Research Unit in Applied Microbiology and Pharmacology of natural substances, Research Laboratory in Applied Biology, Polytechnic School of Abomey-Calavi, University of Abomey-Calavi, Cotonou, Benin.
Laboratory of Biology and Molecular Typing in Microbiology, Faculty of Science and Technology, University of Abomey-Calavi, Cotonou, Benin.
BMC Vet Res. 2020 Feb 10;16(1):49. doi: 10.1186/s12917-020-2266-1.
Uvaria chamae (Annonaceae), Phyllantus amarus (Phyllantaceae) and Lantana camara (Verbenaceae) are empirically alleged to be used as Beninese medicinal plants in the treatment of salmonellosis. This study aimed to produce scientific data on in vitro and in vivo efficacy of Uvaria chamae, Lantana camara and Phyllantus amarus on multiresistant Salmonella spp isolated in Benin.
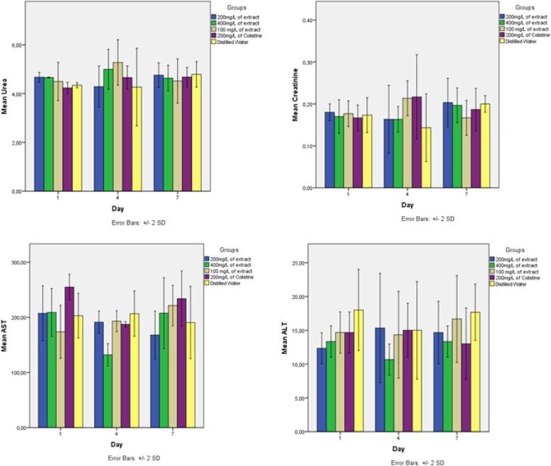
After performing in vitro tests on aqueous and ethanolic extracts of these plants, only the aqueous extract of Uvaria chamae (leaves) showed the best anti-Salmonella's activity and was used for this in vivo experiment. The induction of salmonellosis revealed 9 × 10 CFU/ml was the optimal concentration triggering and maintaining symptoms in chicks. This infective concentration was used for in vivo assessment. Twenty-four hours post inoculation, the symptoms of salmonellosis (wet cloaca, diarrhea stools and somnolence) were observed in infected groups. After 7 days of treatment, the reduction of bacterial load at 100 mg/L, 200 mg/L, 400 mg/L of the extract was respectively 85%, 52.38% and 98% for Uvaria chamae, Phyllantus amarus and Lantana camara in the chick's groups infected with Salmonella Typhimurium ATCC 14028. On the other hand, colistin completely cancelled the bacterial load (reduction rate of 100%). With the groups infected with Salmonella spp (virulent strain), the reduction rate of bacterial load at 100 mg/L, 200 mg/L, 400 mg/L of extract was 0%, 98.66%, and 99.33%. The extracts at 200 and 400 mg/L were more active than colistin, which reduced the bacterial load by 33.33%. The toxicity tests did not show any negative effect of Colistin and the Uvaria chamae's extract on the biochemical and hematological parameters of the chicks.
The aqueous extract of Uvaria chamae is active in vitro and in vivo on multiresistant strains of Salmonella enterica. This plant is a good candidate for the development of an improved traditional medicine for the management of salmonellosis.
乌瓦利亚·查马(番荔枝科)、苦叶菜(叶下珠科)和马缨丹(马鞭草科)被认为是贝宁传统医学中治疗沙门氏菌病的药用植物。本研究旨在为贝宁分离的多耐药沙门氏菌的体外和体内 Uvaria chamae、Lantana camara 和 Phyllantus amarus 的疗效提供科学依据。
对这些植物的水提物和醇提物进行体外试验后,只有乌瓦利亚·查马(叶)的水提物显示出最佳的抗沙门氏菌活性,并用于该体内实验。诱导的沙门氏菌病显示 9×10 CFU/ml 是触发和维持雏鸡症状的最佳感染浓度。该感染浓度用于体内评估。接种后 24 小时,感染组观察到沙门氏菌病(湿泄殖腔、腹泻粪便和昏睡)的症状。治疗 7 天后,乌瓦利亚·查马、苦叶菜和马缨丹提取物在感染鼠伤寒沙门氏菌 ATCC 14028 的雏鸡组中的细菌负荷分别降低 100mg/L、200mg/L、400mg/L 时,抑菌率分别为 85%、52.38%和 98%。另一方面,粘菌素完全消除了细菌负荷(降低率 100%)。在感染沙门氏菌 spp(毒力株)的组中,提取物在 100mg/L、200mg/L、400mg/L 时的细菌负荷降低率分别为 0%、98.66%和 99.33%。200 和 400mg/L 的提取物比粘菌素更活跃,降低了 33.33%的细菌负荷。毒性试验未显示粘菌素和乌瓦利亚·查马提取物对雏鸡生化和血液学参数有任何不良影响。
乌瓦利亚·查马的水提物在体外和体内对多重耐药的沙门氏菌菌株均有活性。该植物是开发用于管理沙门氏菌病的改良传统药物的良好候选者。