• 文献检索
  • 文档翻译
  • 深度研究
  • 学术资讯
  • Suppr Zotero 插件Zotero 插件
  • 邀请有礼
  • 套餐&价格
  • 历史记录
应用&插件
Suppr Zotero 插件Zotero 插件浏览器插件Mac 客户端Windows 客户端微信小程序
定价
高级版会员购买积分包购买API积分包
服务
文献检索文档翻译深度研究API 文档MCP 服务
关于我们
关于 Suppr公司介绍联系我们用户协议隐私条款
关注我们

Suppr 超能文献

核心技术专利:CN118964589B侵权必究
粤ICP备2023148730 号-1Suppr @ 2026

文献检索

告别复杂PubMed语法,用中文像聊天一样搜索,搜遍4000万医学文献。AI智能推荐,让科研检索更轻松。

立即免费搜索

文件翻译

保留排版,准确专业,支持PDF/Word/PPT等文件格式,支持 12+语言互译。

免费翻译文档

深度研究

AI帮你快速写综述,25分钟生成高质量综述,智能提取关键信息,辅助科研写作。

立即免费体验

新型糖原合酶激酶-3 抑制剂对脂多糖诱导的炎症细胞因子产生的调节作用。

Modulation of LPS-induced inflammatory cytokine production by a novel glycogen synthase kinase-3 inhibitor.

机构信息

Department of Chemical and Biomolecular Engineering, Ohio University, Athens, OH, 45701, USA.

Department of Specialty Medicine, Ohio University, Athens, OH, 45701, USA.

出版信息

Eur J Pharmacol. 2020 Sep 15;883:173340. doi: 10.1016/j.ejphar.2020.173340. Epub 2020 Jul 4.

DOI:10.1016/j.ejphar.2020.173340
PMID:32634441
原文链接:https://pmc.ncbi.nlm.nih.gov/articles/PMC7334664/
Abstract

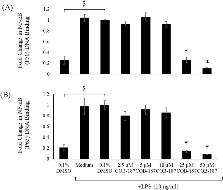
Sepsis is a serious condition that can lead to long-term organ damage and death. At the molecular level, the hallmark of sepsis is the elevated expression of a multitude of potent cytokines, i.e. a cytokine storm. For sepsis involving gram-negative bacteria, macrophages recognize lipopolysaccharide (LPS) shed from the bacteria, activating Toll-like-receptor 4 (TLR4), and triggering a cytokine storm. Glycogen synthase kinase-3 (GSK-3) is a highly active kinase that has been implicated in LPS-induced cytokine production. Thus, compounds that inhibit GSK-3 could be potential therapeutics for sepsis. Our group has recently described a novel and highly selective inhibitor of GSK-3 termed COB-187. In the present study, using THP-1 macrophages, we evaluated the ability of COB-187 to attenuate LPS-induced cytokine production. We found that COB-187 significantly reduced, at the protein and mRNA levels, cytokines induced by LPS (e.g. IL-6, TNF-α, IL-1β, CXCL10, and IFN-β). Further, the data suggest that the inhibition could be due, at least in part, to COB-187 reducing NF-κB (p65/p50) DNA binding activity as well as reducing IRF-3 phosphorylation at Serine 396. Thus, COB-187 appears to be a potent inhibitor of the cytokine storm induced by LPS.

摘要

败血症是一种严重的病症,可能导致长期的器官损伤和死亡。在分子水平上,败血症的标志是多种强效细胞因子的表达升高,即细胞因子风暴。对于涉及革兰氏阴性菌的败血症,巨噬细胞识别从细菌脱落的脂多糖(LPS),激活 Toll 样受体 4(TLR4),并引发细胞因子风暴。糖原合成酶激酶-3(GSK-3)是一种高度活跃的激酶,已被牵连到 LPS 诱导的细胞因子产生中。因此,抑制 GSK-3 的化合物可能是败血症的潜在治疗方法。我们的小组最近描述了一种称为 COB-187 的新型高度选择性 GSK-3 抑制剂。在本研究中,我们使用 THP-1 巨噬细胞评估了 COB-187 减弱 LPS 诱导的细胞因子产生的能力。我们发现 COB-187 显著降低了 LPS 诱导的细胞因子(例如 IL-6、TNF-α、IL-1β、CXCL10 和 IFN-β)的蛋白和 mRNA 水平。此外,数据表明抑制作用至少部分归因于 COB-187 降低了 NF-κB(p65/p50)DNA 结合活性以及降低了 IRF-3 在丝氨酸 396 上的磷酸化。因此,COB-187 似乎是 LPS 诱导的细胞因子风暴的有效抑制剂。

https://cdn.ncbi.nlm.nih.gov/pmc/blobs/7e42/7334664/08527710751e/gr7_lrg.jpg
https://cdn.ncbi.nlm.nih.gov/pmc/blobs/7e42/7334664/f5a8cf6b1c48/gr1_lrg.jpg
https://cdn.ncbi.nlm.nih.gov/pmc/blobs/7e42/7334664/be63912a1f59/gr2_lrg.jpg
https://cdn.ncbi.nlm.nih.gov/pmc/blobs/7e42/7334664/77b161fecb3b/gr3_lrg.jpg
https://cdn.ncbi.nlm.nih.gov/pmc/blobs/7e42/7334664/ece975b55062/gr4_lrg.jpg
https://cdn.ncbi.nlm.nih.gov/pmc/blobs/7e42/7334664/58820f04a0ba/gr5_lrg.jpg
https://cdn.ncbi.nlm.nih.gov/pmc/blobs/7e42/7334664/26c1c83dca55/gr6_lrg.jpg
https://cdn.ncbi.nlm.nih.gov/pmc/blobs/7e42/7334664/08527710751e/gr7_lrg.jpg
https://cdn.ncbi.nlm.nih.gov/pmc/blobs/7e42/7334664/f5a8cf6b1c48/gr1_lrg.jpg
https://cdn.ncbi.nlm.nih.gov/pmc/blobs/7e42/7334664/be63912a1f59/gr2_lrg.jpg
https://cdn.ncbi.nlm.nih.gov/pmc/blobs/7e42/7334664/77b161fecb3b/gr3_lrg.jpg
https://cdn.ncbi.nlm.nih.gov/pmc/blobs/7e42/7334664/ece975b55062/gr4_lrg.jpg
https://cdn.ncbi.nlm.nih.gov/pmc/blobs/7e42/7334664/58820f04a0ba/gr5_lrg.jpg
https://cdn.ncbi.nlm.nih.gov/pmc/blobs/7e42/7334664/26c1c83dca55/gr6_lrg.jpg
https://cdn.ncbi.nlm.nih.gov/pmc/blobs/7e42/7334664/08527710751e/gr7_lrg.jpg

相似文献

1
Modulation of LPS-induced inflammatory cytokine production by a novel glycogen synthase kinase-3 inhibitor.新型糖原合酶激酶-3 抑制剂对脂多糖诱导的炎症细胞因子产生的调节作用。
Eur J Pharmacol. 2020 Sep 15;883:173340. doi: 10.1016/j.ejphar.2020.173340. Epub 2020 Jul 4.
2
S632A3, a new glutarimide antibiotic, suppresses lipopolysaccharide-induced pro-inflammatory responses via inhibiting the activation of glycogen synthase kinase 3β.S632A3,一种新型戊二酰亚胺类抗生素,通过抑制糖原合酶激酶 3β 的激活来抑制脂多糖诱导的促炎反应。
Exp Cell Res. 2012 Dec 10;318(20):2592-603. doi: 10.1016/j.yexcr.2012.08.008. Epub 2012 Sep 10.
3
KMU-1170, a Novel Multi-Protein Kinase Inhibitor, Suppresses Inflammatory Signal Transduction in THP-1 Cells and Human Osteoarthritic Fibroblast-Like Synoviocytes by Suppressing Activation of NF-κB and NLRP3 Inflammasome Signaling Pathway.KMU-1170,一种新型的多蛋白激酶抑制剂,通过抑制 NF-κB 和 NLRP3 炎性小体信号通路的激活,抑制 THP-1 细胞和人骨性关节炎成纤维样滑膜细胞中的炎症信号转导。
Int J Mol Sci. 2021 Jan 26;22(3):1194. doi: 10.3390/ijms22031194.
4
Glycogen synthase kinase-3 beta inhibitor suppresses Porphyromonas gingivalis lipopolysaccharide-induced CD40 expression by inhibiting nuclear factor-kappa B activation in mouse osteoblasts.糖原合酶激酶-3β抑制剂通过抑制核因子-κB 活化抑制牙龈卟啉单胞菌脂多糖诱导的小鼠成骨细胞 CD40 表达。
Mol Immunol. 2012 Aug;52(1):38-49. doi: 10.1016/j.molimm.2012.04.005. Epub 2012 May 14.
5
The Role of p38 and CK2 Protein Kinases in the Response of RAW 264.7 Macrophages to Lipopolysaccharide.p38 和 CK2 蛋白激酶在 RAW 264.7 巨噬细胞对脂多糖反应中的作用。
Biochemistry (Mosc). 2018 Jun;83(6):746-754. doi: 10.1134/S0006297918060123.
6
Quercetin disrupts tyrosine-phosphorylated phosphatidylinositol 3-kinase and myeloid differentiation factor-88 association, and inhibits MAPK/AP-1 and IKK/NF-κB-induced inflammatory mediators production in RAW 264.7 cells.槲皮素破坏酪氨酸磷酸化的磷脂酰肌醇 3-激酶和髓样分化因子 88 之间的关联,并抑制 MAPK/AP-1 和 IKK/NF-κB 诱导的 RAW 264.7 细胞中炎症介质的产生。
Immunobiology. 2013 Dec;218(12):1452-67. doi: 10.1016/j.imbio.2013.04.019. Epub 2013 May 9.
7
Anti-inflammatory effects of benzenediamine derivate FC-98 on sepsis injury in mice via suppression of JNK, NF-κB and IRF3 signaling pathways.苯二胺衍生物FC-98通过抑制JNK、NF-κB和IRF3信号通路对小鼠脓毒症损伤的抗炎作用
Mol Immunol. 2015 Oct;67(2 Pt B):183-92. doi: 10.1016/j.molimm.2015.05.005. Epub 2015 May 29.
8
Melatonin modulates TLR4-mediated inflammatory genes through MyD88- and TRIF-dependent signaling pathways in lipopolysaccharide-stimulated RAW264.7 cells.褪黑素通过 MyD88 和 TRIF 依赖的信号通路调节脂多糖刺激的 RAW264.7 细胞中的 TLR4 介导的炎症基因。
J Pineal Res. 2012 Nov;53(4):325-34. doi: 10.1111/j.1600-079X.2012.01002.x. Epub 2012 Apr 27.
9
Glycogen synthase kinase-3β inactivation inhibits tumor necrosis factor-α production in microglia by modulating nuclear factor κB and MLK3/JNK signaling cascades.糖原合酶激酶-3β失活通过调节核因子 κB 和 MLK3/JNK 信号级联抑制小胶质细胞中肿瘤坏死因子-α的产生。
J Neuroinflammation. 2010 Dec 31;7:99. doi: 10.1186/1742-2094-7-99.
10
Isotrifoliol inhibits pro-inflammatory mediators by suppression of TLR/NF-κB and TLR/MAPK signaling in LPS-induced RAW264.7 cells.异槲皮苷通过抑制 TLR/NF-κB 和 TLR/MAPK 信号通路抑制 LPS 诱导的 RAW264.7 细胞中促炎介质的产生。
Int Immunopharmacol. 2017 Apr;45:110-119. doi: 10.1016/j.intimp.2017.01.033. Epub 2017 Feb 10.

引用本文的文献

1
Capturing the Effects of Single Atom Substitutions on the Inhibition Efficiency of Glycogen Synthase Kinase-3β Inhibitors via Markov State Modeling and Experiments.通过马科夫状态建模和实验捕获单原子取代对糖原合酶激酶-3β抑制剂抑制效率的影响。
J Chem Theory Comput. 2024 Jul 23;20(14):6278-6286. doi: 10.1021/acs.jctc.4c00311. Epub 2024 Jul 8.
2
Mechanistic insights into SARS-CoV-2 spike protein induction of the chemokine CXCL10.解析 SARS-CoV-2 刺突蛋白诱导趋化因子 CXCL10 的机制研究
Sci Rep. 2024 May 16;14(1):11179. doi: 10.1038/s41598-024-61906-6.
3
Identification of hub genes associated with infection and type 2 diabetes mellitus: A pilot bioinformatics study.

本文引用的文献

1
A tug-of-war between severe acute respiratory syndrome coronavirus 2 and host antiviral defence: lessons from other pathogenic viruses.严重急性呼吸综合征冠状病毒 2 与宿主抗病毒防御之间的拔河比赛:来自其他致病病毒的经验教训。
Emerg Microbes Infect. 2020 Mar 14;9(1):558-570. doi: 10.1080/22221751.2020.1736644. eCollection 2020.
2
Identification of a novel selective and potent inhibitor of glycogen synthase kinase-3.鉴定一种新型糖原合酶激酶-3 的选择性和有效抑制剂。
Am J Physiol Cell Physiol. 2019 Dec 1;317(6):C1289-C1303. doi: 10.1152/ajpcell.00061.2019. Epub 2019 Sep 25.
3
Discovery and anti-inflammatory evaluation of benzothiazepinones (BTZs) as novel non-ATP competitive inhibitors of glycogen synthase kinase-3β (GSK-3β).
与感染和2型糖尿病相关的枢纽基因鉴定:一项初步生物信息学研究
World J Diabetes. 2024 Feb 15;15(2):170-185. doi: 10.4239/wjd.v15.i2.170.
4
A kinase to cytokine explorer to identify molecular regulators and potential therapeutic opportunities.从激酶到细胞因子探索,以识别分子调节剂和潜在的治疗机会。
Elife. 2024 Feb 2;12:RP91472. doi: 10.7554/eLife.91472.
5
GSK3β/NF-κB -dependent transcriptional regulation of homeostatic hepatocyte production.稳态肝细胞生成的GSK3β/NF-κB依赖性转录调控
Am J Physiol Gastrointest Liver Physiol. 2024 Apr 1;326(4):G374-G384. doi: 10.1152/ajpgi.00229.2023. Epub 2024 Jan 9.
6
Quercetin Alleviates Inflammation and Energy Deficiency Induced by Lipopolysaccharide in Chicken Embryos.槲皮素减轻脂多糖诱导的鸡胚炎症和能量缺乏
Animals (Basel). 2023 Jun 21;13(13):2051. doi: 10.3390/ani13132051.
7
Patients with Infections of The Central Nervous System Have Lowered Gut Microbiota Alpha Diversity.中枢神经系统感染患者的肠道微生物群α多样性降低。
Curr Issues Mol Biol. 2022 Jun 29;44(7):2903-2914. doi: 10.3390/cimb44070200.
8
Isoforms of Neuropilin-2 Denote Unique Tumor-Associated Macrophages in Breast Cancer.Neuropilin-2 异构体在乳腺癌中表示独特的肿瘤相关巨噬细胞。
Front Immunol. 2022 Apr 27;13:830169. doi: 10.3389/fimmu.2022.830169. eCollection 2022.
9
Evidence for investigating GSK-3 inhibitors as potential therapeutics for severe COVID-19.探索 GSK-3 抑制剂作为严重 COVID-19 潜在治疗药物的证据。
Biochem Biophys Res Commun. 2022 May 21;605:171-176. doi: 10.1016/j.bbrc.2022.03.035. Epub 2022 Mar 16.
10
MicroRNA-214-3p facilitates M2 macrophage polarization by targeting GSK3B.microRNA-214-3p 通过靶向 GSK3B 促进 M2 巨噬细胞极化。
Kaohsiung J Med Sci. 2022 Apr;38(4):347-356. doi: 10.1002/kjm2.12487. Epub 2022 Jan 10.
发现并评价苯并噻嗪酮(BTZs)作为新型非三磷酸腺苷竞争性糖原合酶激酶-3β(GSK-3β)抑制剂的抗炎活性。
Bioorg Med Chem. 2018 Nov 1;26(20):5479-5493. doi: 10.1016/j.bmc.2018.09.027. Epub 2018 Sep 22.
4
Glycogen synthase kinase-3 and its inhibitors: Potential target for various therapeutic conditions.糖原合酶激酶-3 及其抑制剂:各种治疗情况的潜在靶标。
Eur J Med Chem. 2018 Jan 20;144:843-858. doi: 10.1016/j.ejmech.2017.11.103. Epub 2017 Dec 9.
5
Mitigation of sepsis-induced inflammatory responses and organ injury through targeting Wnt/β-catenin signaling.通过靶向 Wnt/β-catenin 信号通路减轻脓毒症引起的炎症反应和器官损伤。
Sci Rep. 2017 Aug 23;7(1):9235. doi: 10.1038/s41598-017-08711-6.
6
Pathogenic human coronavirus infections: causes and consequences of cytokine storm and immunopathology.致病性人类冠状病毒感染:细胞因子风暴和免疫病理学的成因及后果
Semin Immunopathol. 2017 Jul;39(5):529-539. doi: 10.1007/s00281-017-0629-x. Epub 2017 May 2.
7
Phenylmethimazole and a thiazole derivative of phenylmethimazole inhibit IL-6 expression by triple negative breast cancer cells.苯甲巯咪唑及其噻唑衍生物可抑制三阴性乳腺癌细胞的白细胞介素-6表达。
Eur J Pharmacol. 2017 May 15;803:130-137. doi: 10.1016/j.ejphar.2017.03.049. Epub 2017 Mar 23.
8
Recent advances in understanding the cellular roles of GSK-3.了解糖原合成酶激酶3细胞作用的最新进展。
F1000Res. 2017 Feb 20;6. doi: 10.12688/f1000research.10557.1. eCollection 2017.
9
Identification of TBK1 complexes required for the phosphorylation of IRF3 and the production of interferon β.鉴定IRF3磷酸化和干扰素β产生所需的TBK1复合物。
Biochem J. 2017 Mar 15;474(7):1163-1174. doi: 10.1042/BCJ20160992.
10
Stressed and Inflamed, Can GSK3 Be Blamed?压力与炎症,能归咎于GSK3吗?
Trends Biochem Sci. 2017 Mar;42(3):180-192. doi: 10.1016/j.tibs.2016.10.009. Epub 2016 Nov 19.