Suppr超能文献

蒙古国基于家庭消费和支出数据评估膳食食物和营养素摄入量及摄入量密度的方法比较。

Comparison of Methods for Estimating Dietary Food and Nutrient Intakes and Intake Densities from Household Consumption and Expenditure Data in Mongolia.

机构信息

Department of Nutrition, Harvard T.H. Chan School of Public Health, Harvard University, Boston, MA 02115, USA.

Department of Biostatistics, Harvard T.H. Chan School of Public Health, Harvard University, Boston, MA 02115, USA.

出版信息

Nutrients. 2018 May 31;10(6):703. doi: 10.3390/nu10060703.

Abstract

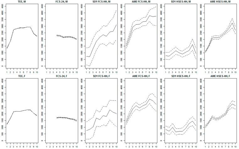
Household consumption and expenditure surveys are frequently conducted around the world and they usually include data on household food consumption, but their applicability to nutrition research is limited by their collection at the household level. Using data from Mongolia, this study evaluated four approaches for estimating diet from household surveys: direct inference from per-capita household consumption; disaggregation of household consumption using a statistical method and the "adult male equivalent" method, and direct prediction of dietary intake. Per-capita household consumption overestimated dietary energy in single- and multi-person households by factors of 2.63 and 1.89, respectively. Performance of disaggregation methods was variable across two household surveys analyzed, while the statistical method exhibited less bias in estimating intake densities (per 100 kcal) of most dietary components in both of the surveys. Increasingly complex prediction models explained 54% to 72% of in-sample variation in dietary energy, with consistent benefits incurred by inclusion of basic dietary measurements. In conclusion, in Mongolia and elsewhere, differences in how household and dietary measurements are recorded make their comparison challenging. Validity of disaggregation methods depends on household survey characteristics and the dietary components that are considered. Relatively precise prediction models of dietary intake can be achieved by integrating basic dietary assessment into household surveys.

摘要

家庭消费和支出调查在世界各地经常进行,它们通常包括家庭食品消费数据,但由于这些调查是在家庭层面收集的,因此其在营养研究中的适用性有限。本研究利用蒙古的数据,评估了从家庭调查中估算饮食的四种方法:人均家庭消费的直接推断;使用统计方法和“成年男性当量”方法对家庭消费进行细分,以及直接预测饮食摄入量。人均家庭消费分别高估了单人家庭和多人家庭的膳食能量 2.63 倍和 1.89 倍。两种分析的家庭调查中,细分方法的性能各不相同,而统计方法在两个调查中对大多数膳食成分的摄入量密度(每 100 千卡)的估计偏差较小。越来越复杂的预测模型解释了膳食能量的样本内变化的 54%至 72%,通过包含基本饮食测量值,可以持续获得收益。总之,在蒙古和其他地方,家庭和饮食测量的记录方式的差异使得它们的比较具有挑战性。细分方法的有效性取决于家庭调查的特征和所考虑的膳食成分。通过将基本饮食评估纳入家庭调查,可以实现相对精确的饮食摄入量预测模型。

https://cdn.ncbi.nlm.nih.gov/pmc/blobs/f9db/6024672/8338f677359b/nutrients-10-00703-g001.jpg

文献检索

告别复杂PubMed语法,用中文像聊天一样搜索,搜遍4000万医学文献。AI智能推荐,让科研检索更轻松。

立即免费搜索

文件翻译

保留排版,准确专业,支持PDF/Word/PPT等文件格式,支持 12+语言互译。

免费翻译文档

深度研究

AI帮你快速写综述,25分钟生成高质量综述,智能提取关键信息,辅助科研写作。

立即免费体验