Suppr超能文献

半导体二硫化钼中的磁性

Magnetism in semiconducting molybdenum dichalcogenides.

作者信息

Guguchia Z, Kerelsky A, Edelberg D, Banerjee S, von Rohr F, Scullion D, Augustin M, Scully M, Rhodes D A, Shermadini Z, Luetkens H, Shengelaya A, Baines C, Morenzoni E, Amato A, Hone J C, Khasanov R, Billinge S J L, Santos E, Pasupathy A N, Uemura Y J

机构信息

Department of Physics, Columbia University, New York, NY 10027, USA.

Laboratory for Muon Spin Spectroscopy, Paul Scherrer Institute, CH-5232 Villigen PSI, Switzerland.

出版信息

Sci Adv. 2018 Dec 21;4(12):eaat3672. doi: 10.1126/sciadv.aat3672. eCollection 2018 Dec.

Abstract

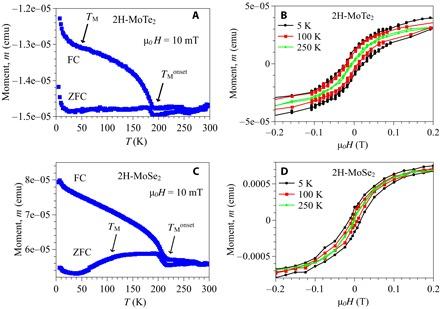
Transition metal dichalcogenides (TMDs) are interesting for understanding the fundamental physics of two-dimensional (2D) materials as well as for applications to many emerging technologies, including spin electronics. Here, we report the discovery of long-range magnetic order below = 40 and 100 K in bulk semiconducting TMDs 2H-MoTe and 2H-MoSe, respectively, by means of muon spin rotation (μSR), scanning tunneling microscopy (STM), and density functional theory (DFT) calculations. The μSR measurements show the presence of large and homogeneous internal magnetic fields at low temperatures in both compounds indicative of long-range magnetic order. DFT calculations show that this magnetism is promoted by the presence of defects in the crystal. The STM measurements show that the vast majority of defects in these materials are metal vacancies and chalcogen-metal antisites, which are randomly distributed in the lattice at the subpercent level. DFT indicates that the antisite defects are magnetic with a magnetic moment in the range of 0.9 to 2.8 μ. Further, we find that the magnetic order stabilized in 2H-MoTe and 2H-MoSe is highly sensitive to hydrostatic pressure. These observations establish 2H-MoTe and 2H-MoSe as a new class of magnetic semiconductors and open a path to studying the interplay of 2D physics and magnetism in these interesting semiconductors.

摘要

过渡金属二硫族化合物(TMDs)对于理解二维(2D)材料的基础物理以及在包括自旋电子学在内的许多新兴技术中的应用都很有意义。在此,我们通过μ子自旋旋转(μSR)、扫描隧道显微镜(STM)和密度泛函理论(DFT)计算,分别报告了在体相半导体TMDs 2H-MoTe和2H-MoSe中,在低于40 K和100 K时发现的长程磁有序。μSR测量表明,在这两种化合物的低温下存在大的且均匀的内磁场,这表明存在长程磁有序。DFT计算表明,这种磁性是由晶体中缺陷的存在所促进的。STM测量表明,这些材料中的绝大多数缺陷是金属空位和硫族-金属反位缺陷,它们以低于百分之一的水平随机分布在晶格中。DFT表明,反位缺陷具有磁性,磁矩在0.9至2.8 μ的范围内。此外,我们发现2H-MoTe和2H-MoSe中稳定的磁有序对静水压力高度敏感。这些观察结果将2H-MoTe和2H-MoSe确立为一类新型的磁性半导体,并为研究这些有趣半导体中二维物理与磁性之间的相互作用开辟了一条道路。

https://cdn.ncbi.nlm.nih.gov/pmc/blobs/6410/6303124/41646902c6cc/aat3672-F1.jpg

文献检索

告别复杂PubMed语法,用中文像聊天一样搜索,搜遍4000万医学文献。AI智能推荐,让科研检索更轻松。

立即免费搜索

文件翻译

保留排版,准确专业,支持PDF/Word/PPT等文件格式,支持 12+语言互译。

免费翻译文档

深度研究

AI帮你快速写综述,25分钟生成高质量综述,智能提取关键信息,辅助科研写作。

立即免费体验