Suppr超能文献

荷兰版艾伯格儿童行为量表的常模:与其他西方国家的比较。

Dutch Norms for the Eyberg Child Behavior Inventory: Comparisons with other Western Countries.

作者信息

Weeland Joyce, van Aar Jolien, Overbeek Geertjan

机构信息

1Forensic Child and Youth Care, Research Institute of Child Development and Education, University of Amsterdam, Amsterdam, The Netherlands.

2Preventive Youth Care, Research Institute of Child Development and Education, University of Amsterdam, Amsterdam, The Netherlands.

出版信息

J Psychopathol Behav Assess. 2018;40(2):224-234. doi: 10.1007/s10862-017-9639-1. Epub 2017 Dec 2.

Abstract

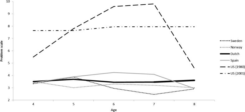
The Eyberg Child Behavior Inventory (ECBI) is one of the most widely used and well-validated parent rating scales for children's disruptive behavior. This screening instrument is a short, targetted and easy to implement inventory with good psychometric properties and is normed for different countries, among which the United States, Spain, Sweden and Norway. The ECBI has been successfully used for research and clinical purposes, in several countries including The Netherlands. To date, Dutch studies have relied on Scandinavian or US norm scores. However, this may be problematic because of cross-cultural differences in the degree to which certain behaviors are seen as problematic by parents. The main goal of this paper therefore was to obtain norm scores for The Netherlands among 6462 Dutch children aged 4 to 8 years ( = 6.37 years;  = 1.32; 50.6% boys). In line with previous research, we found small differences on the mean sum scores across children of different ages (intensity scale) and gender (intensity and problem scale). Therefore, Dutch norm scores were provided age- and gender specific. Our results showed that disruptive behavior of children in the most rural areas was reported as occurring less frequently and was seen as less problematic by parents compared to the disruptive behavior of children in less rural areas. Finally, we found that Dutch norm scores on the ECBI were significantly lower than US norm scores, and significantly higher on the intensity scale (but not the problem scale) than Norwegian and Swedish norm scores.

摘要

艾伯格儿童行为量表(ECBI)是用于评估儿童破坏性行为的最广泛使用且经过充分验证的家长评定量表之一。这种筛查工具是一种简短、有针对性且易于实施的量表,具有良好的心理测量特性,并且已在不同国家进行了标准化,包括美国、西班牙、瑞典和挪威。ECBI已成功用于多个国家的研究和临床目的,包括荷兰。迄今为止,荷兰的研究一直依赖于斯堪的纳维亚或美国的常模分数。然而,这可能存在问题,因为某些行为在多大程度上被家长视为有问题存在跨文化差异。因此,本文的主要目标是获取6462名4至8岁荷兰儿童(平均年龄=6.37岁;标准差=1.32;50.6%为男孩)的荷兰常模分数。与先前的研究一致,我们发现不同年龄(强度量表)和性别的儿童在平均总分上存在细微差异(强度量表和问题量表)。因此,提供了按年龄和性别划分的荷兰常模分数。我们的结果表明,与农村地区较少的儿童相比,农村地区最多的儿童的破坏性行为被报告发生频率较低,且家长认为问题较小。最后,我们发现ECBI上的荷兰常模分数显著低于美国常模分数,在强度量表上(但不在问题量表上)显著高于挪威和瑞典常模分数。

https://cdn.ncbi.nlm.nih.gov/pmc/blobs/b7f7/5978845/ba45ff9e046c/10862_2017_9639_Fig1_HTML.jpg

文献检索

告别复杂PubMed语法,用中文像聊天一样搜索,搜遍4000万医学文献。AI智能推荐,让科研检索更轻松。

立即免费搜索

文件翻译

保留排版,准确专业,支持PDF/Word/PPT等文件格式,支持 12+语言互译。

免费翻译文档

深度研究

AI帮你快速写综述,25分钟生成高质量综述,智能提取关键信息,辅助科研写作。

立即免费体验