• 文献检索
  • 文档翻译
  • 深度研究
  • 学术资讯
  • Suppr Zotero 插件Zotero 插件
  • 邀请有礼
  • 套餐&价格
  • 历史记录
应用&插件
Suppr Zotero 插件Zotero 插件浏览器插件Mac 客户端Windows 客户端微信小程序
定价
高级版会员购买积分包购买API积分包
服务
文献检索文档翻译深度研究API 文档MCP 服务
关于我们
关于 Suppr公司介绍联系我们用户协议隐私条款
关注我们

Suppr 超能文献

核心技术专利:CN118964589B侵权必究
粤ICP备2023148730 号-1Suppr @ 2026

文献检索

告别复杂PubMed语法,用中文像聊天一样搜索,搜遍4000万医学文献。AI智能推荐,让科研检索更轻松。

立即免费搜索

文件翻译

保留排版,准确专业,支持PDF/Word/PPT等文件格式,支持 12+语言互译。

免费翻译文档

深度研究

AI帮你快速写综述,25分钟生成高质量综述,智能提取关键信息,辅助科研写作。

立即免费体验

用于预测老年结直肠癌(尤其是结肠癌)术后患者特定原因死亡的竞争风险列线图。

A competing-risk nomogram to predict cause-specific death in elderly patients with colorectal cancer after surgery (especially for colon cancer).

机构信息

Department of Gastrointestinal Surgery, Affiliated Hospital of Yangzhou University, Yangzhou, 225100, People's Republic of China.

Department of Gastrointestinal Surgery, Northern Jiangsu People's Hospital, Clinical Medical School, Affiliated Hospital of Yangzhou University, Yangzhou, 225002, People's Republic of China.

出版信息

World J Surg Oncol. 2020 Feb 4;18(1):30. doi: 10.1186/s12957-020-1805-3.

DOI:10.1186/s12957-020-1805-3
PMID:32019568
原文链接:https://pmc.ncbi.nlm.nih.gov/articles/PMC7001222/
Abstract

BACKGROUND

Clinically, when the diagnosis of colorectal cancer is clear, patients are more concerned about their own prognosis survival. Special population with high risk of accidental death, such as elderly patients, is more likely to die due to causes other than tumors. The main purpose of this study is to construct a prediction model of cause-specific death (CSD) in elderly patients using competing-risk approach, so as to help clinicians to predict the probability of CSD in elderly patients with colorectal cancer.

METHODS

The data were extracted from Surveillance, Epidemiology, and End Results (SEER) database to include ≥ 65-year-old patients with colorectal cancer who had undergone surgical treatment from 2010 to 2016. Using competing-risk methodology, the cumulative incidence function (CIF) of CSD was calculated to select the predictors among 13 variables, and the selected variables were subsequently refined and used for the construction of the proportional subdistribution hazard model. The model was presented in the form of nomogram, and the performance of nomogram was bootstrap validated internally and externally using the concordance index (C-index).

RESULTS

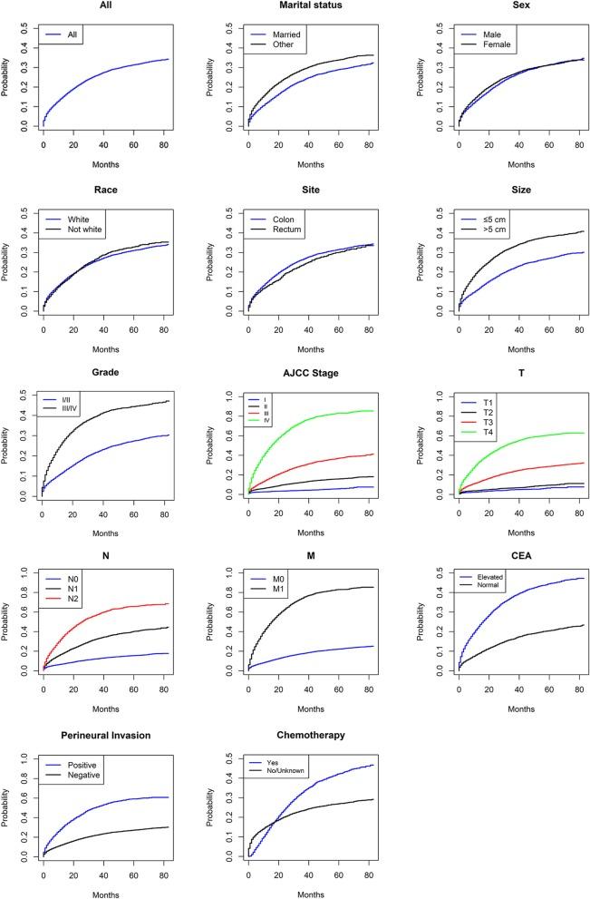
Dataset of 19,789 patients who met the inclusion criteria were eventually selected for analysis. The five-year cumulative incidence of CSD was 31.405% (95% confidence interval [CI] 31.402-31.408%). The identified clinically relevant variables in nomogram included marital status, pathological grade, AJCC TNM stage, CEA, perineural invasion, and chemotherapy. The nomogram was shown to have good discrimination after internal validation with a C-index of 0.801 (95% CI 0.795-0.807) as well as external validation with a C-index of 0.759 (95% CI 0.716-0.802). Both the internal and external validation calibration curve indicated good concordance between the predicted and actual outcomes.

CONCLUSION

Using the large sample database and competing-risk analysis, a postoperative prediction model for elderly patients with colorectal cancer was established with satisfactory accuracy. The individualized estimates of CSD outcome for the elderly patients were realized.

摘要

背景

临床上,当结直肠癌的诊断明确后,患者更关心自身的预后生存情况。对于意外死亡风险较高的特殊人群,如老年患者,其更有可能因肿瘤以外的原因而死亡。本研究旨在采用竞争风险分析方法构建老年结直肠癌患者的特异性死因(CSD)预测模型,以便帮助临床医生预测老年结直肠癌患者发生 CSD 的概率。

方法

从监测、流行病学和最终结果(SEER)数据库中提取 2010 年至 2016 年接受手术治疗的年龄≥65 岁的结直肠癌患者数据。采用竞争风险方法,计算 CSD 的累积发生率函数(CIF),从 13 个变量中筛选预测因素,对筛选出的变量进行精炼并用于构建比例亚分布风险模型。该模型以列线图的形式呈现,通过一致性指数(C 指数)对内、外部进行内部和外部验证。

结果

最终纳入符合条件的 19789 例患者的数据集进行分析。CSD 的 5 年累积发生率为 31.405%(95%置信区间[CI]31.402-31.408%)。列线图中确定的具有临床意义的变量包括婚姻状况、病理分级、AJCC TNM 分期、CEA、神经周围侵犯和化疗。内部验证后,该列线图的 C 指数为 0.801(95%CI0.795-0.807),外部验证的 C 指数为 0.759(95%CI0.716-0.802),均具有良好的区分度。内部和外部验证的校准曲线均表明,预测结果与实际结果具有良好的一致性。

结论

利用大样本数据库和竞争风险分析,建立了一种用于老年结直肠癌患者的术后预测模型,具有较好的准确性。实现了对老年患者 CSD 结局的个体化评估。

https://cdn.ncbi.nlm.nih.gov/pmc/blobs/0fd2/7001222/302e1359d11a/12957_2020_1805_Fig7_HTML.jpg
https://cdn.ncbi.nlm.nih.gov/pmc/blobs/0fd2/7001222/1f21f9dc4c2f/12957_2020_1805_Fig1_HTML.jpg
https://cdn.ncbi.nlm.nih.gov/pmc/blobs/0fd2/7001222/56d520d174c7/12957_2020_1805_Fig2_HTML.jpg
https://cdn.ncbi.nlm.nih.gov/pmc/blobs/0fd2/7001222/8a19c4acd54d/12957_2020_1805_Fig3_HTML.jpg
https://cdn.ncbi.nlm.nih.gov/pmc/blobs/0fd2/7001222/f62f2a5b1fec/12957_2020_1805_Fig4_HTML.jpg
https://cdn.ncbi.nlm.nih.gov/pmc/blobs/0fd2/7001222/378c10e8df6f/12957_2020_1805_Fig5_HTML.jpg
https://cdn.ncbi.nlm.nih.gov/pmc/blobs/0fd2/7001222/0a3c161a82a7/12957_2020_1805_Fig6_HTML.jpg
https://cdn.ncbi.nlm.nih.gov/pmc/blobs/0fd2/7001222/302e1359d11a/12957_2020_1805_Fig7_HTML.jpg
https://cdn.ncbi.nlm.nih.gov/pmc/blobs/0fd2/7001222/1f21f9dc4c2f/12957_2020_1805_Fig1_HTML.jpg
https://cdn.ncbi.nlm.nih.gov/pmc/blobs/0fd2/7001222/56d520d174c7/12957_2020_1805_Fig2_HTML.jpg
https://cdn.ncbi.nlm.nih.gov/pmc/blobs/0fd2/7001222/8a19c4acd54d/12957_2020_1805_Fig3_HTML.jpg
https://cdn.ncbi.nlm.nih.gov/pmc/blobs/0fd2/7001222/f62f2a5b1fec/12957_2020_1805_Fig4_HTML.jpg
https://cdn.ncbi.nlm.nih.gov/pmc/blobs/0fd2/7001222/378c10e8df6f/12957_2020_1805_Fig5_HTML.jpg
https://cdn.ncbi.nlm.nih.gov/pmc/blobs/0fd2/7001222/0a3c161a82a7/12957_2020_1805_Fig6_HTML.jpg
https://cdn.ncbi.nlm.nih.gov/pmc/blobs/0fd2/7001222/302e1359d11a/12957_2020_1805_Fig7_HTML.jpg

相似文献

1
A competing-risk nomogram to predict cause-specific death in elderly patients with colorectal cancer after surgery (especially for colon cancer).用于预测老年结直肠癌(尤其是结肠癌)术后患者特定原因死亡的竞争风险列线图。
World J Surg Oncol. 2020 Feb 4;18(1):30. doi: 10.1186/s12957-020-1805-3.
2
Nomogram predicting cancer-specific survival in elderly patients with stages I-III colon cancer.预测 I-III 期老年结肠癌患者癌症特异性生存的列线图。
Scand J Gastroenterol. 2020 Feb;55(2):202-208. doi: 10.1080/00365521.2020.1720280. Epub 2020 Feb 1.
3
Nomogram to Predict Cause-Specific Mortality in Patients With Surgically Resected Stage I Non-Small-Cell Lung Cancer: A Competing Risk Analysis.列线图预测手术切除的 I 期非小细胞肺癌患者的特定原因死亡率:竞争风险分析。
Clin Lung Cancer. 2018 Mar;19(2):e195-e203. doi: 10.1016/j.cllc.2017.10.016. Epub 2017 Oct 28.
4
Nomograms for Estimating Cause-Specific Death Rates of Patients With Inflammatory Breast Cancer: A Competing-Risks Analysis.炎性乳腺癌患者特定原因死亡率的列线图估计:竞争风险分析。
Technol Cancer Res Treat. 2021 Jan-Dec;20:15330338211016371. doi: 10.1177/15330338211016371.
5
A competing-risks nomogram for predicting probability of death from CRC in Chinese Han patients with Stage I-III CRC.用于预测中国汉族 I-III 期结直肠癌患者结直肠癌死亡概率的竞争风险列线图。
Jpn J Clin Oncol. 2018 Dec 1;48(12):1088-1095. doi: 10.1093/jjco/hyy136.
6
Development and validation of nomograms for predicting survival of elderly patients with stage I small-cell lung cancer.列线图预测Ⅰ期老年小细胞肺癌患者生存的建立与验证。
Bosn J Basic Med Sci. 2021 Oct 1;21(5):632-641. doi: 10.17305/bjbms.2020.5420.
7
Development and validation of a nomogram to predict survival after curative resection of nonmetastatic colorectal cancer.开发和验证一个列线图模型,以预测非转移性结直肠癌根治性切除术后的生存情况。
Cancer Med. 2020 Jun;9(12):4126-4136. doi: 10.1002/cam4.3010. Epub 2020 Apr 21.
8
Nomograms to predict survival after colorectal cancer resection without preoperative therapy.预测未经术前治疗的结直肠癌切除术后生存率的列线图。
BMC Cancer. 2016 Aug 19;16(1):658. doi: 10.1186/s12885-016-2684-4.
9
Prediction of death probability in adenocarcinoma of the transverse colon: competing-risk nomograms based on 21,469 patients.横结肠癌死亡概率的预测:基于21469例患者的竞争风险列线图
J Cancer Res Clin Oncol. 2023 Sep;149(12):10435-10452. doi: 10.1007/s00432-023-04913-w. Epub 2023 Jun 6.
10
Nomogram to predict cause-specific mortality of patients with rectal adenocarcinoma undergoing surgery: a competing risk analysis.列线图预测接受手术治疗的直肠腺癌患者的特定原因死亡率:竞争风险分析。
BMC Gastroenterol. 2022 Feb 10;22(1):57. doi: 10.1186/s12876-022-02131-1.

引用本文的文献

1
Establishment and Validation of a Prognostic Nomogram for Predicting Postoperative Overall Survival in Advanced Stage III-IV Colorectal Cancer Patients.建立并验证预测 III-IV 期结直肠癌患者术后总生存期的列线图预后模型。
Cancer Med. 2024 Nov;13(22):e70385. doi: 10.1002/cam4.70385.
2
Development and construction of a cataract risk prediction model based on biochemical indices: the National Health and Nutrition Examination Survey, 2005-2008.基于生化指标的白内障风险预测模型的开发与构建:2005 - 2008年美国国家健康与营养检查调查
Front Med (Lausanne). 2024 Oct 21;11:1452756. doi: 10.3389/fmed.2024.1452756. eCollection 2024.
3

本文引用的文献

1
The impact of local control on overall survival after stereotactic body radiotherapy for liver and lung metastases from colorectal cancer: a combined analysis of 388 patients with 500 metastases.立体定向体部放疗治疗结直肠癌肝肺转移局部控制对总生存的影响:500 处转移灶 388 例患者的联合分析。
BMC Cancer. 2019 Feb 26;19(1):173. doi: 10.1186/s12885-019-5362-5.
2
Clinical signs of retroperitoneal abscess from colonic perforation: Two case reports and literature review.结肠穿孔致腹膜后脓肿的临床体征:两例报告及文献综述
Medicine (Baltimore). 2018 Nov;97(45):e13176. doi: 10.1097/MD.0000000000013176.
3
Stereotactic body radiotherapy for colorectal cancer liver metastases: A systematic review.
An internally and externally validated nomogram for predicting cancer-specific survival in octogenarians after radical resection for colorectal cancer.
用于预测 80 岁以上接受结直肠癌根治性切除术后癌症特异性生存的内部和外部验证列线图。
Aging Clin Exp Res. 2024 Jul 26;36(1):152. doi: 10.1007/s40520-024-02809-4.
4
Clinical characteristics and prognosis analysis of postoperative patients with stage I-III colon cancer based on SEER database.基于 SEER 数据库的 I-III 期结肠癌术后患者的临床特征和预后分析。
Clin Transl Oncol. 2024 Jan;26(1):225-230. doi: 10.1007/s12094-023-03239-w. Epub 2023 Jul 1.
5
Risk scores to predict mortality 2 and 5 years after surgery for colorectal cancer in elderly patients.预测老年结直肠癌患者手术后 2 年和 5 年死亡率的风险评分。
World J Surg Oncol. 2021 Aug 26;19(1):252. doi: 10.1186/s12957-021-02356-6.
6
A Nomogram for Predicting Multiple Metastases in Metastatic Colorectal Cancer Patients: A Large Population-Based Study.预测转移性结直肠癌患者多处转移的列线图:一项基于大人群的研究
Front Oncol. 2021 May 13;11:633995. doi: 10.3389/fonc.2021.633995. eCollection 2021.
7
Proteomic profiling reveals a signature for optimizing prognostic prediction in Colon Cancer.蛋白质组学分析揭示了优化结肠癌预后预测的特征。
J Cancer. 2021 Feb 22;12(8):2199-2205. doi: 10.7150/jca.50630. eCollection 2021.
8
Neoadjuvant chemoradiotherapy for patients with unresectable radically locally advanced colon cancer: a potential improvement to overall survival and decrease to multivisceral resection.不可切除的局部晚期结肠癌患者的新辅助放化疗:整体生存的潜在改善和多脏器切除的减少。
BMC Cancer. 2021 Feb 19;21(1):179. doi: 10.1186/s12885-021-07894-6.
9
Development and validation of prognostic nomograms for early-onset locally advanced colon cancer.早期局部进展期结肠癌预后列线图的建立与验证。
Aging (Albany NY). 2020 Dec 3;13(1):477-492. doi: 10.18632/aging.202157.
10
Prediction of mortality in metastatic colorectal cancer in a real-life population: a multicenter explorative analysis.真实人群中转移性结直肠癌患者死亡的预测:一项多中心探索性分析。
BMC Cancer. 2020 Nov 25;20(1):1149. doi: 10.1186/s12885-020-07656-w.
立体定向体部放疗治疗结直肠癌肝转移:系统评价。
Radiother Oncol. 2018 Dec;129(3):427-434. doi: 10.1016/j.radonc.2018.06.035. Epub 2018 Jul 9.
4
Comparison of prognostic models to predict the occurrence of colorectal cancer in asymptomatic individuals: a systematic literature review and external validation in the EPIC and UK Biobank prospective cohort studies.比较预测无症状个体结直肠癌发生的预后模型:一项系统文献回顾和 EPIC 及 UK Biobank 前瞻性队列研究的外部验证。
Gut. 2019 Apr;68(4):672-683. doi: 10.1136/gutjnl-2017-315730. Epub 2018 Apr 3.
5
Nomogram for survival analysis in the presence of competing risks.存在竞争风险时生存分析的列线图
Ann Transl Med. 2017 Oct;5(20):403. doi: 10.21037/atm.2017.07.27.
6
Does tumor size have its prognostic role in colorectal cancer? Re-evaluating its value in colorectal adenocarcinoma with different macroscopic growth pattern.肿瘤大小在结直肠癌中是否具有预后作用?重新评估不同大体生长模式的结直肠腺癌中肿瘤大小的价值。
Int J Surg. 2017 Sep;45:105-112. doi: 10.1016/j.ijsu.2017.07.100. Epub 2017 Jul 29.
7
Clinical prediction models.临床预测模型
Br J Surg. 2016 Dec;103(13):1886. doi: 10.1002/bjs.10242.
8
Novel lymph node ratio predicts prognosis of colorectal cancer patients after radical surgery when tumor deposits are counted as positive lymph nodes: a retrospective multicenter study.当将肿瘤结节计为阳性淋巴结时,新型淋巴结比率可预测结直肠癌患者根治性手术后的预后:一项回顾性多中心研究。
Oncotarget. 2016 Nov 8;7(45):73865-73875. doi: 10.18632/oncotarget.12076.
9
Control of primary lesions using resection or radiotherapy can improve the prognosis of metastatic colorectal cancer patients.采用手术切除或放疗控制原发性病灶可改善转移性结直肠癌患者的预后。
J Surg Oncol. 2016 Jul;114(1):75-9. doi: 10.1002/jso.24255. Epub 2016 Apr 25.
10
Marital status independently predicts gastric cancer survival after surgical resection--an analysis of the SEER database.婚姻状况可独立预测胃癌手术切除后的生存率——基于监测、流行病学和最终结果(SEER)数据库的分析
Oncotarget. 2016 Mar 15;7(11):13228-35. doi: 10.18632/oncotarget.7107.