Suppr超能文献

非肥胖儿童维生素D水平与血脂谱的关系

Relationship between Vitamin D Level and Lipid Profile in Non-Obese Children.

作者信息

Kim Mi Ra, Jeong Su Jin

机构信息

Department of Pediatrics, CHA Bundang Medical Center, CHA University School of Medicine, Seongnam 13496, Korea.

出版信息

Metabolites. 2019 Jun 30;9(7):125. doi: 10.3390/metabo9070125.

Abstract

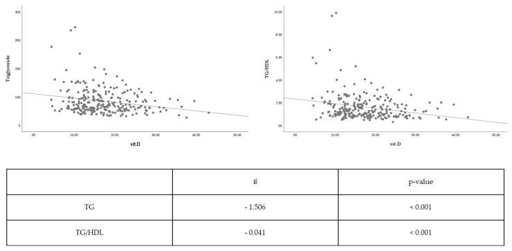
Vitamin D deficiency is associated with not only cardiovascular disease itself but also cardiovascular risk factors, including obesity, hypertension, diabetes, hyperglycemia, and dyslipidemia. This study aimed to investigate the relationship between vitamin D level and lipid profile in non-obese children. A total of 243 non-obese healthy volunteers, aged 9-18 years, were enrolled from March to May 2017. Their height and weight were measured, and body mass index was calculated. Subjects underwent blood tests, including measurements of vitamin D (25(OH)D) level and lipid panels, and were divided into either the vitamin D-deficient group (<20 ng/mL) or normal group. The student's -test and a simple linear regression analysis were used to estimate the association between vitamin D level and lipid profile. Overall, 69.5% of non-obese children ( = 169) had a 25(OH)D level of less than 20 ng/mL. The vitamin D-deficient group showed higher triglyceride (TG) level and TG/high-density lipoprotein cholesterol (HDL-C) ratio than the normal group (TG level: 90.27 vs. 74.74 mmol/L, = 0.003; TG/HDL-C ratio: 1.753 vs. 1.358, = 0.003). Vitamin D level seems to affect the lipid profile, even in non-obese children, and a low vitamin D level may progress to dyslipidemia or obesity in non-obese children.

摘要

维生素D缺乏不仅与心血管疾病本身有关,还与心血管危险因素有关,包括肥胖、高血压、糖尿病、高血糖和血脂异常。本研究旨在探讨非肥胖儿童维生素D水平与血脂谱之间的关系。2017年3月至5月,共招募了243名9至18岁的非肥胖健康志愿者。测量了他们的身高和体重,并计算了体重指数。受试者接受了血液检查,包括维生素D(25(OH)D)水平和血脂指标的测量,并被分为维生素D缺乏组(<20 ng/mL)或正常组。采用学生t检验和简单线性回归分析来评估维生素D水平与血脂谱之间的关联。总体而言,69.5%的非肥胖儿童(n = 169)的25(OH)D水平低于20 ng/mL。维生素D缺乏组的甘油三酯(TG)水平和TG/高密度脂蛋白胆固醇(HDL-C)比值高于正常组(TG水平:90.27 vs. 74.74 mmol/L,P = 0.003;TG/HDL-C比值:1.753 vs. 1.358,P = 0.003)。即使在非肥胖儿童中,维生素D水平似乎也会影响血脂谱,低维生素D水平可能会导致非肥胖儿童出现血脂异常或肥胖。

https://cdn.ncbi.nlm.nih.gov/pmc/blobs/6683/6680594/4788ca46748d/metabolites-09-00125-g001.jpg

文献AI研究员

20分钟写一篇综述,助力文献阅读效率提升50倍。

立即体验

用中文搜PubMed

大模型驱动的PubMed中文搜索引擎

马上搜索

文档翻译

学术文献翻译模型,支持多种主流文档格式。

立即体验