• 文献检索
  • 文档翻译
  • 深度研究
  • 学术资讯
  • Suppr Zotero 插件Zotero 插件
  • 邀请有礼
  • 套餐&价格
  • 历史记录
应用&插件
Suppr Zotero 插件Zotero 插件浏览器插件Mac 客户端Windows 客户端微信小程序
定价
高级版会员购买积分包购买API积分包
服务
文献检索文档翻译深度研究API 文档MCP 服务
关于我们
关于 Suppr公司介绍联系我们用户协议隐私条款
关注我们

Suppr 超能文献

核心技术专利:CN118964589B侵权必究
粤ICP备2023148730 号-1Suppr @ 2026

文献检索

告别复杂PubMed语法,用中文像聊天一样搜索,搜遍4000万医学文献。AI智能推荐,让科研检索更轻松。

立即免费搜索

文件翻译

保留排版,准确专业,支持PDF/Word/PPT等文件格式,支持 12+语言互译。

免费翻译文档

深度研究

AI帮你快速写综述,25分钟生成高质量综述,智能提取关键信息,辅助科研写作。

立即免费体验

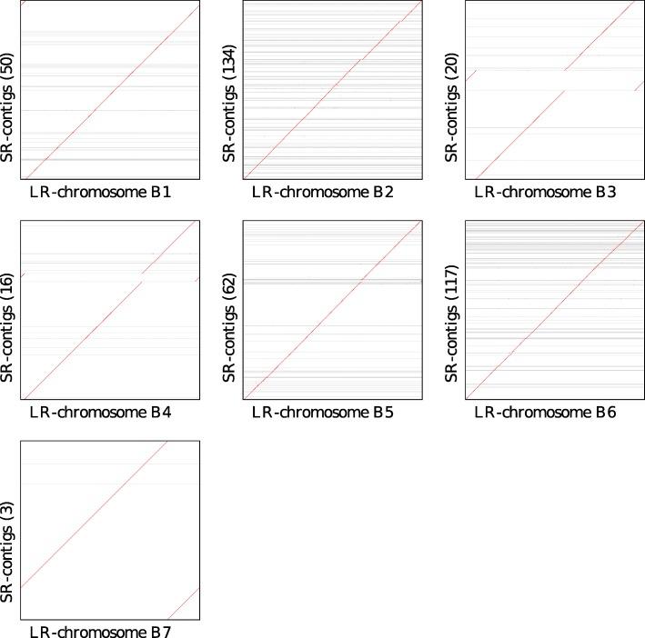
带有框移校正的长读宏基因组数据注释的细菌染色体。

Annotated bacterial chromosomes from frame-shift-corrected long-read metagenomic data.

机构信息

Singapore Centre for Environmental Life Sciences Engineering, Nanyang Technological University, 60 Nanyang Drive, SBS-01N-27, Singapore, 637551, Singapore.

Department of Computer Science, University of Tübingen, Sand 14, Tübingen, 72076, Germany.

出版信息

Microbiome. 2019 Apr 16;7(1):61. doi: 10.1186/s40168-019-0665-y.

DOI:10.1186/s40168-019-0665-y
PMID:30992083
原文链接:https://pmc.ncbi.nlm.nih.gov/articles/PMC6469205/
Abstract

BACKGROUND

Short-read sequencing technologies have long been the work-horse of microbiome analysis. Continuing technological advances are making the application of long-read sequencing to metagenomic samples increasingly feasible.

RESULTS

We demonstrate that whole bacterial chromosomes can be obtained from an enriched community, by application of MinION sequencing to a sample from an EBPR bioreactor, producing 6 Gb of sequence that assembles into multiple closed bacterial chromosomes. We provide a simple pipeline for processing such data, which includes a new approach to correcting erroneous frame-shifts.

CONCLUSIONS

Advances in long-read sequencing technology and corresponding algorithms will allow the routine extraction of whole chromosomes from environmental samples, providing a more detailed picture of individual members of a microbiome.

摘要

背景

短读测序技术长期以来一直是微生物组分析的主力军。不断的技术进步使得长读测序在宏基因组样本中的应用越来越可行。

结果

我们通过将 MinION 测序应用于 EBPR 生物反应器中的样本,证明了从富集群落中可以获得完整的细菌染色体,产生了 6Gb 的序列,这些序列组装成多个闭合的细菌染色体。我们提供了一个简单的处理此类数据的管道,其中包括一种新的纠正错误框架移位的方法。

结论

长读测序技术和相应算法的进步将允许从环境样本中常规提取完整的染色体,从而更详细地了解微生物组的各个成员。

https://cdn.ncbi.nlm.nih.gov/pmc/blobs/7eaa/6469205/db22c09ae8ba/40168_2019_665_Fig6_HTML.jpg
https://cdn.ncbi.nlm.nih.gov/pmc/blobs/7eaa/6469205/d09196a270fb/40168_2019_665_Fig1_HTML.jpg
https://cdn.ncbi.nlm.nih.gov/pmc/blobs/7eaa/6469205/a67e759f2c73/40168_2019_665_Fig2_HTML.jpg
https://cdn.ncbi.nlm.nih.gov/pmc/blobs/7eaa/6469205/65451039b7a1/40168_2019_665_Fig3_HTML.jpg
https://cdn.ncbi.nlm.nih.gov/pmc/blobs/7eaa/6469205/3e9177ff1797/40168_2019_665_Fig4_HTML.jpg
https://cdn.ncbi.nlm.nih.gov/pmc/blobs/7eaa/6469205/a1d156538dd7/40168_2019_665_Fig5_HTML.jpg
https://cdn.ncbi.nlm.nih.gov/pmc/blobs/7eaa/6469205/db22c09ae8ba/40168_2019_665_Fig6_HTML.jpg
https://cdn.ncbi.nlm.nih.gov/pmc/blobs/7eaa/6469205/d09196a270fb/40168_2019_665_Fig1_HTML.jpg
https://cdn.ncbi.nlm.nih.gov/pmc/blobs/7eaa/6469205/a67e759f2c73/40168_2019_665_Fig2_HTML.jpg
https://cdn.ncbi.nlm.nih.gov/pmc/blobs/7eaa/6469205/65451039b7a1/40168_2019_665_Fig3_HTML.jpg
https://cdn.ncbi.nlm.nih.gov/pmc/blobs/7eaa/6469205/3e9177ff1797/40168_2019_665_Fig4_HTML.jpg
https://cdn.ncbi.nlm.nih.gov/pmc/blobs/7eaa/6469205/a1d156538dd7/40168_2019_665_Fig5_HTML.jpg
https://cdn.ncbi.nlm.nih.gov/pmc/blobs/7eaa/6469205/db22c09ae8ba/40168_2019_665_Fig6_HTML.jpg

相似文献

1
Annotated bacterial chromosomes from frame-shift-corrected long-read metagenomic data.带有框移校正的长读宏基因组数据注释的细菌染色体。
Microbiome. 2019 Apr 16;7(1):61. doi: 10.1186/s40168-019-0665-y.
2
Improving the sensitivity of long read overlap detection using grouped short k-mer matches.利用分组短 k-mer 匹配提高长读重叠检测的灵敏度。
BMC Genomics. 2019 Apr 4;20(Suppl 2):190. doi: 10.1186/s12864-019-5475-x.
3
MEGAN-LR: new algorithms allow accurate binning and easy interactive exploration of metagenomic long reads and contigs.MEGAN-LR:新算法允许对宏基因组长读段和 contigs 进行准确的分箱和轻松的交互式探索。
Biol Direct. 2018 Apr 20;13(1):6. doi: 10.1186/s13062-018-0208-7.
4
InteMAP: Integrated metagenomic assembly pipeline for NGS short reads.InteMAP:用于NGS短读长的综合宏基因组组装流程
BMC Bioinformatics. 2015 Aug 7;16:244. doi: 10.1186/s12859-015-0686-x.
5
MinION™ nanopore sequencing of environmental metagenomes: a synthetic approach.环境宏基因组的MinION™纳米孔测序:一种合成方法。
Gigascience. 2017 Mar 1;6(3):1-10. doi: 10.1093/gigascience/gix007.
6
Intestinal microbiota domination under extreme selective pressures characterized by metagenomic read cloud sequencing and assembly.肠道微生物群落在具有宏基因组读段云测序和组装特征的极端选择压力下占主导地位。
BMC Bioinformatics. 2019 Dec 2;20(Suppl 16):585. doi: 10.1186/s12859-019-3073-1.
7
Exploiting topic modeling to boost metagenomic reads binning.利用主题建模来促进宏基因组读数分箱。
BMC Bioinformatics. 2015;16 Suppl 5(Suppl 5):S2. doi: 10.1186/1471-2105-16-S5-S2. Epub 2015 Mar 18.
8
Comparative analysis of functional metagenomic annotation and the mappability of short reads.功能宏基因组注释与短读长可映射性的比较分析。
PLoS One. 2014 Aug 22;9(8):e105776. doi: 10.1371/journal.pone.0105776. eCollection 2014.
9
Resolving the Complexity of Human Skin Metagenomes Using Single-Molecule Sequencing.利用单分子测序解析人类皮肤宏基因组的复杂性
mBio. 2016 Feb 9;7(1):e01948-15. doi: 10.1128/mBio.01948-15.
10
An efficient method for high molecular weight bacterial DNA extraction suitable for shotgun metagenomics from skin swabs.一种适用于皮肤拭子的高通量宏基因组学的高效提取高分子量细菌 DNA 的方法。
Microb Genom. 2023 Jul;9(7). doi: 10.1099/mgen.0.001058.

引用本文的文献

1
Integrated genomics provides insights into the evolution of the polyphosphate accumulation trait of Accumulibacter.整合基因组学为深入了解聚磷菌(Accumulibacter)聚磷积累特性的进化提供了线索。
Environ Sci Ecotechnol. 2023 Dec 2;20:100353. doi: 10.1016/j.ese.2023.100353. eCollection 2024 Jul.
2
Sensitive and error-tolerant annotation of protein-coding DNA with BATH.利用BATH对蛋白质编码DNA进行灵敏且容错的注释。
Bioinform Adv. 2024 Jun 14;4(1):vbae088. doi: 10.1093/bioadv/vbae088. eCollection 2024.
3
Microorganisms as bio-filters to mitigate greenhouse gas emissions from high-altitude permafrost revealed by nanopore-based metagenomics.

本文引用的文献

1
Minimap2: pairwise alignment for nucleotide sequences.Minimap2:核苷酸序列的两两比对。
Bioinformatics. 2018 Sep 15;34(18):3094-3100. doi: 10.1093/bioinformatics/bty191.
2
MEGAN-LR: new algorithms allow accurate binning and easy interactive exploration of metagenomic long reads and contigs.MEGAN-LR:新算法允许对宏基因组长读段和 contigs 进行准确的分箱和轻松的交互式探索。
Biol Direct. 2018 Apr 20;13(1):6. doi: 10.1186/s13062-018-0208-7.
3
Completing bacterial genome assemblies with multiplex MinION sequencing.使用多重 MinION 测序完成细菌基因组组装。
基于纳米孔宏基因组学揭示微生物作为生物过滤器减轻高海拔永久冻土温室气体排放的作用
Imeta. 2022 May 8;1(2):e24. doi: 10.1002/imt2.24. eCollection 2022 Jun.
4
Strategies and tools in illumina and nanopore-integrated metagenomic analysis of microbiome data.微生物组数据的Illumina和纳米孔整合宏基因组分析中的策略与工具
Imeta. 2023 Jan 9;2(1):e72. doi: 10.1002/imt2.72. eCollection 2023 Feb.
5
Two new clades recovered at high temperatures provide novel phylogenetic and genomic insights into Accumulibacter.在高温下发现的两个新分支为聚磷菌属提供了新的系统发育和基因组见解。
ISME Commun. 2024 Apr 18;4(1):ycae049. doi: 10.1093/ismeco/ycae049. eCollection 2024 Jan.
6
Sensitive and error-tolerant annotation of protein-coding DNA with BATH.使用BATH对蛋白质编码DNA进行灵敏且容错的注释。
bioRxiv. 2024 Jan 1:2023.12.31.573773. doi: 10.1101/2023.12.31.573773.
7
Host interactions of novel species belonging to multiple families infecting bacterial host, WH2.感染细菌宿主 WH2 的多种科属新型物种的宿主相互作用。
Microb Genom. 2023 Sep;9(9). doi: 10.1099/mgen.0.001100.
8
Roving methyltransferases generate a mosaic epigenetic landscape and influence evolution in Bacteroides fragilis group.漫游甲基转移酶产生马赛克表观遗传景观,并影响脆弱拟杆菌群的进化。
Nat Commun. 2023 Jul 10;14(1):4082. doi: 10.1038/s41467-023-39892-6.
9
Host interactions of novel species belonging to multiple families infecting bacterial host, WH2.感染细菌宿主WH2的多个科的新物种与宿主的相互作用
bioRxiv. 2023 Jul 26:2023.03.05.531146. doi: 10.1101/2023.03.05.531146.
10
Metaproteomics reveals methyltransferases implicated in dichloromethane and glycine betaine fermentation by ' Formimonas warabiya' strain DCMF.宏蛋白质组学揭示了与“和田formimonas”菌株DCMF的二氯甲烷和甘氨酸甜菜碱发酵有关的甲基转移酶。
Front Microbiol. 2022 Dec 7;13:1035247. doi: 10.3389/fmicb.2022.1035247. eCollection 2022.
Microb Genom. 2017 Sep 14;3(10):e000132. doi: 10.1099/mgen.0.000132. eCollection 2017 Oct.
4
Shotgun metagenomics, from sampling to analysis. shotgun 宏基因组学,从采样到分析。
Nat Biotechnol. 2017 Sep 12;35(9):833-844. doi: 10.1038/nbt.3935.
5
Minimum information about a single amplified genome (MISAG) and a metagenome-assembled genome (MIMAG) of bacteria and archaea.细菌和古菌单扩增基因组(MISAG)及宏基因组组装基因组(MIMAG)的最低信息要求
Nat Biotechnol. 2017 Aug 8;35(8):725-731. doi: 10.1038/nbt.3893.
6
Unicycler: Resolving bacterial genome assemblies from short and long sequencing reads.单轮循环器:从短读长和长读长测序数据中解析细菌基因组组装结果
PLoS Comput Biol. 2017 Jun 8;13(6):e1005595. doi: 10.1371/journal.pcbi.1005595. eCollection 2017 Jun.
7
Fast and accurate de novo genome assembly from long uncorrected reads.从长的未校正读段中进行快速且准确的从头基因组组装。
Genome Res. 2017 May;27(5):737-746. doi: 10.1101/gr.214270.116. Epub 2017 Jan 18.
8
The Oxford Nanopore MinION: delivery of nanopore sequencing to the genomics community.牛津纳米孔MinION测序仪:将纳米孔测序技术带给基因组学界。
Genome Biol. 2016 Nov 25;17(1):239. doi: 10.1186/s13059-016-1103-0.
9
MEGAN Community Edition - Interactive Exploration and Analysis of Large-Scale Microbiome Sequencing Data.MEGAN社区版 - 大规模微生物组测序数据的交互式探索与分析
PLoS Comput Biol. 2016 Jun 21;12(6):e1004957. doi: 10.1371/journal.pcbi.1004957. eCollection 2016 Jun.
10
Genome-based microbial ecology of anammox granules in a full-scale wastewater treatment system.基于基因组的全尺寸废水处理系统中厌氧氨氧化颗粒的微生物生态学
Nat Commun. 2016 Mar 31;7:11172. doi: 10.1038/ncomms11172.