Suppr超能文献

比较降钙素原、C 反应蛋白、白细胞计数和临床状况在诊断住院治疗 COPD 急性加重患者肺炎中的作用:一项前瞻性观察研究。

Comparison of procalcitonin, C-reactive protein, white blood cell count and clinical status in diagnosing pneumonia in patients hospitalized with acute exacerbations of COPD: A prospective observational study.

机构信息

1 Department of Circulation and Medical Imaging, Norwegian University of Science and Technology, Trondheim, Norway.

2 Department of Thoracic and Occupational Medicine, Trondheim University Hospital, Trondheim, Norway.

出版信息

Chron Respir Dis. 2019 Jan-Dec;16:1479972318769762. doi: 10.1177/1479972318769762. Epub 2018 May 30.

Abstract

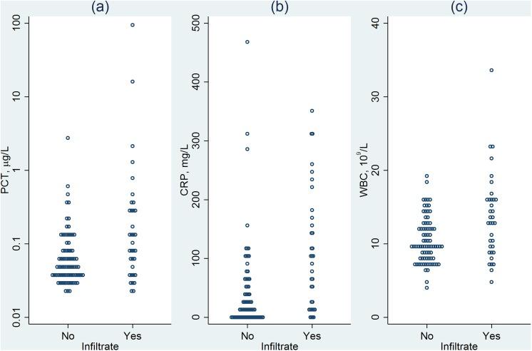
Lower respiratory tract infection is the most common cause of acute exacerbations of chronic obstructive pulmonary disease (AECOPD). The aim of the present study was to compare the accuracy of procalcitonin (PCT), C-reactive protein (CRP) and white blood cell count (WBC) as single diagnostic tests and in combination with clinical signs and symptoms to diagnose pneumonia in patients hospitalized with AECOPD. This was a prospective, single centre observational study. Patients with spirometry-confirmed COPD who were hospitalized due to AECOPD were consecutively recruited at the hospital's Emergency Unit. Pneumonia was defined as a new pulmonary infiltrate on chest X-ray. The values of PCT, CRP and WBC were determined at admission. Receiver operating characteristic (ROC) curve analysis was used to study the accuracy of various diagnostic tests. Of the 113 included patients, 35 (31%) had pneumonia at admission. Area under the ROC curve (AUC) for PCT, CRP and WBC as a single test to distinguish between patients with and without pneumonia was 0.67 (95% CI 0.55-0.79), 0.73 (95% CI 0.63-0.84) and 0.67 (95% CI 0.55-0.79), respectively ( p = 0.42 for the test of difference). The AUC for a model of clinical signs and symptoms was 0.84 (95% CI 0.76-0.92). When biomarkers were added to the clinical model, the AUCs of the combined models were not significantly different from that of the clinical model alone ( p = 0.54). PCT had about the same accuracy as CRP and WBC in predicting pneumonia in patients hospitalized with AECOPD both as a single test and in combination with clinical signs and symptoms.

摘要

下呼吸道感染是慢性阻塞性肺疾病(COPD)急性加重(AECOPD)最常见的原因。本研究旨在比较降钙素原(PCT)、C 反应蛋白(CRP)和白细胞计数(WBC)作为单一诊断检测指标,以及结合临床症状和体征,对因 AECOPD 住院的患者进行肺炎诊断的准确性。这是一项前瞻性、单中心观察性研究。在医院急诊室连续招募了经肺量计确诊的 COPD 患者,这些患者因 AECOPD 住院。肺炎定义为胸部 X 线新出现肺部浸润。入院时测定 PCT、CRP 和 WBC 值。采用受试者工作特征(ROC)曲线分析研究各种诊断检测的准确性。在纳入的 113 例患者中,35 例(31%)入院时患有肺炎。PCT、CRP 和 WBC 作为单一检测指标区分有无肺炎患者的 ROC 曲线下面积(AUC)分别为 0.67(95%CI 0.55-0.79)、0.73(95%CI 0.63-0.84)和 0.67(95%CI 0.55-0.79)(差异检验 p = 0.42)。临床症状和体征模型的 AUC 为 0.84(95%CI 0.76-0.92)。当将生物标志物添加到临床模型中时,联合模型的 AUC 与单独的临床模型没有显著差异(p = 0.54)。PCT 作为单一检测指标以及与临床症状和体征结合使用时,预测因 AECOPD 住院的患者肺炎的准确性与 CRP 和 WBC 相当。

https://cdn.ncbi.nlm.nih.gov/pmc/blobs/d8de/6302976/26072aafea50/10.1177_1479972318769762-fig1.jpg

文献AI研究员

20分钟写一篇综述,助力文献阅读效率提升50倍。

立即体验

用中文搜PubMed

大模型驱动的PubMed中文搜索引擎

马上搜索

文档翻译

学术文献翻译模型,支持多种主流文档格式。

立即体验