• 文献检索
  • 文档翻译
  • 深度研究
  • 学术资讯
  • Suppr Zotero 插件Zotero 插件
  • 邀请有礼
  • 套餐&价格
  • 历史记录
应用&插件
Suppr Zotero 插件Zotero 插件浏览器插件Mac 客户端Windows 客户端微信小程序
定价
高级版会员购买积分包购买API积分包
服务
文献检索文档翻译深度研究API 文档MCP 服务
关于我们
关于 Suppr公司介绍联系我们用户协议隐私条款
关注我们

Suppr 超能文献

核心技术专利:CN118964589B侵权必究
粤ICP备2023148730 号-1Suppr @ 2026

文献检索

告别复杂PubMed语法,用中文像聊天一样搜索,搜遍4000万医学文献。AI智能推荐,让科研检索更轻松。

立即免费搜索

文件翻译

保留排版,准确专业,支持PDF/Word/PPT等文件格式,支持 12+语言互译。

免费翻译文档

深度研究

AI帮你快速写综述,25分钟生成高质量综述,智能提取关键信息,辅助科研写作。

立即免费体验

异硫氰酸盐作为癌症化学预防剂、化学治疗剂和抗黑色素瘤药物的作用。

The Role of Isothiocyanates as Cancer Chemo-Preventive, Chemo-Therapeutic and Anti-Melanoma Agents.

作者信息

Mitsiogianni Melina, Koutsidis Georgios, Mavroudis Nikos, Trafalis Dimitrios T, Botaitis Sotiris, Franco Rodrigo, Zoumpourlis Vasilis, Amery Tom, Galanis Alex, Pappa Aglaia, Panayiotidis Mihalis I

机构信息

Department of Applied Sciences, Northumbria University, Newcastle Upon Tyne NE1 8ST, UK.

Department of Food and Nutritional Sciences, University of Reading, Reading RG6 6AP, UK.

出版信息

Antioxidants (Basel). 2019 Apr 18;8(4):106. doi: 10.3390/antiox8040106.

DOI:10.3390/antiox8040106
PMID:31003534
原文链接:https://pmc.ncbi.nlm.nih.gov/articles/PMC6523696/
Abstract

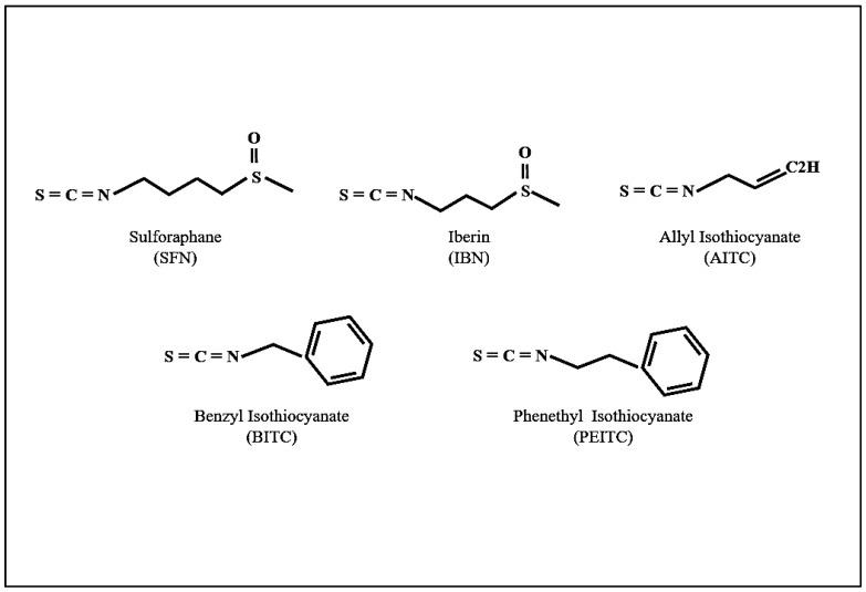
Many studies have shown evidence in support of the beneficial effects of phytochemicals in preventing chronic diseases, including cancer. Among such phytochemicals, sulphur-containing compounds (e.g., isothiocyanates (ITCs)) have raised scientific interest by exerting unique chemo-preventive properties against cancer pathogenesis. ITCs are the major biologically active compounds capable of mediating the anticancer effect of cruciferous vegetables. Recently, many studies have shown that a higher intake of cruciferous vegetables is associated with reduced risk of developing various forms of cancers primarily due to a plurality of effects, including (i) metabolic activation and detoxification, (ii) inflammation, (iii) angiogenesis, (iv) metastasis and (v) regulation of the epigenetic machinery. In the context of human malignant melanoma, a number of studies suggest that ITCs can cause cell cycle growth arrest and also induce apoptosis in human malignant melanoma cells. On such basis, ITCs could serve as promising chemo-therapeutic agents that could be used in the clinical setting to potentiate the efficacy of existing therapies.

摘要

许多研究已证明植物化学物质在预防包括癌症在内的慢性疾病方面具有有益作用。在这类植物化学物质中,含硫化合物(如异硫氰酸盐(ITCs))因其对癌症发病机制具有独特的化学预防特性而引起了科学界的关注。ITCs是能够介导十字花科蔬菜抗癌作用的主要生物活性化合物。最近,许多研究表明,摄入较多十字花科蔬菜与多种癌症的发病风险降低有关,这主要归因于多种效应,包括(i)代谢激活和解毒,(ii)炎症,(iii)血管生成,(iv)转移以及(v)表观遗传机制的调节。在人类恶性黑色素瘤方面,多项研究表明ITCs可导致细胞周期生长停滞,并诱导人类恶性黑色素瘤细胞凋亡。基于此,ITCs有望成为有前景的化学治疗剂,可在临床环境中用于增强现有疗法的疗效。

https://cdn.ncbi.nlm.nih.gov/pmc/blobs/4c62/6523696/760892ea2e65/antioxidants-08-00106-g003.jpg
https://cdn.ncbi.nlm.nih.gov/pmc/blobs/4c62/6523696/1ca424c20a27/antioxidants-08-00106-g001.jpg
https://cdn.ncbi.nlm.nih.gov/pmc/blobs/4c62/6523696/890ab711529b/antioxidants-08-00106-g002.jpg
https://cdn.ncbi.nlm.nih.gov/pmc/blobs/4c62/6523696/760892ea2e65/antioxidants-08-00106-g003.jpg
https://cdn.ncbi.nlm.nih.gov/pmc/blobs/4c62/6523696/1ca424c20a27/antioxidants-08-00106-g001.jpg
https://cdn.ncbi.nlm.nih.gov/pmc/blobs/4c62/6523696/890ab711529b/antioxidants-08-00106-g002.jpg
https://cdn.ncbi.nlm.nih.gov/pmc/blobs/4c62/6523696/760892ea2e65/antioxidants-08-00106-g003.jpg

相似文献

1
The Role of Isothiocyanates as Cancer Chemo-Preventive, Chemo-Therapeutic and Anti-Melanoma Agents.异硫氰酸盐作为癌症化学预防剂、化学治疗剂和抗黑色素瘤药物的作用。
Antioxidants (Basel). 2019 Apr 18;8(4):106. doi: 10.3390/antiox8040106.
2
From chemo-prevention to epigenetic regulation: The role of isothiocyanates in skin cancer prevention.从化学预防到表观遗传调控:异硫氰酸酯在皮肤癌预防中的作用。
Pharmacol Ther. 2018 Oct;190:187-201. doi: 10.1016/j.pharmthera.2018.06.001. Epub 2018 Jun 8.
3
Protective Effect of Isothiocyanates from Cruciferous Vegetables on Breast Cancer: Epidemiological and Preclinical Perspectives.十字花科蔬菜异硫氰酸盐对乳腺癌的保护作用:流行病学和临床前观点。
Anticancer Agents Med Chem. 2021;21(11):1413-1430. doi: 10.2174/1871520620666200924104550.
4
Nanodelivery of natural isothiocyanates as a cancer therapeutic.天然异硫氰酸酯的纳米递呈作为癌症治疗方法。
Free Radic Biol Med. 2021 May 1;167:125-140. doi: 10.1016/j.freeradbiomed.2021.02.044. Epub 2021 Mar 10.
5
Conversion of glucosinolates to isothiocyanates in humans after ingestion of cooked watercress.食用煮熟的西洋菜后人体内硫代葡萄糖苷向异硫氰酸盐的转化。
Cancer Epidemiol Biomarkers Prev. 1999 May;8(5):447-51.
6
Cancer chemoprevention with dietary isothiocyanates mature for clinical translational research.膳食异硫氰酸盐的癌症化学预防已成熟,适合临床转化研究。
Carcinogenesis. 2012 Oct;33(10):1833-42. doi: 10.1093/carcin/bgs216. Epub 2012 Jun 27.
7
Molecular targets of isothiocyanates in cancer: recent advances.异硫氰酸盐在癌症中的分子靶点:最新进展
Mol Nutr Food Res. 2014 Aug;58(8):1685-707. doi: 10.1002/mnfr.201300684. Epub 2014 Feb 10.
8
Cancer-preventive isothiocyanates: measurement of human exposure and mechanism of action.癌症预防异硫氰酸盐:人体暴露量的测量及作用机制
Mutat Res. 2004 Nov 2;555(1-2):173-90. doi: 10.1016/j.mrfmmm.2004.04.017.
9
Urinary excretion of total isothiocyanates from cruciferous vegetables shows high dose-response relationship and may be a useful biomarker for isothiocyanate exposure.十字花科蔬菜中总异硫氰酸盐的尿排泄呈现出高剂量反应关系,可能是异硫氰酸盐暴露的一种有用生物标志物。
Eur J Nutr. 2007 Oct;46(7):377-82. doi: 10.1007/s00394-007-0676-5. Epub 2007 Aug 23.
10
Anti-Carcinogenic Glucosinolates in Cruciferous Vegetables and Their Antagonistic Effects on Prevention of Cancers.十字花科蔬菜中的抗癌性硫代葡萄糖苷及其对癌症预防的拮抗作用。
Molecules. 2018 Nov 15;23(11):2983. doi: 10.3390/molecules23112983.

引用本文的文献

1
Unlocking the potential of microgreens: non-thermal innovations to enhance phytochemical and nutritional benefits.挖掘微型蔬菜的潜力:提升植物化学物质和营养价值的非热创新方法。
Food Chem X. 2025 Jul 10;29:102747. doi: 10.1016/j.fochx.2025.102747. eCollection 2025 Jul.
2
Bioactive compounds in Raphanus sativus: mechanisms of apoptosis, anti-angiogenesis, cell cycle arrest and beyond in cancer prevention and treatment.萝卜中的生物活性化合物:细胞凋亡、抗血管生成、细胞周期阻滞及其他在癌症预防和治疗中的机制
Med Oncol. 2025 Jul 13;42(8):328. doi: 10.1007/s12032-025-02894-z.
3
as a multifunctional feed additive: synergistic nutritional and immunomodulatory mechanisms in livestock production.

本文引用的文献

1
Allyl isothiocyanate regulates lysine acetylation and methylation marks in an experimental model of malignant melanoma.丙烯基异硫氰酸酯调节恶性黑素瘤实验模型中的赖氨酸乙酰化和甲基化标记。
Eur J Nutr. 2020 Mar;59(2):557-569. doi: 10.1007/s00394-019-01925-6. Epub 2019 Feb 14.
2
Isothiocyanate-induced Cell Cycle Arrest in a Novel Exposure Protocol of Human Malignant Melanoma (A375) Cells.异硫氰酸盐在人恶性黑色素瘤(A375)细胞新暴露方案中诱导细胞周期停滞。
Anticancer Res. 2019 Feb;39(2):591-596. doi: 10.21873/anticanres.13152.
3
Sulforaphane-N-Acetyl-Cysteine Induces Autophagy Through Activation of ERK1/2 in U87MG and U373MG Cells.
作为一种多功能饲料添加剂:家畜生产中的协同营养与免疫调节机制
Front Nutr. 2025 Jun 20;12:1615349. doi: 10.3389/fnut.2025.1615349. eCollection 2025.
4
Benzyl isothiocyanate induces heart regeneration.异硫氰酸苄酯可诱导心脏再生。
iScience. 2025 May 22;28(7):112724. doi: 10.1016/j.isci.2025.112724. eCollection 2025 Jul 18.
5
Chicago Sky Blue 6B modulates MAPK/NF-kB pathway in rat knee osteoarthritis.芝加哥天蓝6B调节大鼠膝骨关节炎中的丝裂原活化蛋白激酶/核因子-κB信号通路。
Naunyn Schmiedebergs Arch Pharmacol. 2025 Jun 12. doi: 10.1007/s00210-025-04353-y.
6
Antimicrobial, Quorum Sensing Inhibition, and Anti-Cancer Activities of Silver Nanoparticles Synthesized from Kenyan Bacterial Endophytes of .从肯尼亚植物的细菌内生菌合成的银纳米颗粒的抗菌、群体感应抑制及抗癌活性
Int J Mol Sci. 2025 Apr 2;26(7):3306. doi: 10.3390/ijms26073306.
7
Isothiocyanates Enhance the Anti-Melanoma Effect of Zebularine Through Modulation of Apoptosis and Regulation of DNMTs' Expression, Chromatin Configuration and Histone Posttranslational Modifications Associated with Altered Gene Expression Patterns.异硫氰酸盐通过调节细胞凋亡以及调控与基因表达模式改变相关的DNA甲基转移酶的表达、染色质构型和组蛋白翻译后修饰,增强zebularine的抗黑色素瘤作用。
Epigenomes. 2025 Feb 25;9(1):7. doi: 10.3390/epigenomes9010007.
8
Spatial covariance reveals isothiocyanate natural products adjust redox stress to restore function in alpha-1-antitrypsin deficiency.空间协方差显示异硫氰酸酯天然产物可调节氧化还原应激以恢复α-1-抗胰蛋白酶缺乏症中的功能。
Cell Rep Med. 2025 Jan 21;6(1):101917. doi: 10.1016/j.xcrm.2024.101917. Epub 2025 Jan 13.
9
The Effect of Leaf Extract on C2C12 Myoblast Proliferation and Redox Status Under Oxidative Insult.叶提取物对氧化损伤下C2C12成肌细胞增殖和氧化还原状态的影响
Antioxidants (Basel). 2024 Nov 28;13(12):1460. doi: 10.3390/antiox13121460.
10
Comprehensive Analysis of Bioactive Compounds, Functional Properties, and Applications of Broccoli By-Products.西兰花副产品的生物活性化合物、功能特性及应用的综合分析
Foods. 2024 Dec 4;13(23):3918. doi: 10.3390/foods13233918.
萝卜硫素 - N - 乙酰半胱氨酸通过激活U87MG和U373MG细胞中的ERK1/2诱导自噬。
Cell Physiol Biochem. 2018;51(2):528-542. doi: 10.1159/000495274. Epub 2018 Nov 20.
4
Sulforaphane induces autophagy by inhibition of HDAC6-mediated PTEN activation in triple negative breast cancer cells.萝卜硫素通过抑制三阴性乳腺癌细胞中 HDAC6 介导的 PTEN 激活诱导自噬。
Life Sci. 2018 Nov 15;213:149-157. doi: 10.1016/j.lfs.2018.10.034. Epub 2018 Oct 20.
5
Allyl Isothiocyanate Induces Autophagy through the Up-Regulation of Beclin-1 in Human Prostate Cancer Cells.异硫氰酸烯丙酯通过上调人前列腺癌细胞中Beclin-1诱导自噬。
Am J Chin Med. 2018 Oct 4:1-19. doi: 10.1142/S0192415X18500830.
6
From chemo-prevention to epigenetic regulation: The role of isothiocyanates in skin cancer prevention.从化学预防到表观遗传调控:异硫氰酸酯在皮肤癌预防中的作用。
Pharmacol Ther. 2018 Oct;190:187-201. doi: 10.1016/j.pharmthera.2018.06.001. Epub 2018 Jun 8.
7
Specificity Protein Transcription Factors and Cancer: Opportunities for Drug Development.特异性蛋白转录因子与癌症:药物研发的机遇。
Cancer Prev Res (Phila). 2018 Jul;11(7):371-382. doi: 10.1158/1940-6207.CAPR-17-0407. Epub 2018 Mar 15.
8
Anticarcinogenic activities of sulforaphane are influenced by Nerve Growth Factor in human melanoma A375 cells.萝卜硫素的抗癌活性受人黑色素瘤 A375 细胞中神经生长因子的影响。
Food Chem Toxicol. 2018 Mar;113:154-161. doi: 10.1016/j.fct.2018.01.051. Epub 2018 Jan 31.
9
Inhibition of autophagy potentiates the anti-metastasis effect of phenethyl isothiocyanate through JAK2/STAT3 pathway in lung cancer cells.苯乙基异硫氰酸酯通过 JAK2/STAT3 通路抑制自噬增强肺癌细胞的抗转移作用。
Mol Carcinog. 2018 Apr;57(4):522-535. doi: 10.1002/mc.22777. Epub 2018 Jan 17.
10
Autophagic cell death and premature senescence: New mechanism of 5-fluorouracil and sulforaphane synergistic anticancer effect in MDA-MB-231 triple negative breast cancer cell line.自噬性细胞死亡和早衰:5-氟尿嘧啶和萝卜硫素协同作用在 MDA-MB-231 三阴性乳腺癌细胞系中抗癌作用的新机制。
Food Chem Toxicol. 2018 Jan;111:1-8. doi: 10.1016/j.fct.2017.10.056. Epub 2017 Nov 2.