Lall Sujata, Agarwala Pragya, Kumar Guresh, Sharma Manoj Kumar, Gupta Ekta
Department of Clinical Virology, Institute of liver and Biliary Sciences, Delhi 110070, India.
Department of Clinical Research, Institute of liver and Biliary Sciences, Delhi 110070, India.
Clin Mol Hepatol. 2020 Apr;26(2):187-195. doi: 10.3350/cmh.2019.0060. Epub 2020 Apr 7.
BACKGROUND/AIMS: Acute exacerbations of chronic hepatitis B (CHB-AEs) are common in endemic areas and are often presumed to be acute hepatitis B (AHB) due to their similarities in clinical and serological pictures, presenting a major diagnostic dilemma. This study aimed to identify laboratory markers for differentiating between the two groups, and to establish the cut-off value for significant markers.
.
A retrospective analysis of records was conducted for patients who presented with clinical features of acute hepatitis along with hepatitis B surface antigen (HBsAg) and IgM antibody to hepatitis B core antigen (IgM anti-HBc) positivity from May 2015 to May 2017. A total of 172 patients were enrolled and grouped as AHB (n=89) and CHB-AE (n=83) based on their history of hepatitis B virus infection and duration of HBsAg persistence. Virological and biochemical parameters were analyzed and compared. Cut-off values, sensitivity, and specificity of the variables were calculated.
.
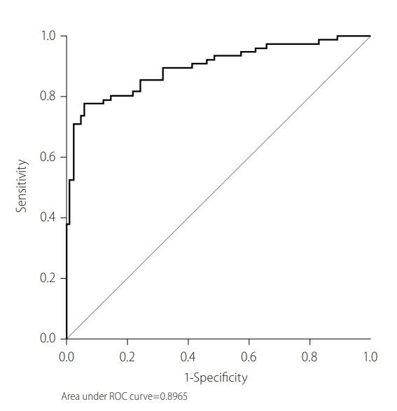
The median value of signal by cut-off (S/Co) ratio for IgM anti-HBc was significantly higher in AHB group (30.44) compared to CHB-AE group (8.63) with a sensitivity and specificity of 97% and 84%, respectively, at a cut-off of 20.5 (P<0.01). The mean international normalized ratio (INR) was significantly greater in CHB-AE (1.88±1.24) group compared to AHB group (1.62±0.17) with a sensitivity and specificity of 57.9% and 45.1%, respectively, at a cut-off value of 1.27.
.
A value of 20.5 S/Co of IgM anti-HBc and 1.27 INR could be helpful in differentiating between AHB and CHB-AE. (Clin Mol Hepatol 2020;26:187-195).
背景/目的:慢性乙型肝炎急性加重(CHB-AEs)在乙肝流行地区很常见,由于其临床和血清学表现相似,常被误诊为急性乙型肝炎(AHB),这带来了主要的诊断难题。本研究旨在确定区分这两组的实验室指标,并建立重要指标的临界值。
对2015年5月至2017年5月期间出现急性肝炎临床特征且乙肝表面抗原(HBsAg)和乙肝核心抗原IgM抗体(IgM抗-HBc)阳性的患者进行病历回顾性分析。共纳入172例患者,根据其乙肝病毒感染史和HBsAg持续时间分为AHB组(n = 89)和CHB-AE组(n = 83)。分析并比较病毒学和生化参数。计算变量的临界值、敏感性和特异性。
AHB组IgM抗-HBc的临界值信号比(S/Co)中位数(30.44)显著高于CHB-AE组(8.63),临界值为20.5时,敏感性和特异性分别为97%和84%(P<0.01)。CHB-AE组的平均国际标准化比值(INR)(1.88±1.24)显著高于AHB组(1.62±0.17),临界值为1.27时,敏感性和特异性分别为57.9%和45.1%。
IgM抗-HBc的S/Co值为20.5及INR值为1.27有助于区分AHB和CHB-AE。(《临床分子肝病学》2020年;26:187 - 195)