Suppr超能文献

由粘康酸二甲酯一锅法合成及其无溶剂区域选择性聚交酯反应制备基于甘油的呋喃聚酯。

One-Pot FDCA Diester Synthesis from Mucic Acid and Their Solvent-Free Regioselective Polytransesterification for Production of Glycerol-Based Furanic Polyesters.

机构信息

Sorbonne Universités, Université de Technologie de Compiègne, Centre de Recherches de Royallieu, CS 60319, F-60203 Compiègne CEDEX, France.

PSL Research University, Chimie ParisTech, CNRS, Institute of Chemistry for Life and Health Sciences, 11 rue Pierre et Marie Curie, F-75231 Paris CEDEX 05, France.

出版信息

Molecules. 2019 Mar 15;24(6):1030. doi: 10.3390/molecules24061030.

Abstract

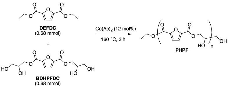
A one pot-two step procedure for the synthesis of diethyl furan-2,5-dicarboxylate (DEFDC) starting from mucic acid without isolation of the intermediate furan dicarboxylic acid (FDCA) was studied. Then, the production of three different kinds of furan-based polyesters- polyethylene-2,5-furan dicarboxylate (PEF), polyhydropropyl-2,5-furan dicarboxylate(PHPF) and polydiglycerol-2,5-furandicarboxylate (PDGF)-was realized through a Co(Ac)₂·4H₂O catalyzed polytransesterification performed at 160 °C between DEFDC and a defined diol furan-based prepolymer or pure diglycerol. In parallel to polymerization process, an unattended regioselective 1-OH acylation of glycerol by direct microwave-heated FDCA diester transesterification led to the formation of a symmetric prepolymer ready for further polymerization and clearly identified by 2D NMR sequences. Furthermore, the synthesis of a more soluble and hydrophilic diglycerol-based furanic polyester was also achieved. The resulting biobased polymers were characterized by NMR, FT-IR spectroscopy, DSC, TGA and XRD. The morphologies of the resulted polymers were observed by FE-SEM and the purity of the material by EDX.

摘要

从粘康酸出发,无需分离中间产物呋喃二羧酸(FDCA),通过一锅两步法合成了二乙酯呋喃-2,5-二羧酸(DEFDC)。然后,通过 Co(Ac)₂·4H₂O 催化的聚transesterification,在 160°C 下,将 DEFDC 与特定的二醇呋喃基预聚物或纯甘油二酯进行反应,实现了三种不同的呋喃基聚酯-聚 2,5-呋喃二羧酸乙酯(PEF)、聚 2,5-呋喃二羧酸丙二醇酯(PHPF)和聚 2,5-呋喃二羧酸甘油酯(PDGF)的生产。在聚合过程中,通过直接微波加热 FDCA 二酯的 transesterification,甘油的非催化 1-OH 酰化反应在无需人工干预的情况下进行,生成了可进一步聚合的对称预聚物,通过二维 NMR 序列可明确识别。此外,还合成了一种更易溶解和亲水的甘油基呋喃聚酯。通过 NMR、FT-IR 光谱、DSC、TGA 和 XRD 对所得到的生物基聚合物进行了表征。通过 FE-SEM 观察了所得聚合物的形态,通过 EDX 观察了材料的纯度。

https://cdn.ncbi.nlm.nih.gov/pmc/blobs/77c5/6471091/d8027541c710/molecules-24-01030-sch001.jpg

文献AI研究员

20分钟写一篇综述,助力文献阅读效率提升50倍。

立即体验

用中文搜PubMed

大模型驱动的PubMed中文搜索引擎

马上搜索

文档翻译

学术文献翻译模型,支持多种主流文档格式。

立即体验