Department of Breast Surgery, Obstetrics and Gynecology Hospital of Fudan University, Shanghai, China.
Biosci Rep. 2020 Feb 28;40(2). doi: 10.1042/BSR20193286.
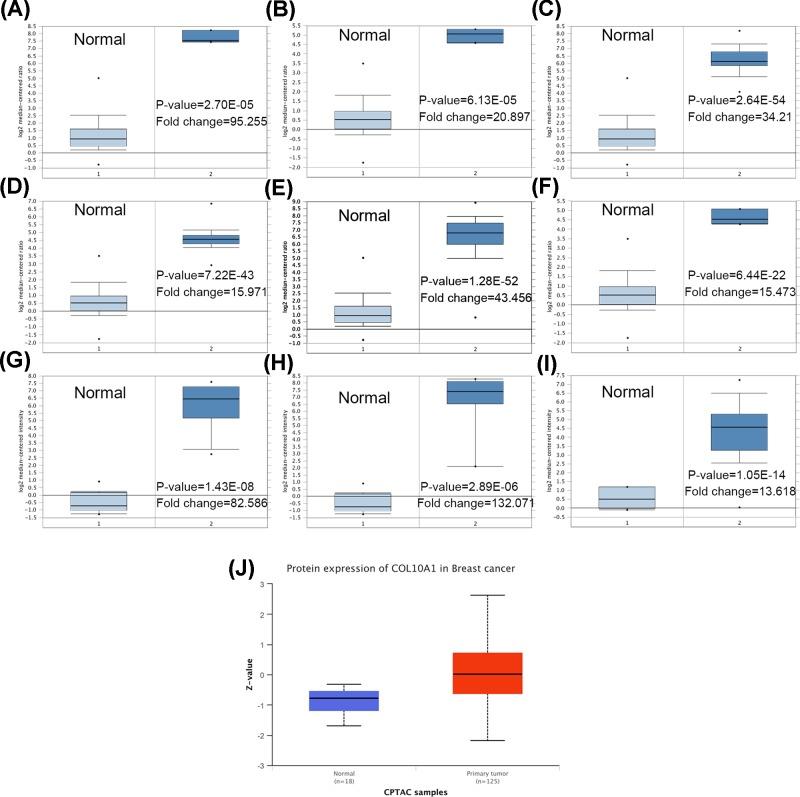
Collagen type X alpha 1 (COL10A1) is overexpressed in diverse tumors and displays vital roles in tumorigenesis. However, the prognostic value of COL10A1 in breast cancer remains unclear.
The expression of COL10A1 was analyzed by the Oncomine database and UALCAN cancer database. The relationship between COL10A1 expression level and clinical indicators including prognostic data in breast cancer were analyzed by the Kaplan-Meier Plotter, PrognoScan, and Breast Cancer Gene-Expression Miner (bc-GenExMiner) databases.
COL10A1 was up-regulated in different subtypes of breast cancer. Estrogen receptor (ER), progesterone receptor (PR), human epidermal growth factor receptor-2 (HER-2) status and nodal status were positively correlated with COL10A1 expression. Conversely, age, the Scarff-Bloom-Richardson (SBR) grade, basal-like status, and triple-negative status were negatively related to COL10A1 level in breast cancer samples compared with normal tissues. Patients with increased COL10A1 expression level showed worse overall survival (OS), relapse-free survival (RFS), distant metastasis-free survival (DMFS) and disease-free survival (DFS). COL10A1 was positively correlated with metastatic relapse-free survival. GSEA analysis revealed that enrichment of TGF-β signaling pathway. 15-leucine-rich repeat containing membrane protein (LRRC15) is a correlated gene of COL10A1.
Bioinformatics analysis revealed that COL10A1 might be considered as a predictive biomarker for prognosis of breast cancer. Further experiments and clinical trials are essential to elucidate the value of COL10A1 in breast cancer treatment.
胶原 X 型 α1 链(COL10A1)在多种肿瘤中过度表达,在肿瘤发生中发挥重要作用。然而,COL10A1 在乳腺癌中的预后价值尚不清楚。
通过 Oncomine 数据库和 UALCAN 癌症数据库分析 COL10A1 的表达。通过 Kaplan-Meier Plotter、PrognoScan 和 Breast Cancer Gene-Expression Miner(bc-GenExMiner)数据库分析 COL10A1 表达水平与乳腺癌临床指标(包括预后数据)之间的关系。
COL10A1 在不同亚型的乳腺癌中上调。雌激素受体(ER)、孕激素受体(PR)、人表皮生长因子受体-2(HER-2)状态和淋巴结状态与 COL10A1 表达呈正相关。相反,与正常组织相比,年龄、Scarff-Bloom-Richardson(SBR)分级、基底样状态和三阴性状态与乳腺癌样本中的 COL10A1 水平呈负相关。COL10A1 表达水平升高的患者总生存(OS)、无复发生存(RFS)、无远处转移生存(DMFS)和无病生存(DFS)较差。COL10A1 与转移性无复发生存呈正相关。GSEA 分析显示 TGF-β 信号通路富集。15 亮氨酸重复膜蛋白(LRRC15)是 COL10A1 的相关基因。
生物信息学分析表明,COL10A1 可能被视为预测乳腺癌预后的生物标志物。进一步的实验和临床试验对于阐明 COL10A1 在乳腺癌治疗中的价值至关重要。