec 27.
3

本文引用的文献

1
Evaporative Water Loss in Superficial to Full Thickness Burns.浅度至深度烧伤的蒸发失水量
Ann Plast Surg. 2016 Oct;77(4):401-5. doi: 10.1097/SAP.0000000000000845.
2
Transepidermal water loss measured with the Tewameter TM300 in burn scars.使用Tewameter TM300测量烧伤瘢痕的经表皮水分流失。
Burns. 2016 Nov;42(7):1455-1462. doi: 10.1016/j.burns.2016.04.018. Epub 2016 May 24.
3
The Use of Silicone Adhesives for Scar Reduction.硅胶粘合剂在减少疤痕方面的应用。
Concepts in soft-tissue reconstruction of the contracted hand and upper extremity after burn injury.
烧伤后手部和上肢挛缩的软组织重建概念
Front Surg. 2023 May 3;10:1118810. doi: 10.3389/fsurg.2023.1118810. eCollection 2023.
4
[Transepidermal water loss of scar skin in three types of scar patients and its correlation with scar severity].[三种瘢痕患者瘢痕皮肤的经表皮水分流失及其与瘢痕严重程度的相关性]
Zhonghua Shao Shang Za Zhi. 2021 Jul 20;37(7):629-634. doi: 10.3760/cma.j.cn501120-20200310-00145.
5
Microneedling for the Treatment of Scars: An Update for Clinicians.微针治疗瘢痕:临床医生最新指南
Clin Cosmet Investig Dermatol. 2020 Dec 22;13:997-1003. doi: 10.2147/CCID.S267192. eCollection 2020.
6
The Current Status of Clinical Research Involving Microneedles: A Systematic Review.涉及微针的临床研究现状:一项系统综述。
Pharmaceutics. 2020 Nov 19;12(11):1113. doi: 10.3390/pharmaceutics12111113.
Adv Wound Care (New Rochelle). 2015 Jul 1;4(7):422-430. doi: 10.1089/wound.2015.0625.
4
Reliability of Repeated Measurements on Post-Burn Scars with Corneometer CM 825(®).使用角质层水合测量仪CM 825(®)对烧伤后瘢痕进行重复测量的可靠性。
Skin Res Technol. 2015 Aug;21(3):302-12. doi: 10.1111/srt.12193. Epub 2014 Nov 10.
5
Management of scars: updated practical guidelines and use of silicones.瘢痕管理:更新的实用指南和硅酮的应用。
Eur J Dermatol. 2014 Jul-Aug;24(4):435-43. doi: 10.1684/ejd.2014.2356.
6
Update on hypertrophic scar treatment.肥厚性瘢痕治疗的最新进展。
Clinics (Sao Paulo). 2014 Aug;69(8):565-73. doi: 10.6061/clinics/2014(08)11.
7
Epidemiology of burns throughout the World. Part II: intentional burns in adults.烧伤的全球流行病学。第二部分:成人故意烧伤。
Burns. 2012 Aug;38(5):630-7. doi: 10.1016/j.burns.2011.12.028. Epub 2012 Feb 9.
8
Update on pruritic mechanisms of hypertrophic scars in postburn patients: the potential role of opioids and their receptors.烧伤后患者增生性瘢痕瘙痒机制的最新进展:阿片类药物及其受体的潜在作用
J Burn Care Res. 2011 Jul-Aug;32(4):e118-25. doi: 10.1097/BCR.0b013e3182223c32.
9
Percutaneous collagen induction. Scarless skin rejuvenation: fact or fiction?经皮胶原诱导。无痕皮肤年轻化:事实还是虚构?
Clin Exp Dermatol. 2010 Jun;35(4):437-9. doi: 10.1111/j.1365-2230.2010.03779.x. Epub 2010 Mar 10.
10
Location-related differences in structure and function of the stratum corneum with special emphasis on those of the facial skin.角质层结构和功能的部位相关差异,特别强调面部皮肤的差异。
Int J Cosmet Sci. 2008 Dec;30(6):413-34. doi: 10.1111/j.1468-2494.2008.00459.x.