• 文献检索
  • 文档翻译
  • 深度研究
  • 学术资讯
  • Suppr Zotero 插件Zotero 插件
  • 邀请有礼
  • 套餐&价格
  • 历史记录
应用&插件
Suppr Zotero 插件Zotero 插件浏览器插件Mac 客户端Windows 客户端微信小程序
定价
高级版会员购买积分包购买API积分包
服务
文献检索文档翻译深度研究API 文档MCP 服务
关于我们
关于 Suppr公司介绍联系我们用户协议隐私条款
关注我们

Suppr 超能文献

核心技术专利:CN118964589B侵权必究
粤ICP备2023148730 号-1Suppr @ 2026

文献检索

告别复杂PubMed语法,用中文像聊天一样搜索,搜遍4000万医学文献。AI智能推荐,让科研检索更轻松。

立即免费搜索

文件翻译

保留排版,准确专业,支持PDF/Word/PPT等文件格式,支持 12+语言互译。

免费翻译文档

深度研究

AI帮你快速写综述,25分钟生成高质量综述,智能提取关键信息,辅助科研写作。

立即免费体验

冠状动脉疾病与环境暴露(CADEE)研究中个体对环境颗粒物、元素碳、一氧化氮、一氧化碳暴露的精细尺度建模。

Fine-Scale Modeling of Individual Exposures to Ambient PM, EC, NO, CO for the Coronary Artery Disease and Environmental Exposure (CADEE) Study.

作者信息

Breen Michael, Chang Shih Ying, Breen Miyuki, Xu Yadong, Isakov Vlad, Arunachalam Sarav, Carraway Martha Sue, Devlin Robert

机构信息

Center for Public Health and Environmental Assessment, U.S. Environmental Protection Agency, Research Triangle Park, NC 27711, USA.

Institute for the Environment, University of North Carolina at Chapel Hill, Chapel Hill, NC 27517, USA.

出版信息

Atmosphere (Basel). 2020 Jan 3;11(1):1-65. doi: 10.3390/atmos11010065.

DOI:10.3390/atmos11010065
PMID:32461808
原文链接:https://pmc.ncbi.nlm.nih.gov/articles/PMC7252567/
Abstract

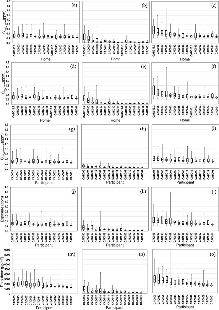
Air pollution epidemiological studies often use outdoor concentrations from central-site monitors as exposure surrogates, which can induce measurement error. The goal of this study was to improve exposure assessments of ambient fine particulate matter (PM), elemental carbon (EC), nitrogen oxides (NO), and carbon monoxide (CO) for a repeated measurements study with 15 individuals with coronary artery disease in central North Carolina called the Coronary Artery Disease and Environmental Exposure (CADEE) Study. We developed a fine-scale exposure modeling approach to determine five tiers of individual-level exposure metrics for PM, EC, NO, CO using outdoor concentrations, on-road vehicle emissions, weather, home building characteristics, time-locations, and time-activities. We linked an urban-scale air quality model, residential air exchange rate model, building infiltration model, global positioning system (GPS)-based microenvironment model, and accelerometer-based inhaled ventilation model to determine residential outdoor concentrations (C, Tier 1), residential indoor concentrations (C, Tier 2), personal outdoor concentrations (C, Tier 3), exposures (E, Tier 4), and inhaled doses (D, Tier 5). We applied the fine-scale exposure model to determine daily 24-h average PM, EC, NO, CO exposure metrics (Tiers 1-5) for 720 participant-days across the 25 months of CADEE. Daily modeled metrics showed considerable temporal and home-to-home variability of C and C (Tiers 1-2) and person-to-person variability of C, E, and D (Tiers 3-5). Our study demonstrates the ability to apply an urban-scale air quality model with an individual-level exposure model to determine multiple tiers of exposure metrics for an epidemiological study, in support of improving health risk assessments.

摘要

空气污染流行病学研究通常将中心站点监测器的室外浓度用作暴露替代指标,这可能会导致测量误差。本研究的目的是改进对北卡罗来纳州中部15名冠心病患者进行的重复测量研究中环境细颗粒物(PM)、元素碳(EC)、氮氧化物(NO)和一氧化碳(CO)的暴露评估,该研究称为冠心病与环境暴露(CADEE)研究。我们开发了一种精细尺度的暴露建模方法,以使用室外浓度、道路上的车辆排放、天气、房屋建筑特征、时间地点和时间活动来确定PM、EC、NO、CO的五个层级的个体水平暴露指标。我们将城市尺度空气质量模型、住宅空气交换率模型、建筑物渗透模型、基于全球定位系统(GPS)的微环境模型和基于加速度计的吸入通风模型相链接,以确定住宅室外浓度(C,第1层级)、住宅室内浓度(C,第2层级)、个人室外浓度(C,第3层级)、暴露量(E,第4层级)和吸入剂量(D,第5层级)。我们应用精细尺度暴露模型来确定CADEE研究25个月期间720个参与者日的每日24小时平均PM、EC、NO、CO暴露指标(第1 - 5层级)。每日建模指标显示,C和C(第1 - 2层级)在时间和家庭之间存在相当大的变异性,而C、E和D(第3 - 5层级)在人与人之间存在变异性。我们的研究证明了将城市尺度空气质量模型与个体水平暴露模型相结合以确定流行病学研究中多个层级暴露指标的能力,有助于改进健康风险评估。

https://cdn.ncbi.nlm.nih.gov/pmc/blobs/5ca8/7252567/5b972a33392b/nihms-1551998-f0006.jpg
https://cdn.ncbi.nlm.nih.gov/pmc/blobs/5ca8/7252567/4a81731d7b9a/nihms-1551998-f0001.jpg
https://cdn.ncbi.nlm.nih.gov/pmc/blobs/5ca8/7252567/07c05e519992/nihms-1551998-f0002.jpg
https://cdn.ncbi.nlm.nih.gov/pmc/blobs/5ca8/7252567/0691186b7e1d/nihms-1551998-f0003.jpg
https://cdn.ncbi.nlm.nih.gov/pmc/blobs/5ca8/7252567/221aaf91300a/nihms-1551998-f0004.jpg
https://cdn.ncbi.nlm.nih.gov/pmc/blobs/5ca8/7252567/4485fd2d8ee7/nihms-1551998-f0005.jpg
https://cdn.ncbi.nlm.nih.gov/pmc/blobs/5ca8/7252567/5b972a33392b/nihms-1551998-f0006.jpg
https://cdn.ncbi.nlm.nih.gov/pmc/blobs/5ca8/7252567/4a81731d7b9a/nihms-1551998-f0001.jpg
https://cdn.ncbi.nlm.nih.gov/pmc/blobs/5ca8/7252567/07c05e519992/nihms-1551998-f0002.jpg
https://cdn.ncbi.nlm.nih.gov/pmc/blobs/5ca8/7252567/0691186b7e1d/nihms-1551998-f0003.jpg
https://cdn.ncbi.nlm.nih.gov/pmc/blobs/5ca8/7252567/221aaf91300a/nihms-1551998-f0004.jpg
https://cdn.ncbi.nlm.nih.gov/pmc/blobs/5ca8/7252567/4485fd2d8ee7/nihms-1551998-f0005.jpg
https://cdn.ncbi.nlm.nih.gov/pmc/blobs/5ca8/7252567/5b972a33392b/nihms-1551998-f0006.jpg

相似文献

1
Fine-Scale Modeling of Individual Exposures to Ambient PM, EC, NO, CO for the Coronary Artery Disease and Environmental Exposure (CADEE) Study.冠状动脉疾病与环境暴露(CADEE)研究中个体对环境颗粒物、元素碳、一氧化氮、一氧化碳暴露的精细尺度建模。
Atmosphere (Basel). 2020 Jan 3;11(1):1-65. doi: 10.3390/atmos11010065.
2
TracMyAir smartphone application for modeling exposures to PM and ozone - Integration with air quality networks and location-activity sensors.用于模拟细颗粒物(PM)和臭氧暴露的TracMyAir智能手机应用程序——与空气质量网络和位置活动传感器的集成。
Sci Total Environ. 2025 Jan 10;959:178200. doi: 10.1016/j.scitotenv.2024.178200. Epub 2024 Dec 29.
3
Modeling individual exposures to ambient PM in the diabetes and the environment panel study (DEPS).建模糖尿病与环境队列研究(DEPS)中个体的环境 PM 暴露情况。
Sci Total Environ. 2018 Jun 1;626:807-816. doi: 10.1016/j.scitotenv.2018.01.139. Epub 2018 Feb 19.
4
Development of TracMyAir Smartphone Application for Modeling Exposures to Ambient PM and Ozone.开发 TracMyAir 智能手机应用程序,用于模拟大气 PM 和臭氧暴露情况。
Int J Environ Res Public Health. 2019 Sep 18;16(18):3468. doi: 10.3390/ijerph16183468.
5
Evaluating heterogeneity in indoor and outdoor air pollution using land-use regression and constrained factor analysis.利用土地利用回归和约束因子分析评估室内和室外空气污染的异质性。
Res Rep Health Eff Inst. 2010 Dec(152):5-80; discussion 81-91.
6
Characterizing Determinants of Near-Road Ambient Air Quality for an Urban Intersection and a Freeway Site.描述城市交叉口和高速公路站点附近环境空气质量的决定因素。
Res Rep Health Eff Inst. 2022 Sep;2022(207):1-73.
7
Air Pollution Exposure Model for Individuals (EMI) in Health Studies: Evaluation for Ambient PM2.5 in Central North Carolina.个体空气污染暴露模型(EMI)在健康研究中的应用:以中北卡罗来纳州为例评估环境 PM2.5。
Environ Sci Technol. 2015 Dec 15;49(24):14184-94. doi: 10.1021/acs.est.5b02765. Epub 2015 Nov 12.
8
Enhancing Models and Measurements of Traffic-Related Air Pollutants for Health Studies Using Dispersion Modeling and Bayesian Data Fusion.利用扩散模型和贝叶斯数据融合技术改进交通相关空气污染物的模型和测量方法,以用于健康研究。
Res Rep Health Eff Inst. 2020 Mar;2020(202):1-63.
9
Developing Multipollutant Exposure Indicators of Traffic Pollution: The Dorm Room Inhalation to Vehicle Emissions (DRIVE) Study.开发交通污染的多污染物暴露指标:宿舍吸入车辆排放(DRIVE)研究。
Res Rep Health Eff Inst. 2018 Apr;2018(196):3-75.
10
Analysis of Personal and Home Characteristics Associated with the Elemental Composition of PM2.5 in Indoor, Outdoor, and Personal Air in the RIOPA Study.RIOPA研究中与室内、室外及个人空气中PM2.5元素组成相关的个人及家庭特征分析
Res Rep Health Eff Inst. 2015 Dec(185):3-40.

引用本文的文献

1
Uncertainty Reduction and Environmental Justice in Air Pollution Epidemiology: The Importance of Minority Representation.空气污染流行病学中的不确定性降低与环境正义:少数群体代表性的重要性。
Geohealth. 2023 Sep 28;7(10):e2023GH000854. doi: 10.1029/2023GH000854. eCollection 2023 Oct.
2
Simulating patterns of life: More representative time-activity patterns that account for context.模拟生活模式:更具代表性的考虑到上下文的时间活动模式。
Environ Int. 2023 Feb;172:107753. doi: 10.1016/j.envint.2023.107753. Epub 2023 Jan 16.
3
Integrating Personal Air Sensor and GPS to Determine Microenvironment-Specific Exposures to Volatile Organic Compounds.

本文引用的文献

1
Development of TracMyAir Smartphone Application for Modeling Exposures to Ambient PM and Ozone.开发 TracMyAir 智能手机应用程序,用于模拟大气 PM 和臭氧暴露情况。
Int J Environ Res Public Health. 2019 Sep 18;16(18):3468. doi: 10.3390/ijerph16183468.
2
Modeling individual exposures to ambient PM in the diabetes and the environment panel study (DEPS).建模糖尿病与环境队列研究(DEPS)中个体的环境 PM 暴露情况。
Sci Total Environ. 2018 Jun 1;626:807-816. doi: 10.1016/j.scitotenv.2018.01.139. Epub 2018 Feb 19.
3
Ozone exposure is associated with acute changes in inflammation, fibrinolysis, and endothelial cell function in coronary artery disease patients.
整合个人空气传感器和 GPS 以确定特定微环境中挥发性有机化合物的暴露情况。
Sensors (Basel). 2021 Aug 23;21(16):5659. doi: 10.3390/s21165659.
4
Cardiovascular health impacts of wildfire smoke exposure.暴露于野火烟雾对心血管健康的影响。
Part Fibre Toxicol. 2021 Jan 7;18(1):2. doi: 10.1186/s12989-020-00394-8.
5
Effects of ambient ozone exposure on circulating extracellular vehicle microRNA levels in coronary artery disease patients.环境臭氧暴露对冠心病患者循环细胞外囊泡 microRNA 水平的影响。
J Toxicol Environ Health A. 2020 May 2;83(9):351-362. doi: 10.1080/15287394.2020.1762814. Epub 2020 May 15.
臭氧暴露与冠心病患者炎症、纤溶和内皮细胞功能的急性变化有关。
Environ Health. 2017 Nov 21;16(1):126. doi: 10.1186/s12940-017-0335-0.
4
Association between air pollution and coronary artery calcification within six metropolitan areas in the USA (the Multi-Ethnic Study of Atherosclerosis and Air Pollution): a longitudinal cohort study.美国六个大都市地区空气污染与冠状动脉钙化之间的关联(动脉粥样硬化与空气污染多民族研究):一项纵向队列研究。
Lancet. 2016 Aug 13;388(10045):696-704. doi: 10.1016/S0140-6736(16)00378-0. Epub 2016 May 24.
5
Air Pollution Exposure Model for Individuals (EMI) in Health Studies: Evaluation for Ambient PM2.5 in Central North Carolina.个体空气污染暴露模型(EMI)在健康研究中的应用:以中北卡罗来纳州为例评估环境 PM2.5。
Environ Sci Technol. 2015 Dec 15;49(24):14184-94. doi: 10.1021/acs.est.5b02765. Epub 2015 Nov 12.
6
A modeling framework for characterizing near-road air pollutant concentration at community scales.用于描述社区尺度下近道路空气污染物浓度特征的建模框架。
Sci Total Environ. 2015 Dec 15;538:905-21. doi: 10.1016/j.scitotenv.2015.06.139. Epub 2015 Sep 28.
7
Creating locally-resolved mobile-source emissions inputs for air quality modeling in support of an exposure study in Detroit, Michigan, USA.创建用于空气质量建模的本地解析移动源排放输入数据,以支持美国密歇根州底特律的一项暴露研究。
Int J Environ Res Public Health. 2014 Dec 9;11(12):12739-66. doi: 10.3390/ijerph111212739. Print 2014 Dec.
8
Modeling spatial and temporal variability of residential air exchange rates for the Near-Road Exposures and Effects of Urban Air Pollutants Study (NEXUS).为“近路暴露与城市空气污染影响研究(NEXUS)”建立住宅空气交换率的时空变异性模型。
Int J Environ Res Public Health. 2014 Nov 7;11(11):11481-504. doi: 10.3390/ijerph111111481.
9
A method for estimating urban background concentrations in support of hybrid air pollution modeling for environmental health studies.一种用于估算城市背景浓度以支持环境健康研究中的混合空气污染建模的方法。
Int J Environ Res Public Health. 2014 Oct 15;11(10):10518-36. doi: 10.3390/ijerph111010518.
10
An empirical assessment of exposure measurement error and effect attenuation in bipollutant epidemiologic models.双污染物流行病学模型中暴露测量误差和效应衰减的实证评估。
Environ Health Perspect. 2014 Nov;122(11):1216-24. doi: 10.1289/ehp.1307772. Epub 2014 Jul 8.