• 文献检索
  • 文档翻译
  • 深度研究
  • 学术资讯
  • Suppr Zotero 插件Zotero 插件
  • 邀请有礼
  • 套餐&价格
  • 历史记录
应用&插件
Suppr Zotero 插件Zotero 插件浏览器插件Mac 客户端Windows 客户端微信小程序
定价
高级版会员购买积分包购买API积分包
服务
文献检索文档翻译深度研究API 文档MCP 服务
关于我们
关于 Suppr公司介绍联系我们用户协议隐私条款
关注我们

Suppr 超能文献

核心技术专利:CN118964589B侵权必究
粤ICP备2023148730 号-1Suppr @ 2026

文献检索

告别复杂PubMed语法,用中文像聊天一样搜索,搜遍4000万医学文献。AI智能推荐,让科研检索更轻松。

立即免费搜索

文件翻译

保留排版,准确专业,支持PDF/Word/PPT等文件格式,支持 12+语言互译。

免费翻译文档

深度研究

AI帮你快速写综述,25分钟生成高质量综述,智能提取关键信息,辅助科研写作。

立即免费体验

利用近红外光谱技术检测恶性疟原虫感染的冈比亚按蚊。

Detection of Plasmodium falciparum infected Anopheles gambiae using near-infrared spectroscopy.

机构信息

Swiss Tropical and Public Health Institute, Socinstrasse 57, 4020, Basel, Switzerland.

University of Basel, Petersplatz 1, 4001, Basel, Switzerland.

出版信息

Malar J. 2019 Mar 19;18(1):85. doi: 10.1186/s12936-019-2719-9.

DOI:10.1186/s12936-019-2719-9
PMID:30890179
原文链接:https://pmc.ncbi.nlm.nih.gov/articles/PMC6423776/
Abstract

BACKGROUND

Large-scale surveillance of mosquito populations is crucial to assess the intensity of vector-borne disease transmission and the impact of control interventions. However, there is a lack of accurate, cost-effective and high-throughput tools for mass-screening of vectors.

METHODS

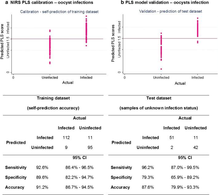
A total of 750 Anopheles gambiae (Keele strain) mosquitoes were fed Plasmodium falciparum NF54 gametocytes through standard membrane feeding assay (SMFA) and afterwards maintained in insectary conditions to allow for oocyst (8 days) and sporozoite development (14 days). Thereupon, each mosquito was scanned using near infra-red spectroscopy (NIRS) and processed by quantitative polymerase chain reaction (qPCR) to determine the presence of infection and infection load. The spectra collected were randomly assigned to either a training dataset, used to develop calibrations for predicting oocyst- or sporozoite-infection through partial least square regressions (PLS); or to a test dataset, used for validating the calibration's prediction accuracy.

RESULTS

NIRS detected oocyst- and sporozoite-stage P. falciparum infections with 88% and 95% accuracy, respectively. This study demonstrates proof-of-concept that NIRS is capable of rapidly identifying laboratory strains of human malaria infection in African mosquito vectors.

CONCLUSIONS

Accurate, low-cost, reagent-free screening of mosquito populations enabled by NIRS could revolutionize surveillance and elimination strategies for the most important human malaria parasite in its primary African vector species. Further research is needed to evaluate how the method performs in the field following adjustments in the training datasets to include data from wild-caught infected and uninfected mosquitoes.

摘要

背景

大规模监测蚊群对于评估虫媒传染病传播的强度和控制干预措施的效果至关重要。然而,目前缺乏用于大规模筛选媒介的准确、经济高效且高通量的工具。

方法

通过标准膜喂养试验(SMFA)共给 750 只冈比亚按蚊(基利株)喂食恶性疟原虫 NF54 配子体,然后在昆虫饲养条件下饲养,以允许卵囊(8 天)和子孢子(14 天)发育。之后,用近红外光谱(NIRS)扫描每只蚊子,并通过定量聚合酶链反应(qPCR)进行处理,以确定感染和感染载量的存在。收集的光谱随机分配到训练数据集或测试数据集中,用于通过偏最小二乘回归(PLS)为预测卵囊或子孢子感染建立校准,或用于验证校准的预测准确性。

结果

NIRS 检测到卵囊和子孢子阶段的恶性疟原虫感染的准确率分别为 88%和 95%。本研究证明了近红外光谱技术能够快速识别非洲蚊媒中的人类疟疾实验室株感染,这是一种概念验证。

结论

NIRS 实现了对蚊群的准确、低成本、无试剂筛选,这可能会彻底改变针对非洲主要疟原虫在其主要非洲媒介物种中的监测和消除策略。需要进一步研究如何在调整训练数据集以包括野外捕获的感染和未感染蚊子的数据后,该方法在现场的表现。

https://cdn.ncbi.nlm.nih.gov/pmc/blobs/1e51/6423776/d6d26fd53e21/12936_2019_2719_Fig4_HTML.jpg
https://cdn.ncbi.nlm.nih.gov/pmc/blobs/1e51/6423776/6ff25caa6125/12936_2019_2719_Fig1_HTML.jpg
https://cdn.ncbi.nlm.nih.gov/pmc/blobs/1e51/6423776/503571eb74d8/12936_2019_2719_Fig2_HTML.jpg
https://cdn.ncbi.nlm.nih.gov/pmc/blobs/1e51/6423776/fe40c846955a/12936_2019_2719_Fig3_HTML.jpg
https://cdn.ncbi.nlm.nih.gov/pmc/blobs/1e51/6423776/d6d26fd53e21/12936_2019_2719_Fig4_HTML.jpg
https://cdn.ncbi.nlm.nih.gov/pmc/blobs/1e51/6423776/6ff25caa6125/12936_2019_2719_Fig1_HTML.jpg
https://cdn.ncbi.nlm.nih.gov/pmc/blobs/1e51/6423776/503571eb74d8/12936_2019_2719_Fig2_HTML.jpg
https://cdn.ncbi.nlm.nih.gov/pmc/blobs/1e51/6423776/fe40c846955a/12936_2019_2719_Fig3_HTML.jpg
https://cdn.ncbi.nlm.nih.gov/pmc/blobs/1e51/6423776/d6d26fd53e21/12936_2019_2719_Fig4_HTML.jpg

相似文献

1
Detection of Plasmodium falciparum infected Anopheles gambiae using near-infrared spectroscopy.利用近红外光谱技术检测恶性疟原虫感染的冈比亚按蚊。
Malar J. 2019 Mar 19;18(1):85. doi: 10.1186/s12936-019-2719-9.
2
Susceptibility of primary, secondary and suspected vectors to Plasmodium vivax and Plasmodium falciparum infection in Ethiopia.埃塞俄比亚主要、次要和疑似传播媒介对间日疟原虫和恶性疟原虫感染的敏感性。
Parasit Vectors. 2022 Oct 21;15(1):384. doi: 10.1186/s13071-022-05467-5.
3
Evaluation of a real-time quantitative PCR to measure the wild Plasmodium falciparum infectivity rate in salivary glands of Anopheles gambiae.评估实时定量 PCR 测量冈比亚按蚊唾液腺中野生疟原虫感染率的方法。
Malar J. 2013 Jul 2;12:224. doi: 10.1186/1475-2875-12-224.
4
Analysis of near infrared spectra for age-grading of wild populations of Anopheles gambiae.分析野生冈比亚按蚊种群的近红外光谱以进行年龄分级。
Parasit Vectors. 2017 Nov 7;10(1):552. doi: 10.1186/s13071-017-2501-1.
5
Is that a real oocyst? Insectary establishment and identification of Plasmodium falciparum oocysts in midguts of Anopheles mosquitoes fed on infected human blood in Tororo, Uganda.这是一个真正的卵囊吗?在乌干达托罗罗,用感染人类血液喂养的按蚊中肠内,昆虫饲养所的建立和疟原虫卵囊的鉴定。
Malar J. 2019 Aug 27;18(1):287. doi: 10.1186/s12936-019-2922-8.
6
Adapting field-mosquito collection techniques in a perspective of near-infrared spectroscopy implementation.从近红外光谱实施的角度调整野外蚊虫采集技术。
Parasit Vectors. 2022 Sep 26;15(1):338. doi: 10.1186/s13071-022-05458-6.
7
Detection of Plasmodium berghei infected Anopheles stephensi using near-infrared spectroscopy.利用近红外光谱技术检测感染伯氏疟原虫的斯氏按蚊。
Parasit Vectors. 2018 Jun 28;11(1):377. doi: 10.1186/s13071-018-2960-z.
8
Anopheles plumbeus (Diptera: Culicidae) in Europe: a mere nuisance mosquito or potential malaria vector?欧洲的致倦库蚊(双翅目:蚊科):只是一种令人讨厌的蚊子还是潜在的疟疾传播媒介?
Malar J. 2012 Nov 26;11:393. doi: 10.1186/1475-2875-11-393.
9
A randomized feasibility trial comparing four antimalarial drug regimens to induce gametocytemia in the controlled human malaria infection model.一项比较四种抗疟药物方案诱导人体疟疾感染模型配子体血症的随机可行性试验。
Elife. 2018 Feb 27;7:e31549. doi: 10.7554/eLife.31549.
10
Strong concordance between percent inhibition in oocyst and sporozoite intensities in a Plasmodium falciparum standard membrane-feeding assay.在恶性疟原虫标准膜饲检测中,卵囊和子孢子强度的抑制率之间具有高度一致性。
Parasit Vectors. 2019 May 6;12(1):206. doi: 10.1186/s13071-019-3470-3.

引用本文的文献

1
Age structure of cohorts of mosquitoes from the field using shortwave infrared spectroscopy before and after ULV adulticide treatment.使用短波红外光谱法对野外蚊虫种群在超低容量杀虫剂处理前后的年龄结构进行分析。
Parasit Vectors. 2025 Jul 1;18(1):250. doi: 10.1186/s13071-025-06873-1.
2
Near-infrared spectroscopy discriminates mass-reared sterile and wild tsetse flies.近红外光谱法可区分大规模饲养的不育采采蝇和野生采采蝇。
PLoS Negl Trop Dis. 2025 Jan 29;19(1):e0012857. doi: 10.1371/journal.pntd.0012857. eCollection 2025 Jan.
3
Using qPCR to compare the detection of oocysts and sporozoites in mosquitoes between two DNA extraction methods.

本文引用的文献

1
Detection of Plasmodium berghei infected Anopheles stephensi using near-infrared spectroscopy.利用近红外光谱技术检测感染伯氏疟原虫的斯氏按蚊。
Parasit Vectors. 2018 Jun 28;11(1):377. doi: 10.1186/s13071-018-2960-z.
2
Rapid, noninvasive detection of Zika virus in mosquitoes by near-infrared spectroscopy.利用近红外光谱快速无创检测蚊子中的寨卡病毒。
Sci Adv. 2018 May 23;4(5):eaat0496. doi: 10.1126/sciadv.aat0496. eCollection 2018 May.
3
Dynamic remodeling of lipids coincides with dengue virus replication in the midgut of Aedes aegypti mosquitoes.
使用定量聚合酶链反应(qPCR)比较两种DNA提取方法对蚊子中卵囊和子孢子的检测情况。
Front Parasitol. 2023 Mar 16;2:1063452. doi: 10.3389/fpara.2023.1063452. eCollection 2023.
4
Seasonal dynamics, resting behaviour and insecticide susceptibility of mosquitoes across two differentially malaria-endemic regions in Ethiopia.埃塞俄比亚两个疟疾流行程度不同地区蚊子的季节动态、静止行为及杀虫剂敏感性
Curr Res Parasitol Vector Borne Dis. 2024 Oct 28;6:100224. doi: 10.1016/j.crpvbd.2024.100224. eCollection 2024.
5
Reagent-free detection of Plasmodium falciparum malaria infections in field-collected mosquitoes using mid-infrared spectroscopy and machine learning.使用中红外光谱和机器学习在野外采集的蚊子中无试剂检测恶性疟原虫疟疾感染。
Sci Rep. 2024 May 27;14(1):12100. doi: 10.1038/s41598-024-63082-z.
6
Rapid assessment of the blood-feeding histories of wild-caught malaria mosquitoes using mid-infrared spectroscopy and machine learning.利用中红外光谱和机器学习快速评估野外捕获的疟蚊的吸血史。
Malar J. 2024 Mar 26;23(1):86. doi: 10.1186/s12936-024-04915-0.
7
Rapid and non-invasive detection of malaria parasites using near-infrared spectroscopy and machine learning.利用近红外光谱和机器学习快速无创检测疟原虫。
PLoS One. 2024 Mar 25;19(3):e0289232. doi: 10.1371/journal.pone.0289232. eCollection 2024.
8
Biting behaviour, spatio-temporal dynamics, and the insecticide resistance status of malaria vectors in different ecological zones in Ghana.加纳不同生态区疟疾病媒的叮咬行为、时空动态和抗药性状况。
Parasit Vectors. 2024 Jan 9;17(1):16. doi: 10.1186/s13071-023-06065-9.
9
Near-infrared spectroscopy and machine learning algorithms for rapid and non-invasive detection of Trichuris.近红外光谱和机器学习算法用于快速、非侵入式检测 Trichuris。
PLoS Negl Trop Dis. 2023 Nov 13;17(11):e0011695. doi: 10.1371/journal.pntd.0011695. eCollection 2023 Nov.
10
Key considerations, target product profiles, and research gaps in the application of infrared spectroscopy and artificial intelligence for malaria surveillance and diagnosis.在疟疾监测和诊断中应用红外光谱和人工智能的关键考虑因素、目标产品概况和研究差距。
Malar J. 2023 Nov 10;22(1):346. doi: 10.1186/s12936-023-04780-3.
脂类的动态重塑与登革热病毒在埃及伊蚊中肠内的复制相一致。
PLoS Pathog. 2018 Feb 15;14(2):e1006853. doi: 10.1371/journal.ppat.1006853. eCollection 2018 Feb.
4
The transmission potential of malaria-infected mosquitoes (An.gambiae-Keele, An.arabiensis-Ifakara) is altered by the vertebrate blood type they consume during parasite development.疟疾病媒蚊(冈比亚按蚊-基莱,阿拉伯按蚊-伊法卡拉)在寄生虫发育过程中所吸食的脊椎动物血型会改变其传播潜力。
Sci Rep. 2017 Jan 17;7:40520. doi: 10.1038/srep40520.
5
Probability of Transmission of Malaria from Mosquito to Human Is Regulated by Mosquito Parasite Density in Naïve and Vaccinated Hosts.疟疾从蚊子传播到人类的概率受初次感染和接种疫苗宿主中蚊子寄生虫密度的调节。
PLoS Pathog. 2017 Jan 12;13(1):e1006108. doi: 10.1371/journal.ppat.1006108. eCollection 2017 Jan.
6
Characterisation of Species and Diversity of Anopheles gambiae Keele Colony.冈比亚按蚊基尔种群的物种鉴定及多样性分析
PLoS One. 2016 Dec 29;11(12):e0168999. doi: 10.1371/journal.pone.0168999. eCollection 2016.
7
Near-Infrared Spectroscopy, a Rapid Method for Predicting the Age of Male and Female Wild-Type and Wolbachia Infected Aedes aegypti.近红外光谱法,一种预测野生型和感染沃尔巴克氏体的雄性及雌性埃及伊蚊年龄的快速方法。
PLoS Negl Trop Dis. 2016 Oct 21;10(10):e0005040. doi: 10.1371/journal.pntd.0005040. eCollection 2016 Oct.
8
Rapid and Non-destructive Detection and Identification of Two Strains of Wolbachia in Aedes aegypti by Near-Infrared Spectroscopy.利用近红外光谱对埃及伊蚊中两种沃尔巴克氏体菌株进行快速无损检测与鉴定
PLoS Negl Trop Dis. 2016 Jun 30;10(6):e0004759. doi: 10.1371/journal.pntd.0004759. eCollection 2016 Jun.
9
The effect of malaria control on Plasmodium falciparum in Africa between 2000 and 2015.2000年至2015年期间疟疾控制对非洲恶性疟原虫的影响。
Nature. 2015 Oct 8;526(7572):207-211. doi: 10.1038/nature15535. Epub 2015 Sep 16.
10
Proteomic changes occurring in the malaria mosquitoes Anopheles gambiae and Anopheles stephensi during aging.冈比亚按蚊和斯氏按蚊在衰老过程中发生的蛋白质组变化。
J Proteomics. 2015 Aug 3;126:234-44. doi: 10.1016/j.jprot.2015.06.008. Epub 2015 Jun 20.