Suppr超能文献

2型糖尿病患者循环中阿拉林浓度较高,胰高血糖素样肽-1受体激动剂治疗可使其升高:一项符合CONSORT标准的研究。

Circulating alarin concentrations are high in patients with type 2 diabetes and increased by glucagon-like peptide-1 receptor agonist treatment: An Consort-compliant study.

作者信息

Hu Wenjing, Fan Xiaoyun, Zhou Baoyong, Li Ling, Tian Bo, Fang Xia, Xu Xiaohui, Liu Hua, Yang Gangyi, Liu Yongsheng

机构信息

Chongqing Prevention and Treatment Hospital for Occupational Diseases.

Department of Hepatobiliary Surgery, First Affiliated Hospital, Chongqing Medical University.

出版信息

Medicine (Baltimore). 2019 Jul;98(28):e16428. doi: 10.1097/MD.0000000000016428.

Abstract

CONTEXT

Alarin has been reported to be relative to food intake and an increase in body weight. However, to date, no report has demonstrated the relationship between circulating alarin and diabetes in humans.

OBJECTIVE

The objective of this study is to gain insight into the possible role of alarin in humans.

DESIGN AND METHODS

164 patients with newly diagnosed type 2 diabetes mellitus (nT2DM), 112 IGT and 134 healthy subjects were recruited for this study. In an interventional study, 29 nT2DM patients were treated by a weekly GLP-1RA for 6 months. Plasma alarin concentrations were measured by ELISA.

RESULTS

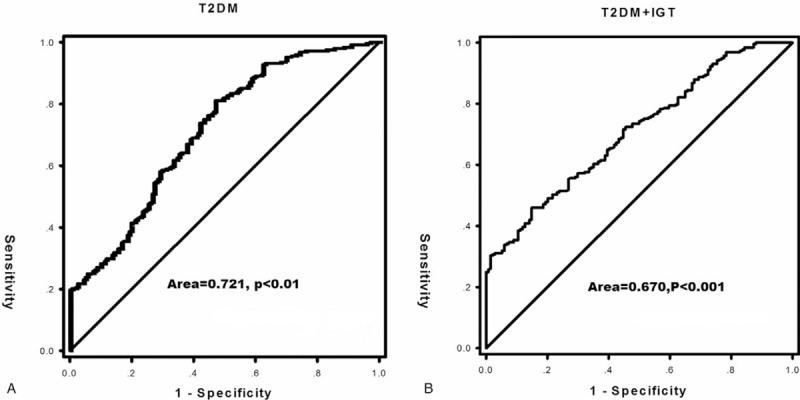
Circulating alarin concentrations were significantly higher in both IGT and nT2DM subjects than in healthy individuals (0.40 ± 0.14 and 0.54 ± 0.24 vs 0.37 ± 0.10 μg/L, P < .05 or P < .01), whereas in T2DM patients, circulating alarin levels were higher than in IGT subjects. Circulating alarin positively correlated with FBG, HbA1c, HOMA-IR, AUCglucose and TNFα (P < .05 or P < .01). Multivariate logistic regression revealed that circulating alarin levels were correlated with IGT and T2DM. GLP-1RA treatment for 6 months increased circulating alarin levels in T2DM patients (from 0.34 ± 0.10 for baseline, to 0.39 ± 0.14 for 12 weeks, and finally to 0.38 ± 0.15 μg/L for 24 weeks; vs. pre-treatment P < .05).

CONCLUSIONS

These data suggest that alarin might be involved in the pathogenesis of T2DM in humans.

CLINICAL TRIAL REGISTRATION NUMBER

ChiCTR-OCS-13003185 (18/03/2013 ).

摘要

背景

据报道,阿拉辛与食物摄入及体重增加有关。然而,迄今为止,尚无报告证明人体循环中的阿拉辛与糖尿病之间的关系。

目的

本研究的目的是深入了解阿拉辛在人体中的可能作用。

设计与方法

本研究招募了164例新诊断的2型糖尿病患者(nT2DM)、112例糖耐量受损(IGT)患者和134例健康受试者。在一项干预性研究中,29例nT2DM患者接受每周一次的胰高血糖素样肽-1受体激动剂(GLP-1RA)治疗6个月。采用酶联免疫吸附测定(ELISA)法测定血浆阿拉辛浓度。

结果

IGT和nT2DM受试者的循环阿拉辛浓度均显著高于健康个体(分别为0.40±0.14和0.54±0.24 vs 0.37±0.10μg/L,P<0.05或P<0.01),而在2型糖尿病患者中,循环阿拉辛水平高于IGT受试者。循环阿拉辛与空腹血糖(FBG)、糖化血红蛋白(HbA1c)、稳态模型评估胰岛素抵抗(HOMA-IR)、葡萄糖曲线下面积(AUCglucose)和肿瘤坏死因子α(TNFα)呈正相关(P<0.05或P<0.01)。多因素逻辑回归分析显示,循环阿拉辛水平与IGT和2型糖尿病相关。GLP-1RA治疗6个月可使2型糖尿病患者的循环阿拉辛水平升高(从基线时的0.34±0.10升高至12周时的0.39±0.14,最终在24周时升高至0.38±0.15μg/L;与治疗前相比,P<0.05)。

结论

这些数据表明,阿拉辛可能参与了人类2型糖尿病的发病机制。

临床试验注册号

ChiCTR-OCS-13003185(2013年3月18日)

https://cdn.ncbi.nlm.nih.gov/pmc/blobs/6874/6641675/c25ae16198d6/medi-98-e16428-g001.jpg

文献AI研究员

20分钟写一篇综述,助力文献阅读效率提升50倍。

立即体验

用中文搜PubMed

大模型驱动的PubMed中文搜索引擎

马上搜索

文档翻译

学术文献翻译模型,支持多种主流文档格式。

立即体验