Department of Physiology and Cell Biology, Leibniz Institute of Plant Genetics and Crop Plant Research (IPK) Gatersleben, Stadt Seeland, Germany.
Department of Breeding Research, Leibniz Institute of Plant Genetics and Crop Plant Research (IPK) Gatersleben, Stadt Seeland, Germany.
J Exp Bot. 2018 Jul 18;69(16):3883-3898. doi: 10.1093/jxb/ery200.
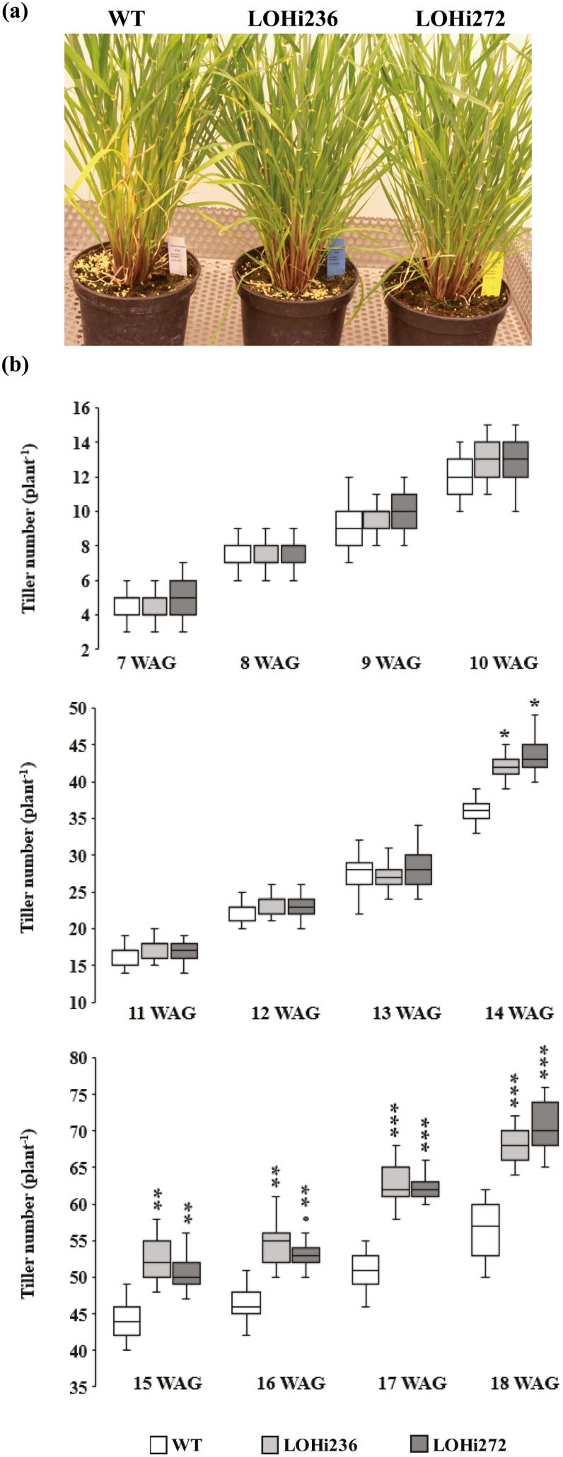
Strigolactones (SLs) represent a class of plant hormones that are involved in inhibiting shoot branching and in promoting abiotic stress responses. There is evidence that the biosynthetic pathways of SLs and abscisic acid (ABA) are functionally connected. However, little is known about the mechanisms underlying the interaction of SLs and ABA, and the relevance of this interaction for shoot architecture. Based on sequence homology, four genes (HvD27, HvMAX1, HvCCD7, and HvCCD8) involved in SL biosynthesis were identified in barley and functionally verified by complementation of Arabidopsis mutants or by virus-induced gene silencing. To investigate the influence of ABA on SLs, two transgenic lines accumulating ABA as a result of RNAi-mediated down-regulation of HvABA 8'-hydroxylase 1 and 3 were employed. LC-MS/MS analysis confirmed higher ABA levels in root and stem base tissues in these transgenic lines. Both lines showed enhanced tiller formation and lower concentrations of 5-deoxystrigol in root exudates, which was detected for the first time as a naturally occurring SL in barley. Lower expression levels of HvD27, HvMAX1, HvCCD7, and HvCCD8 indicated that ABA suppresses SL biosynthesis, leading to enhanced tiller formation in barley.
独脚金内酯(SLs)是一类植物激素,参与抑制侧芽分枝和促进非生物胁迫响应。有证据表明,SLs 和脱落酸(ABA)的生物合成途径在功能上是相连的。然而,对于 SLs 和 ABA 相互作用的机制以及这种相互作用对芽结构的相关性,我们知之甚少。基于序列同源性,在大麦中鉴定出了参与 SL 生物合成的四个基因(HvD27、HvMAX1、HvCCD7 和 HvCCD8),并通过拟南芥突变体的互补或病毒诱导的基因沉默来验证其功能。为了研究 ABA 对 SLs 的影响,我们利用 RNAi 介导的 HvABA 8'-羟化酶 1 和 3 下调导致 ABA 积累的两个转基因系进行了研究。LC-MS/MS 分析证实,这些转基因系的根和茎基部组织中 ABA 水平升高。这两个系都表现出更多的分蘖形成和根分泌物中 5-脱甲独脚金内酯浓度降低,这是首次在大麦中检测到作为天然存在的 SL。HvD27、HvMAX1、HvCCD7 和 HvCCD8 的表达水平降低表明 ABA 抑制了 SL 的生物合成,导致大麦分蘖形成增强。