Suppr超能文献

理解自适应测试中考生的选择:过程数据的隐马尔可夫模型

Understanding Test Takers' Choices in a Self-Adapted Test: A Hidden Markov Modeling of Process Data.

作者信息

Arieli-Attali Meirav, Ou Lu, Simmering Vanessa R

机构信息

Department of Psychology, Fordham University, New York, NY, United States.

ACTNext, ACT Inc., Iowa City, IA, United States.

出版信息

Front Psychol. 2019 Feb 6;10:83. doi: 10.3389/fpsyg.2019.00083. eCollection 2019.

Abstract

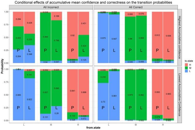
With the rise of more interactive assessments, such as simulation- and game-based assessment, process data are available to learn about students' cognitive processes as well as motivational aspects. Since process data can be complicated due to interdependencies in time, our traditional psychometric models may not necessarily fit, and we need to look for additional ways to analyze such data. In this study, we draw process data from a study on self-adapted test under different goal conditions (Arieli-Attali, 2016) and use hidden Markov models to learn about test takers' choice making behavior. Self-adapted test is designed to allow test takers to choose the level of difficulty of the items they receive. The data includes test results from two conditions of goal orientation (performance goal and learning goal), as well as confidence ratings on each question. We show that using HMM we can learn about transition probabilities from one state to another as dependent on the goal orientation, the accumulated score and accumulated confidence, and the interactions therein. The implications of such insights are discussed.

摘要

随着更多交互式评估的兴起,如基于模拟和游戏的评估,过程数据可用于了解学生的认知过程以及动机方面。由于过程数据可能因时间上的相互依赖而变得复杂,我们传统的心理测量模型不一定适用,因此我们需要寻找额外的方法来分析此类数据。在本研究中,我们从一项关于不同目标条件下自适应测试的研究(Arieli - Attali,2016)中提取过程数据,并使用隐马尔可夫模型来了解考生的选择行为。自适应测试旨在允许考生选择他们所接受题目的难度级别。数据包括来自两种目标导向条件(成绩目标和学习目标)的测试结果,以及对每个问题的信心评级。我们表明,使用隐马尔可夫模型,我们可以了解从一个状态到另一个状态的转移概率,该概率取决于目标导向、累计分数和累计信心以及它们之间的相互作用。我们还讨论了这些见解的含义。

https://cdn.ncbi.nlm.nih.gov/pmc/blobs/de00/6372528/3a4bbae4eba9/fpsyg-10-00083-g0001.jpg

文献检索

告别复杂PubMed语法,用中文像聊天一样搜索,搜遍4000万医学文献。AI智能推荐,让科研检索更轻松。

立即免费搜索

文件翻译

保留排版,准确专业,支持PDF/Word/PPT等文件格式,支持 12+语言互译。

免费翻译文档

深度研究

AI帮你快速写综述,25分钟生成高质量综述,智能提取关键信息,辅助科研写作。

立即免费体验