Suppr超能文献

帕梅拉·里德自我超越量表在西班牙背景下的跨文化调适与验证。

Cross-cultural adaptation and validation of Pamela Reed's Self-Transcendence Scale for the Spanish context.

作者信息

Pena-Gayo Alberto, González-Chordá Víctor Manuel, Cervera-Gasch Águeda, Mena-Tudela Desirée

机构信息

Universitat Jaume I, Facultad de Ciencias de la Salud, Castellón, Comunidad Valenciana, Spain.

出版信息

Rev Lat Am Enfermagem. 2018 Dec 10;26:e3058. doi: 10.1590/1518-8345.2750.3058.

Abstract

OBJECTIVES

the current study aimed to adapt the Self-Transcendence Scale (STS) to the Spanish context and analyse its psychometric properties.

METHOD

the STS was administered to a general Spanish population of adults (i.e., older than 20 years; n = 116) through an online platform. The Psychological Well-Being (PWB) and the Functional Assessment of Chronic Illness Therapy - Spiritual Well-being - modified version for healthy people (FACIT-Sp-Non-Illness) scales were also applied in two moments separated by an interval of 15 days.

RESULTS

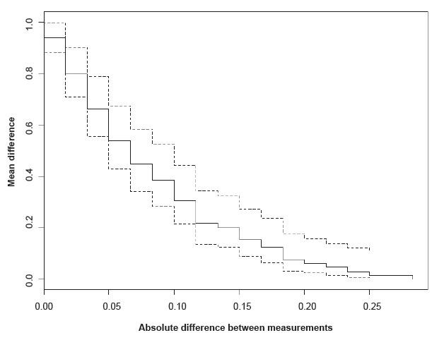
the results of the validation included the following statistics: α t = 0.772 (test) and α rt = 0.833 (retest); ICC = 0.278 (p = 0.097, intraclass) and 0.932 (p < 0.001, interclass); a Bland-Altman confirmation of the test/re-test (TRT) concordance; global content validity coefficient (S-CVI) = 0.92; r 1 = 0.636 (PWB) and r 2 = 0.687 (FACIT-Non-Illness; both p < 0.001); and three factors explained 42.3% of the variance. The STS showed positive apparent validity and feasibility.

CONCLUSIONS

the Spanish version of the STS is valid for use in the general population, with updates relative to the Colombian version that include more natural wordings, syntactic corrections, inclusive language, a better definition of the concepts, and an alternative factor model.

摘要

目的

本研究旨在使自我超越量表(Self-Transcendence Scale,STS)适用于西班牙语境,并分析其心理测量特性。

方法

通过在线平台对西班牙成年普通人群(即年龄大于20岁;n = 116)施测STS。还在间隔15天的两个时间点应用了心理健康(Psychological Well-Being,PWB)量表和慢性病治疗功能评估 - 精神健康 - 健康人群修订版(Functional Assessment of Chronic Illness Therapy - Spiritual Well-being - modified version for healthy people,FACIT-Sp-Non-Illness)量表。

结果

验证结果包括以下统计数据:αt = 0.772(测试)和αrt = 0.833(重测);组内相关系数(ICC)= 0.278(p = 0.097,组内)和0.932(p < 0.001,组间);布兰德 - 奥特曼检验证实了重测一致性;整体内容效度系数(S-CVI)= 0.92;r1 = 0.636(PWB)和r2 = 0.687(FACIT-Non-Illness;均p < 0.001);三个因素解释了42.3%的方差。STS显示出良好的表面效度和可行性。

结论

西班牙版的STS适用于普通人群,相对于哥伦比亚版有更新,包括更自然的措辞、句法修正、包容性语言、概念的更好定义以及替代因素模型。

https://cdn.ncbi.nlm.nih.gov/pmc/blobs/fbb6/6293607/76e2e085f760/0104-1169-rlae-26-e3058-gf1.jpg

文献AI研究员

20分钟写一篇综述,助力文献阅读效率提升50倍。

立即体验

用中文搜PubMed

大模型驱动的PubMed中文搜索引擎

马上搜索

文档翻译

学术文献翻译模型,支持多种主流文档格式。

立即体验