Suppr超能文献

用于预测分子性质的深度卷积神经网络:与数据相关的挑战和机遇

Deep Convolutional Neural Networks for the Prediction of Molecular Properties: Challenges and Opportunities Connected to the Data.

作者信息

Ståhl Niclas, Falkman Göran, Karlsson Alexander, Mathiason Gunnar, Boström Jonas

机构信息

School of Informatics, University of Skövde, Högskolevägen 28, SE 54145, Skövde, Sweden.

School of Informatics, University of Skövde, Skövde, Sweden.

出版信息

J Integr Bioinform. 2018 Dec 5;16(1):20180065. doi: 10.1515/jib-2018-0065.

Abstract

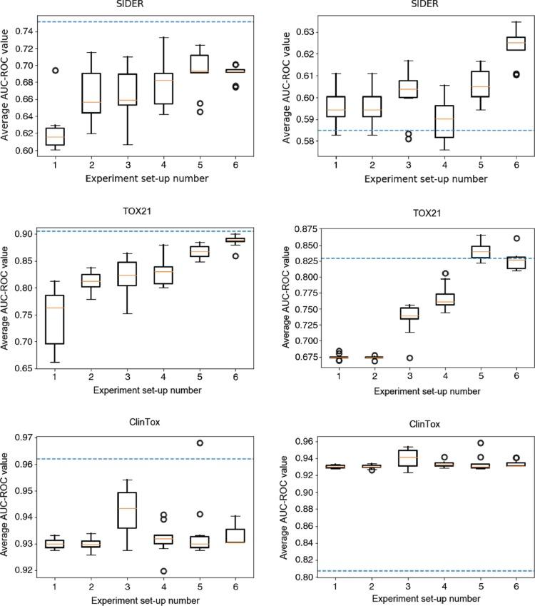
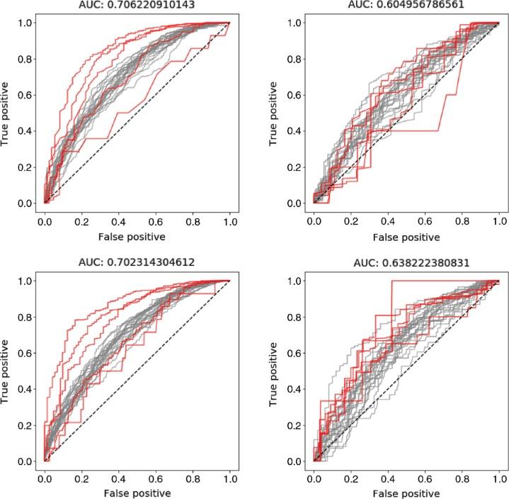
We present a flexible deep convolutional neural network method for the analysis of arbitrary sized graph structures representing molecules. This method, which makes use of the Lipinski RDKit module, an open-source cheminformatics software, enables the incorporation of any global molecular (such as molecular charge and molecular weight) and local (such as atom hybridization and bond orders) information. In this paper, we show that this method significantly outperforms another recently proposed method based on deep convolutional neural networks on several datasets that are studied. Several best practices for training deep convolutional neural networks on chemical datasets are also highlighted within the article, such as how to select the information to be included in the model, how to prevent overfitting and how unbalanced classes in the data can be handled.

摘要

我们提出了一种灵活的深度卷积神经网络方法,用于分析表示分子的任意大小的图结构。该方法利用了开源化学信息学软件Lipinski RDKit模块,能够纳入任何全局分子信息(如分子电荷和分子量)和局部信息(如原子杂化和键级)。在本文中,我们表明,在几个所研究的数据集上,该方法显著优于另一种最近提出的基于深度卷积神经网络的方法。文章还强调了在化学数据集上训练深度卷积神经网络的几个最佳实践,例如如何选择要纳入模型的信息、如何防止过拟合以及如何处理数据中的不平衡类。

https://cdn.ncbi.nlm.nih.gov/pmc/blobs/9a87/6798861/a5e7920c1c66/jib-16-20180065-g001.jpg

文献AI研究员

20分钟写一篇综述,助力文献阅读效率提升50倍。

立即体验

用中文搜PubMed

大模型驱动的PubMed中文搜索引擎

马上搜索

文档翻译

学术文献翻译模型,支持多种主流文档格式。

立即体验