Suppr超能文献

考虑到皮质类固醇/免疫抑制剂治疗,验证 IgA 肾病修订的牛津分类。

Validation of the revised Oxford classification for IgA nephropathy considering treatment with corticosteroids/immunosuppressors.

机构信息

Department of Nephrology, Tokyo Women's Medical University, 8-1 Kawada-cho, Shinjuku-ku, Tokyo, 162-8666, Japan.

出版信息

Sci Rep. 2020 Jul 7;10(1):11151. doi: 10.1038/s41598-020-68087-y.

Abstract

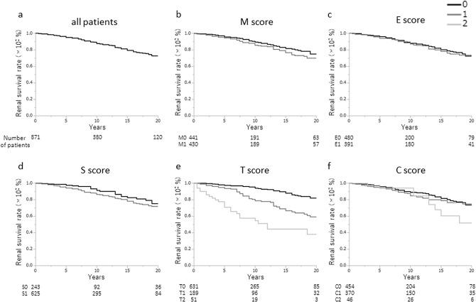
The Oxford classification for IgA nephropathy (IgAN) was updated in 2017. We have validated the revised Oxford classification considering treatment with corticosteroids/immunosuppressors. In this retrospective analysis, 871 IgAN patients were enrolled. Patients were divided into two groups, those treated with or without corticosteroids/immunosuppressors. The 20-year renal prognosis up to end-stage renal disease was assessed using the Oxford classification. In all patients, the renal survival rate was 87.5% at 10 years and 72.6% at 20 years. The T score alone was significantly related to renal prognosis in the Kaplan-Meier analysis and multivariate Cox regression analysis. In the non-treatment group (n = 445), E, S, T, and C scores were significantly related to renal survival rates, however, in the treatment group (n = 426), T score alone was significantly related to renal prognosis on Kaplan-Meier analysis, indicating that corticosteroids/immunosuppressors improved renal prognosis in E1, S1, and C1. In patients with E1, S1, or C1, the treatment group showed significantly better renal prognosis than the non-treatment group in univariate and multivariate analysis. The Oxford classification and T score were used to determine renal prognosis in IgAN patients. Corticosteroids/immunosuppressors improved renal prognosis, especially E1, S1, and C1 scores.

摘要

牛津 IgA 肾病分类(IgAN)于 2017 年更新。我们已经验证了考虑皮质类固醇/免疫抑制剂治疗的修订版牛津分类。在这项回顾性分析中,纳入了 871 名 IgAN 患者。患者分为两组,分别接受皮质类固醇/免疫抑制剂治疗或未接受治疗。使用牛津分类评估 20 年直至终末期肾病的肾脏预后。在所有患者中,10 年和 20 年的肾脏存活率分别为 87.5%和 72.6%。在单因素和多因素 Cox 回归分析中,T 评分与肾脏预后的 Kaplan-Meier 分析单独相关。在未治疗组(n=445)中,E、S、T 和 C 评分与肾脏存活率显著相关,然而,在治疗组(n=426)中,T 评分单独与 Kaplan-Meier 分析中的肾脏预后相关,表明皮质类固醇/免疫抑制剂改善了 E1、S1 和 C1 的肾脏预后。在 E1、S1 或 C1 的患者中,治疗组在单因素和多因素分析中显示出明显优于未治疗组的肾脏预后。牛津分类和 T 评分用于确定 IgAN 患者的肾脏预后。皮质类固醇/免疫抑制剂改善了肾脏预后,尤其是 E1、S1 和 C1 评分。

https://cdn.ncbi.nlm.nih.gov/pmc/blobs/4cc0/7341848/ff5705b7a516/41598_2020_68087_Fig1_HTML.jpg

文献AI研究员

20分钟写一篇综述,助力文献阅读效率提升50倍。

立即体验

用中文搜PubMed

大模型驱动的PubMed中文搜索引擎

马上搜索

文档翻译

学术文献翻译模型,支持多种主流文档格式。

立即体验