• 文献检索
  • 文档翻译
  • 深度研究
  • 学术资讯
  • Suppr Zotero 插件Zotero 插件
  • 邀请有礼
  • 套餐&价格
  • 历史记录
应用&插件
Suppr Zotero 插件Zotero 插件浏览器插件Mac 客户端Windows 客户端微信小程序
定价
高级版会员购买积分包购买API积分包
服务
文献检索文档翻译深度研究API 文档MCP 服务
关于我们
关于 Suppr公司介绍联系我们用户协议隐私条款
关注我们

Suppr 超能文献

核心技术专利:CN118964589B侵权必究
粤ICP备2023148730 号-1Suppr @ 2026

文献检索

告别复杂PubMed语法,用中文像聊天一样搜索,搜遍4000万医学文献。AI智能推荐,让科研检索更轻松。

立即免费搜索

文件翻译

保留排版,准确专业,支持PDF/Word/PPT等文件格式,支持 12+语言互译。

免费翻译文档

深度研究

AI帮你快速写综述,25分钟生成高质量综述,智能提取关键信息,辅助科研写作。

立即免费体验

纳米结构银颗粒的绿色合成及其在染料降解中的催化应用。

Green synthesis of nanostructured silver particles and their catalytic application in dye degradation.

作者信息

Jyoti Kumari, Singh Ajeet

机构信息

Department of Biotechnology, Govind Ballabh Pant Engineering College, Pauri Garhwal, Uttarakhand 246194, India.

出版信息

J Genet Eng Biotechnol. 2016 Dec;14(2):311-317. doi: 10.1016/j.jgeb.2016.09.005. Epub 2016 Oct 11.

DOI:10.1016/j.jgeb.2016.09.005
PMID:30647629
原文链接:https://pmc.ncbi.nlm.nih.gov/articles/PMC6299851/
Abstract

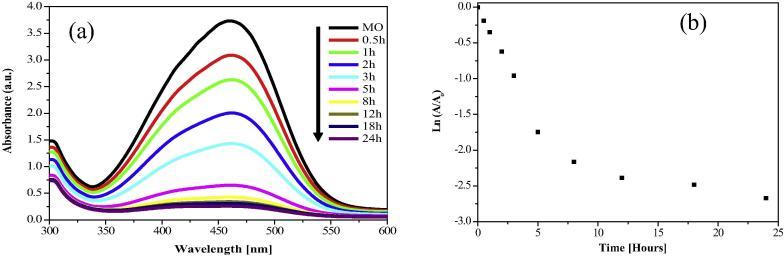
Today, discharge of hazardous dyes from textile industries in water bodies like lakes, rivers and groundwater has become a serious problem, which contributes to increase their pollution levels significantly. These pollutants are difficult to remove by traditional water treatment procedures. Thus, there is a need to develop more suitable methods of effluent treatment. Here, we describe use of green-synthesized nanostructured silver particles in degradation of hazardous dyes like Safranine O, Methyl red, Methyl orange and Methylene blue etc. The silver nanoparticles (AgNPs) used as nanocatalysts were synthesized using leaves. The reduction of silver ions and the formation of AgNPs have been assessed by UV-Vis spectroscopy. DLS, SEM-EDX, TEM, SAED and XRD studies revealed that the AgNPs were crystalline in nature with size range from 15 to 50 nm. The report emphasizes that the AgNPs are observed to be an excellent catalyst on reduction of hazardous dyes, which is confirmed by a decrease in absorbance maximum values.

摘要

如今,纺织工业向湖泊、河流和地下水等水体排放有害染料已成为一个严重问题,这显著加剧了水体的污染程度。这些污染物难以通过传统的水处理程序去除。因此,需要开发更合适的废水处理方法。在此,我们描述了绿色合成的纳米结构银颗粒在降解诸如番红花红O、甲基红、甲基橙和亚甲基蓝等有害染料中的应用。用作纳米催化剂的银纳米颗粒(AgNPs)是利用树叶合成的。通过紫外可见光谱法评估了银离子的还原和AgNPs的形成。动态光散射(DLS)、扫描电子显微镜-能谱仪(SEM-EDX)、透射电子显微镜(TEM)、选区电子衍射(SAED)和X射线衍射(XRD)研究表明,AgNPs本质上是晶体,尺寸范围为15至50纳米。该报告强调,观察到AgNPs在还原有害染料方面是一种优异的催化剂,这通过最大吸收值的降低得到了证实。

https://cdn.ncbi.nlm.nih.gov/pmc/blobs/a999/6299851/82a3d0758d95/gr9.jpg
https://cdn.ncbi.nlm.nih.gov/pmc/blobs/a999/6299851/6f0df8d558bf/gr1.jpg
https://cdn.ncbi.nlm.nih.gov/pmc/blobs/a999/6299851/f98b1622dbca/gr2.jpg
https://cdn.ncbi.nlm.nih.gov/pmc/blobs/a999/6299851/448f96f912d5/gr3.jpg
https://cdn.ncbi.nlm.nih.gov/pmc/blobs/a999/6299851/60e0b1a9b8b1/gr4.jpg
https://cdn.ncbi.nlm.nih.gov/pmc/blobs/a999/6299851/514ee8088e12/gr5.jpg
https://cdn.ncbi.nlm.nih.gov/pmc/blobs/a999/6299851/cdb0b4ad4d39/gr6.jpg
https://cdn.ncbi.nlm.nih.gov/pmc/blobs/a999/6299851/fb1086885260/gr7.jpg
https://cdn.ncbi.nlm.nih.gov/pmc/blobs/a999/6299851/638eb693000e/gr8.jpg
https://cdn.ncbi.nlm.nih.gov/pmc/blobs/a999/6299851/82a3d0758d95/gr9.jpg
https://cdn.ncbi.nlm.nih.gov/pmc/blobs/a999/6299851/6f0df8d558bf/gr1.jpg
https://cdn.ncbi.nlm.nih.gov/pmc/blobs/a999/6299851/f98b1622dbca/gr2.jpg
https://cdn.ncbi.nlm.nih.gov/pmc/blobs/a999/6299851/448f96f912d5/gr3.jpg
https://cdn.ncbi.nlm.nih.gov/pmc/blobs/a999/6299851/60e0b1a9b8b1/gr4.jpg
https://cdn.ncbi.nlm.nih.gov/pmc/blobs/a999/6299851/514ee8088e12/gr5.jpg
https://cdn.ncbi.nlm.nih.gov/pmc/blobs/a999/6299851/cdb0b4ad4d39/gr6.jpg
https://cdn.ncbi.nlm.nih.gov/pmc/blobs/a999/6299851/fb1086885260/gr7.jpg
https://cdn.ncbi.nlm.nih.gov/pmc/blobs/a999/6299851/638eb693000e/gr8.jpg
https://cdn.ncbi.nlm.nih.gov/pmc/blobs/a999/6299851/82a3d0758d95/gr9.jpg

相似文献

1
Green synthesis of nanostructured silver particles and their catalytic application in dye degradation.纳米结构银颗粒的绿色合成及其在染料降解中的催化应用。
J Genet Eng Biotechnol. 2016 Dec;14(2):311-317. doi: 10.1016/j.jgeb.2016.09.005. Epub 2016 Oct 11.
2
Efficient Catalytic Degradation of Selected Toxic Dyes by Green Biosynthesized Silver Nanoparticles Using Aqueous Leaf Extract of L.利用罗勒叶水提物绿色生物合成银纳米颗粒对选定有毒染料的高效催化降解
Nanomaterials (Basel). 2022 Oct 31;12(21):3851. doi: 10.3390/nano12213851.
3
leaf extract-mediated synthesis of silver nanoparticles and their catalytic dye degradation and antifungal efficacy.叶提取物介导的银纳米颗粒合成及其催化染料降解和抗真菌功效。
Front Bioeng Biotechnol. 2022 Oct 4;10:977101. doi: 10.3389/fbioe.2022.977101. eCollection 2022.
4
Green synthesis of silver and gold nanoparticles using Stemona tuberosa Lour and screening for their catalytic activity in the degradation of toxic chemicals.利用蔓生百部(Stemona tuberosa Lour)进行银和金纳米粒子的绿色合成及其在降解有毒化学品方面的催化活性筛选。
Environ Sci Pollut Res Int. 2018 Nov;25(32):32540-32548. doi: 10.1007/s11356-018-3105-9. Epub 2018 Sep 20.
5
Photo-induced biosynthesis of silver nanoparticles using aqueous extract of Erigeron bonariensis and its catalytic activity against Acridine Orange.利用牛膝菊水提取物光诱导生物合成银纳米颗粒及其对吖啶橙的催化活性
J Photochem Photobiol B. 2016 Feb;155:39-50. doi: 10.1016/j.jphotobiol.2015.12.011. Epub 2015 Dec 15.
6
Characterization, Antibacterial and Antioxidant Properties of Silver Nanoparticles Synthesized from Aqueous Extracts of , , and .从[植物名称1]、[植物名称2]和[植物名称3]水提取物合成的银纳米颗粒的表征、抗菌和抗氧化性能
Pharmacogn Mag. 2017 Jul;13(Suppl 2):S201-S208. doi: 10.4103/pm.pm_430_16. Epub 2017 Jul 11.
7
Caulerpa racemosa: a marine green alga for eco-friendly synthesis of silver nanoparticles and its catalytic degradation of methylene blue.总状蕨藻:一种用于银纳米颗粒的环保合成及其对亚甲基蓝催化降解的海洋绿藻。
Bioprocess Biosyst Eng. 2016 Sep;39(9):1401-8. doi: 10.1007/s00449-016-1616-7. Epub 2016 Apr 29.
8
Synthesis of silver nanoparticles using bacterial exopolysaccharide and its application for degradation of azo-dyes.利用细菌胞外多糖合成银纳米颗粒及其对偶氮染料的降解应用。
Biotechnol Rep (Amst). 2017 Jun 13;15:33-40. doi: 10.1016/j.btre.2017.02.006. eCollection 2017 Sep.
9
Green synthesis of silver nanoparticles from Gloriosa superba L. leaf extract and their catalytic activity.从宝巾叶中提取的银纳米粒子的绿色合成及其催化活性。
Spectrochim Acta A Mol Biomol Spectrosc. 2013 Nov;115:388-92. doi: 10.1016/j.saa.2013.06.050. Epub 2013 Jun 28.
10
Phyto-fabrication of silver nanoparticles and their catalytic dye degradation and antifungal efficacy.银纳米颗粒的植物合成及其催化染料降解和抗真菌功效。
Front Chem. 2022 Sep 26;10:994721. doi: 10.3389/fchem.2022.994721. eCollection 2022.

引用本文的文献

1
Green synthesis of silver nanoparticles using Keratinase from Pseudomonas aeruginosa-C1M, characterization and applications as novel multifunctional biocatalyst.利用铜绿假单胞菌 - C1M 产生的角蛋白酶绿色合成银纳米颗粒、表征及其作为新型多功能生物催化剂的应用
BMC Biotechnol. 2025 Apr 11;25(1):27. doi: 10.1186/s12896-025-00959-5.
2
Preparation and Characterization of the MMT@FeO@Ag Nanocomposite for Catalytic Degradation of Methyl Yellow: Reaction Parameters and Mechanism Based on the Artificial Neuron Network.用于催化降解甲基黄的MMT@FeO@Ag纳米复合材料的制备与表征:基于人工神经网络的反应参数及机理
ACS Omega. 2024 Dec 25;10(1):134-146. doi: 10.1021/acsomega.4c02497. eCollection 2025 Jan 14.
3

本文引用的文献

1
Green synthesis of silver nanoparticles from leaf extract of Mimusops elengi, Linn. for enhanced antibacterial activity against multi drug resistant clinical isolates.从 Mimusops elengi, Linn. 的叶提取物中绿色合成银纳米粒子,以增强对多药耐药临床分离株的抗菌活性。
Colloids Surf B Biointerfaces. 2013 Aug 1;108:255-9. doi: 10.1016/j.colsurfb.2013.03.017. Epub 2013 Mar 18.
2
A very simple method to synthesize nano-sized manganese oxide: an efficient catalyst for water oxidation and epoxidation of olefins.一种非常简单的合成纳米氧化锰的方法:用于水氧化和烯烃环氧化的高效催化剂。
Dalton Trans. 2012 Aug 28;41(36):11026-31. doi: 10.1039/c2dt30553d.
3
Thermal Properties of Polysiloxane/Ag Nanocomposites with Different Network Structures and Distributions of Si-H Groups.
具有不同网络结构和Si-H基团分布的聚硅氧烷/银纳米复合材料的热性能
Materials (Basel). 2024 Nov 27;17(23):5809. doi: 10.3390/ma17235809.
4
Waste upcycling of Sapota peels as a green route for the synthesis of silver nanoparticles and their application as catalytic and colorimetric detection of Co and Hg.将人心果果皮进行废物升级利用,作为合成银纳米颗粒的绿色途径及其在催化和比色检测钴和汞中的应用。
Discov Nano. 2024 Nov 21;19(1):191. doi: 10.1186/s11671-024-04147-w.
5
Observation of excellent photocatalytic and antibacterial activity of Ag doped ZnO nanoparticles.银掺杂氧化锌纳米颗粒的优异光催化和抗菌活性观察
RSC Adv. 2024 Oct 17;14(45):32786-32801. doi: 10.1039/d4ra05197a.
6
Green Synthesis of Silver Nanoparticles Mediated by Peel Waste: An Effective Additive for Natural Rubber Latex Nanofibers Enhancement.果皮废弃物介导的银纳米粒子绿色合成:天然橡胶乳胶纳米纤维增强的有效添加剂
Polymers (Basel). 2024 May 29;16(11):1531. doi: 10.3390/polym16111531.
7
Green synthesis of silver nanoparticles using Adhatoda vasica leaf extract and its application in photocatalytic degradation of dyes.利用鸭嘴花叶片提取物绿色合成银纳米颗粒及其在光催化降解染料中的应用。
Discov Nano. 2023 Oct 30;18(1):135. doi: 10.1186/s11671-023-03914-5.
8
Evaluation of antibacterial activity, in-vitro cytotoxicity and catalytic activity of biologically synthesized silver nanoparticles using leaf extracts of .使用……的叶提取物对生物合成银纳米颗粒的抗菌活性、体外细胞毒性和催化活性进行评估。 你提供的原文中“using leaf extracts of.”后面似乎缺少具体植物名称。
Heliyon. 2023 Oct 7;9(10):e20810. doi: 10.1016/j.heliyon.2023.e20810. eCollection 2023 Oct.
9
Synthesis of PVP-capped trimetallic nanoparticles and their efficient catalytic degradation of organic dyes.聚乙烯吡咯烷酮包覆的三金属纳米粒子的合成及其对有机染料的高效催化降解
RSC Adv. 2023 Oct 9;13(42):29270-29282. doi: 10.1039/d3ra03663d. eCollection 2023 Oct 4.
10
Influence of the Loading with Newly Green Silver Nanoparticles Synthesized Using on the Antibacterial Activity and Surface Hardness of a Composite Resin.使用[具体方法]合成的新型绿色银纳米颗粒负载对复合树脂抗菌活性和表面硬度的影响。 (注:原文中“using”后缺少具体内容)
J Funct Biomater. 2023 Jul 28;14(8):402. doi: 10.3390/jfb14080402.
Monodispersed biocompatible silver sulfide nanoparticles: facile extracellular biosynthesis using the γ-proteobacterium, Shewanella oneidensis.
单分散生物相容性硫化银纳米颗粒:利用γ-变形菌希瓦氏菌进行简便的细胞外生物合成。
Acta Biomater. 2011 Dec;7(12):4253-8. doi: 10.1016/j.actbio.2011.07.007. Epub 2011 Jul 14.
4
Cinnamon zeylanicum bark extract and powder mediated green synthesis of nano-crystalline silver particles and its bactericidal activity.锡兰肉桂树皮提取物和粉末介导的纳米晶银颗粒的绿色合成及其杀菌活性。
Colloids Surf B Biointerfaces. 2009 Oct 15;73(2):332-8. doi: 10.1016/j.colsurfb.2009.06.005. Epub 2009 Jun 10.
5
Bioreductive deposition of platinum nanoparticles on the bacterium Shewanella algae.铂纳米颗粒在嗜盐碱单胞菌上的生物还原沉积
J Biotechnol. 2007 Feb 20;128(3):648-53. doi: 10.1016/j.jbiotec.2006.11.014. Epub 2006 Nov 29.
6
White-rot fungi and their enzymes for the treatment of industrial dye effluents.用于处理工业染料废水的白腐真菌及其酶
Biotechnol Adv. 2003 Dec;22(1-2):161-87. doi: 10.1016/j.biotechadv.2003.08.011.