Suppr超能文献

养殖的鲷鱼()和鲈鱼()在地理上相距遥远的种群中的肠道细菌群落。

Gut Bacterial Communities in Geographically Distant Populations of Farmed Sea Bream () and Sea Bass ().

作者信息

Nikouli Eleni, Meziti Alexandra, Antonopoulou Efthimia, Mente Eleni, Kormas Konstantinos A

机构信息

Department of Ichthyology and Aquatic Environment, School of Agricultural Sciences, University of Thessaly, Volos 384 46, Greece.

Laboratory of Animal Physiology, Department of Zoology, School of Biology, Aristotle University of Thessaloniki, Thessaloniki 541 24, Greece.

出版信息

Microorganisms. 2018 Sep 1;6(3):92. doi: 10.3390/microorganisms6030092.

Abstract

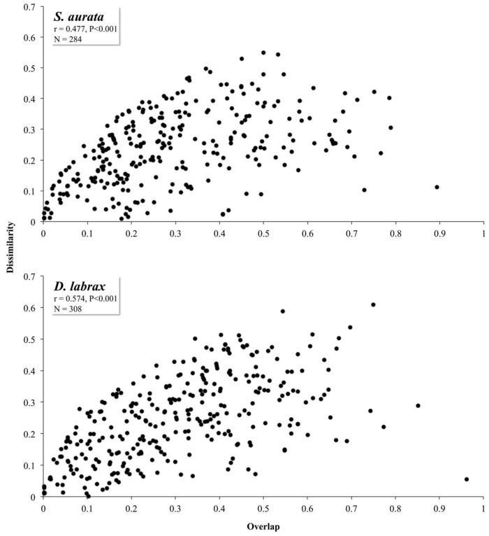
This study investigated the profile of the autochthonous gut bacterial communities in adult individuals of and reared in sea cages in five distantly located aquaculture farms in Greece and determine the impact of geographic location on them in order to detect the core gut microbiota of these commercially important fish species. Data analyses resulted in no significant geographic impact in the gut microbial communities within the two host species, while strong similarities between them were also present. Our survey revealed the existence of a core gut microbiota within and between the two host species independent of diet and geographic location consisting of the , , , , and genera.

摘要

本研究调查了希腊五个地理位置相距较远的水产养殖场中,在海水网箱中饲养的成年和的本地肠道细菌群落概况,并确定地理位置对它们的影响,以便检测这些具有重要商业价值的鱼类的核心肠道微生物群。数据分析结果表明,在两种宿主物种的肠道微生物群落中,地理位置没有显著影响,同时它们之间也存在很强的相似性。我们的调查揭示了在两种宿主物种内部和之间存在一个独立于饮食和地理位置的核心肠道微生物群,其由、、、和属组成。

https://cdn.ncbi.nlm.nih.gov/pmc/blobs/e03d/6164763/e4b20af09c23/microorganisms-06-00092-g001.jpg

文献检索

告别复杂PubMed语法,用中文像聊天一样搜索,搜遍4000万医学文献。AI智能推荐,让科研检索更轻松。

立即免费搜索

文件翻译

保留排版,准确专业,支持PDF/Word/PPT等文件格式,支持 12+语言互译。

免费翻译文档

深度研究

AI帮你快速写综述,25分钟生成高质量综述,智能提取关键信息,辅助科研写作。

立即免费体验