Suppr超能文献

视角会影响现实生活对话中的眼动:关于自闭症中自我与他人的心理理论。

Perspective influences eye movements during real-life conversation: Mentalising about self versus others in autism.

作者信息

Barzy Mahsa, Ferguson Heather J, Williams David M

机构信息

University of Kent, UK.

出版信息

Autism. 2020 Nov;24(8):2153-2165. doi: 10.1177/1362361320936820. Epub 2020 Jul 9.

Abstract

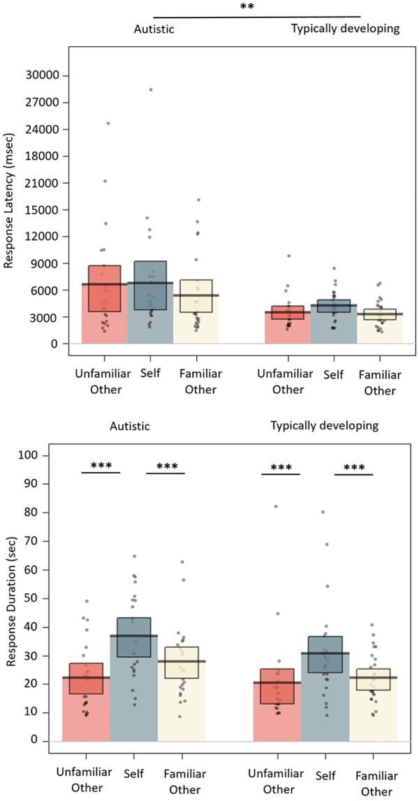
Previous lab-based studies suggest that autistic individuals are less attentive to social aspects of their environment. In our study, we recorded the eye movements of autistic and typically developing adults while they engaged in a real-life social interaction with a partner. Results showed that autistic adults were less likely than typically developing adults to look at the experimenter's face, and instead were more likely to look at the background. Moreover, the perspective that was adopted in the conversation (talking about self versus others) modulated the patterns of eye movements in autistic and non-autistic adults. Overall, people spent less time looking at their conversation partner's eyes and face and more time looking at the background, when talking about an unfamiliar other compared to when talking about themselves. This pattern was magnified among autistic adults. We conclude that allocating attention to social information during conversation is cognitively effortful, but this can be mitigated when talking about a topic that is familiar to them.

摘要

以往基于实验室的研究表明,自闭症个体对周围环境的社交方面关注度较低。在我们的研究中,我们记录了自闭症成年人和发育正常的成年人在与伙伴进行现实生活中的社交互动时的眼动情况。结果显示,与发育正常的成年人相比,自闭症成年人看向实验者面部的可能性较小,反而更有可能看向背景。此外,对话中采用的视角(谈论自己还是他人)调节了自闭症和非自闭症成年人的眼动模式。总体而言,与谈论自己相比,人们在谈论不熟悉的他人时,看向对话伙伴眼睛和面部的时间更少,看向背景的时间更多。这种模式在自闭症成年人中更为明显。我们得出结论,在对话过程中分配注意力到社交信息上在认知上是费力的,但当谈论他们熟悉的话题时,这种情况可以得到缓解。

https://cdn.ncbi.nlm.nih.gov/pmc/blobs/0ce5/7539613/5b6e8df41002/10.1177_1362361320936820-fig1.jpg

文献检索

告别复杂PubMed语法,用中文像聊天一样搜索,搜遍4000万医学文献。AI智能推荐,让科研检索更轻松。

立即免费搜索

文件翻译

保留排版,准确专业,支持PDF/Word/PPT等文件格式,支持 12+语言互译。

免费翻译文档

深度研究

AI帮你快速写综述,25分钟生成高质量综述,智能提取关键信息,辅助科研写作。

立即免费体验