• 文献检索
  • 文档翻译
  • 深度研究
  • 学术资讯
  • Suppr Zotero 插件Zotero 插件
  • 邀请有礼
  • 套餐&价格
  • 历史记录
应用&插件
Suppr Zotero 插件Zotero 插件浏览器插件Mac 客户端Windows 客户端微信小程序
定价
高级版会员购买积分包购买API积分包
服务
文献检索文档翻译深度研究API 文档MCP 服务
关于我们
关于 Suppr公司介绍联系我们用户协议隐私条款
关注我们

Suppr 超能文献

核心技术专利:CN118964589B侵权必究
粤ICP备2023148730 号-1Suppr @ 2026

文献检索

告别复杂PubMed语法,用中文像聊天一样搜索,搜遍4000万医学文献。AI智能推荐,让科研检索更轻松。

立即免费搜索

文件翻译

保留排版,准确专业,支持PDF/Word/PPT等文件格式,支持 12+语言互译。

免费翻译文档

深度研究

AI帮你快速写综述,25分钟生成高质量综述,智能提取关键信息,辅助科研写作。

立即免费体验

用于闪存的五氧化二铌及钛掺杂五氧化二铌电荷俘获纳米层

Nb₂O₅ and Ti-Doped Nb₂O₅ Charge Trapping Nano-Layers Applied in Flash Memory.

作者信息

Wang Jer Chyi, Kao Chyuan Haur, Wu Chien Hung, Lin Chun Fu, Lin Chih Ju

机构信息

Department of Electronic Engineering, Chang Gung University, Guishan Dist., Taoyuan 33302, Taiwan.

Department of Neurosurgery, Chang Gung Memorial Hospital, Linkou, Guishan Dist., Taoyuan 33305, Taiwan.

出版信息

Nanomaterials (Basel). 2018 Oct 8;8(10):799. doi: 10.3390/nano8100799.

DOI:10.3390/nano8100799
PMID:30297613
原文链接:https://pmc.ncbi.nlm.nih.gov/articles/PMC6215173/
Abstract

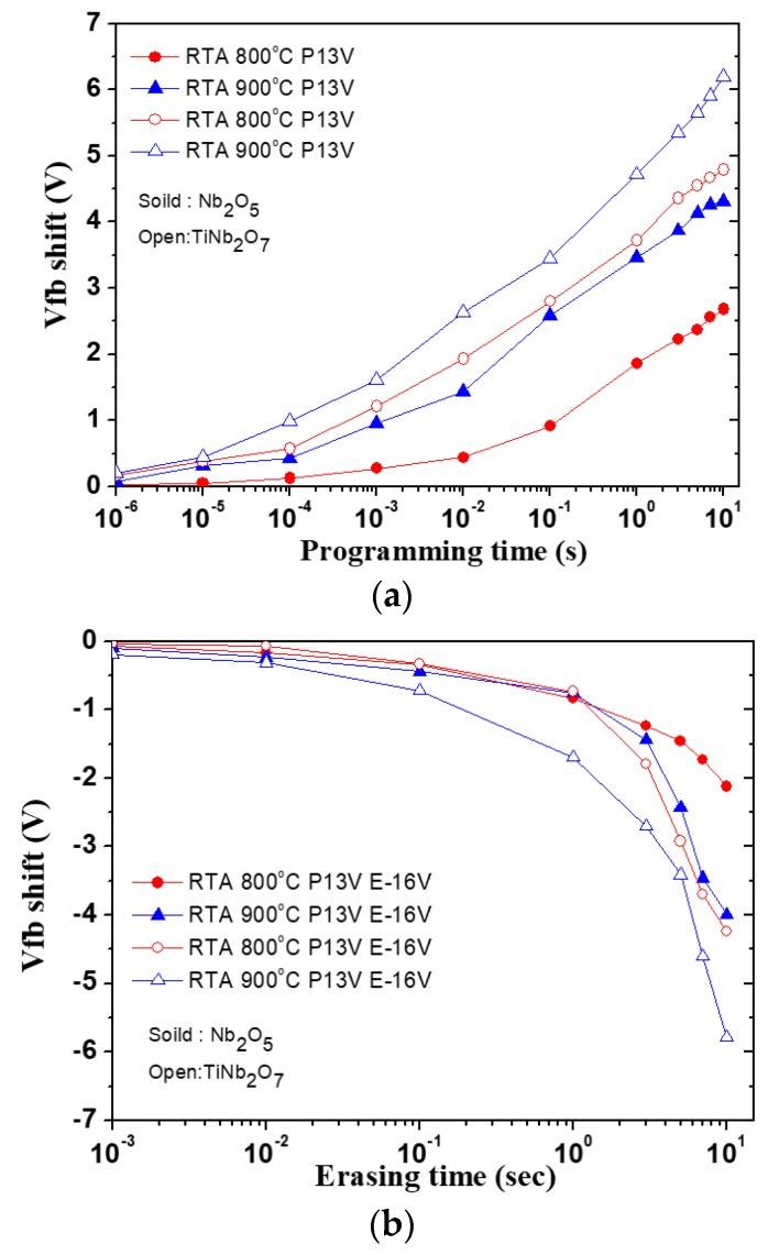
High-k material charge trapping nano-layers in flash memory applications have faster program/erase speeds and better data retention because of larger conduction band offsets and higher dielectric constants. In addition, Ti-doped high-k materials can improve memory device performance, such as leakage current reduction, k-value enhancement, and breakdown voltage increase. In this study, the structural and electrical properties of different annealing temperatures on the Nb₂O₅ and Ti-doped Nb₂O₅(TiNb₂O₇) materials used as charge-trapping nano-layers in metal-oxide-high k-oxide-semiconductor (MOHOS)-type memory were investigated using X-ray diffraction (XRD) and atomic force microscopy (AFM). Analysis of the C-V hysteresis curve shows that the flat-band shift (∆V) window of the TiNb₂O₇ charge-trapping nano-layer in a memory device can reach as high as 6.06 V. The larger memory window of the TiNb₂O₇ nano-layer is because of a better electrical and structural performance, compared to the Nb₂O₅ nano-layer.

摘要

闪存应用中的高k材料电荷俘获纳米层由于具有更大的导带偏移和更高的介电常数,因而具有更快的编程/擦除速度和更好的数据保持能力。此外,掺钛高k材料可以改善存储器件的性能,如降低漏电流、提高k值和增加击穿电压。在本研究中,利用X射线衍射(XRD)和原子力显微镜(AFM)研究了不同退火温度对用作金属氧化物-高k氧化物-半导体(MOHOS)型存储器中电荷俘获纳米层的Nb₂O₅和掺钛Nb₂O₅(TiNb₂O₇)材料的结构和电学性能的影响。对C-V滞后曲线的分析表明,存储器件中TiNb₂O₇电荷俘获纳米层的平带位移(∆V)窗口可高达6.06 V。与Nb₂O₅纳米层相比,TiNb₂O₇纳米层具有更大的存储窗口,这是因为其具有更好的电学和结构性能。

https://cdn.ncbi.nlm.nih.gov/pmc/blobs/1e40/6215173/9c426dc6e83f/nanomaterials-08-00799-g006.jpg
https://cdn.ncbi.nlm.nih.gov/pmc/blobs/1e40/6215173/2f471b2849ea/nanomaterials-08-00799-g001.jpg
https://cdn.ncbi.nlm.nih.gov/pmc/blobs/1e40/6215173/f7056e602615/nanomaterials-08-00799-g002.jpg
https://cdn.ncbi.nlm.nih.gov/pmc/blobs/1e40/6215173/ff3bc5066bec/nanomaterials-08-00799-g003.jpg
https://cdn.ncbi.nlm.nih.gov/pmc/blobs/1e40/6215173/2b69062258fc/nanomaterials-08-00799-g004.jpg
https://cdn.ncbi.nlm.nih.gov/pmc/blobs/1e40/6215173/aaf55337090d/nanomaterials-08-00799-g005.jpg
https://cdn.ncbi.nlm.nih.gov/pmc/blobs/1e40/6215173/9c426dc6e83f/nanomaterials-08-00799-g006.jpg
https://cdn.ncbi.nlm.nih.gov/pmc/blobs/1e40/6215173/2f471b2849ea/nanomaterials-08-00799-g001.jpg
https://cdn.ncbi.nlm.nih.gov/pmc/blobs/1e40/6215173/f7056e602615/nanomaterials-08-00799-g002.jpg
https://cdn.ncbi.nlm.nih.gov/pmc/blobs/1e40/6215173/ff3bc5066bec/nanomaterials-08-00799-g003.jpg
https://cdn.ncbi.nlm.nih.gov/pmc/blobs/1e40/6215173/2b69062258fc/nanomaterials-08-00799-g004.jpg
https://cdn.ncbi.nlm.nih.gov/pmc/blobs/1e40/6215173/aaf55337090d/nanomaterials-08-00799-g005.jpg
https://cdn.ncbi.nlm.nih.gov/pmc/blobs/1e40/6215173/9c426dc6e83f/nanomaterials-08-00799-g006.jpg

相似文献

1
Nb₂O₅ and Ti-Doped Nb₂O₅ Charge Trapping Nano-Layers Applied in Flash Memory.用于闪存的五氧化二铌及钛掺杂五氧化二铌电荷俘获纳米层
Nanomaterials (Basel). 2018 Oct 8;8(10):799. doi: 10.3390/nano8100799.
2
Charge Storage and Reliability Characteristics of Nonvolatile Memory Capacitors with HfO/AlO-Based Charge Trapping Layers.具有基于HfO/AlO的电荷俘获层的非易失性存储电容器的电荷存储与可靠性特性
Materials (Basel). 2022 Sep 9;15(18):6285. doi: 10.3390/ma15186285.
3
ZnO/NiO diode-based charge-trapping layer for flash memory featuring low-voltage operation.用于闪存的基于氧化锌/氧化镍二极管的电荷俘获层,具有低电压操作特性。
ACS Appl Mater Interfaces. 2015 Apr 1;7(12):6383-90. doi: 10.1021/am507535c. Epub 2015 Mar 17.
4
Electrical characteristics of floating-gate memory devices with titanium nanoparticles embedded in gate oxides.栅极氧化物中嵌入钛纳米颗粒的浮栅存储器件的电学特性
J Nanosci Nanotechnol. 2009 Mar;9(3):1904-8. doi: 10.1166/jnn.2009.438.
5
Flash Memory Featuring Low-Voltage Operation by Crystalline ZrTiO Charge-Trapping Layer.采用结晶 ZrTiO 电荷俘获层的低电压操作闪存。
Sci Rep. 2017 Mar 8;7:43659. doi: 10.1038/srep43659.
6
Physical and Electrical Analysis of Poly-Si Channel Effect on SONOS Flash Memory.多晶硅沟道对SONOS闪存影响的物理与电学分析
Micromachines (Basel). 2021 Nov 15;12(11):1401. doi: 10.3390/mi12111401.
7
Electronic Structure and Charge-Trapping Characteristics of the AlO-TiAlO-SiO Gate Stack for Nonvolatile Memory Applications.用于非易失性存储器应用的AlO-TiAlO-SiO栅堆叠的电子结构和电荷俘获特性
Nanoscale Res Lett. 2017 Dec;12(1):270. doi: 10.1186/s11671-017-2040-x. Epub 2017 Apr 13.
8
Dual phase TiO(x)N(y)/TiN charge trapping layer for low-voltage and high-speed flash memory application.
J Nanosci Nanotechnol. 2009 Dec;9(12):7446-50. doi: 10.1166/jnn.2009.1775.
9
A Gd-doped HfO single film for a charge trapping memory device with a large memory window under a low voltage.一种用于电荷俘获存储器件的掺钆氧化铪单晶膜,在低电压下具有大的存储窗口。
RSC Adv. 2020 Feb 24;10(13):7812-7816. doi: 10.1039/d0ra00034e. eCollection 2020 Feb 18.
10
Transparent Flash Memory Using Single TaO Layer for Both Charge-Trapping and Tunneling Dielectrics.采用单层 TaO 作为电荷俘获和隧穿介质的透明快闪存储器。
ACS Appl Mater Interfaces. 2017 Jul 5;9(26):21856-21863. doi: 10.1021/acsami.7b03078. Epub 2017 Jun 22.

引用本文的文献

1
Temperature Gradients as a Data Storage Principle.温度梯度作为一种数据存储原理。
Entropy (Basel). 2025 Jan 26;27(2):129. doi: 10.3390/e27020129.
2
Artificial 2D van der Waals Synapse Devices via Interfacial Engineering for Neuromorphic Systems.通过界面工程实现用于神经形态系统的人工二维范德华突触器件
Nanomaterials (Basel). 2020 Jan 2;10(1):88. doi: 10.3390/nano10010088.

本文引用的文献

1
Atomic Force Microscopy Study of the Kinetic Roughening in Nanostructured Gold Films on SiO2.原子力显微镜研究纳米结构金膜在 SiO2 上的动力学粗化。
Nanoscale Res Lett. 2009 Jan 6;4(3):262-8. doi: 10.1007/s11671-008-9235-0.
2
Scanning Tunneling Microscopy Study of the Thick Film Limit of Kinetic Roughening.
Phys Rev Lett. 1994 Dec 26;73(26):3564-3567. doi: 10.1103/PhysRevLett.73.3564.